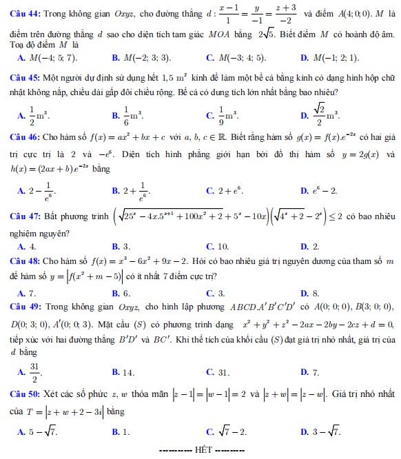
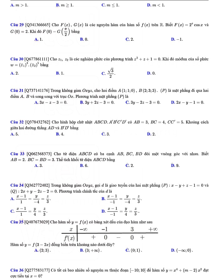
Đáp án đề thi thử Toán chuyên Vinh lần 2 2025
Mua tài khoản Hoatieu Pro để trải nghiệm website Hoatieu.vn KHÔNG quảng cáo & Tải nhanh File chỉ từ 99.000đ. Tìm hiểu thêm »
Đề thi thử tốt nghiệp môn Toán chuyên Đại học Vinh
Đề thi thử tốt nghiệp THPT năm 2025 môn Toán THPT Chuyên Đại học Vinh biên soạn là tài liệu ôn luyện hữu ích dành cho học sinh lớp 12. Đề được xây dựng bám sát cấu trúc đề minh họa của Bộ Giáo dục và Đào tạo, giúp học sinh làm quen với dạng câu hỏi, mức độ phân hóa và rèn luyện kỹ năng giải đề. Kèm theo đề thi là đáp án chi tiết, hỗ trợ học sinh tự đánh giá năng lực và củng cố kiến thức hiệu quả.
- Đáp án đề thi thử chuyên Vinh lần 2 môn Anh
- Đề thi thử Hóa chuyên Vinh có đáp án
- Đề thi thử Lý chuyên Vinh có đáp án
- Đề thi thử môn Sinh sở Hà Tĩnh có đáp án
- Đề thi thử tiếng Anh Quảng Xương 1 năm 2026
- Đề thi thử tiếng Anh - sở Nam Định 2025
1. Đề thi thử tốt nghiệp THPT 2025 môn Toán chuyên đại học Vinh có đáp án
Mới đây trường THPT chuyên Đại học Vinh - Nghệ An đã tổ chức kì thi thử tốt nghiệp THPT 2025 lần 2 cho các thí sinh làm quen với kì thi tốt nghiệp trước khi dự thi chính thức. Trong bài viết này Hoatieu sẽ chia sẻ đến các bạn đọc đề thi thử tốt nghiệp THPT môn Toán lần 2 chuyên Đại học Vinh có đáp án chi tiết sẽ giúp các em có thêm đề tham khảo để chuẩn bị ôn thi tốt nghiệp môn Toán được tốt hơn.
2. Đáp án đề thi thử THPT môn Toán chuyên ĐH Vinh 2023 lần 2

3. Đề thi thử tốt nghiệp THPT môn Toán chuyên Vinh lần 2 - 2023 mã đề 132






4. Đề thi thử tốt nghiệp THPT môn Toán chuyên Vinh lần 2 - 2023 mã đề 108







Mời các bạn tham khảo thêm các thông tin hữu ích khác trong nhóm Lớp 12 thuộc chuyên mục Học tập của HoaTieu.vn.
-
Chia sẻ:
Trần Thu Trang
- Ngày:
Đáp án đề thi thử Toán chuyên Vinh lần 2 2025
1 MB 14/06/2023 3:49:00 CHNhiều người quan tâm
Tham khảo thêm
-
Đề thi thử môn Toán tốt nghiệp THPT 2023 Hải Phòng
-
Đáp án đề thi thử THPT quốc gia 2025 môn Toán Nam Định lần 1
-
Đề thi thử tốt nghiệp THPT 2025 môn Văn sở Nam Định lần 2
-
Đáp án đề Toán sở Hà Nội 2024 mới nhất
-
Bộ đề thi thử môn Văn tốt nghiệp THPT 2023 tỉnh Nam Định
-
Đáp án đề thi thử Cà Mau 2023 đầy đủ các môn
-
Đề thi thử đánh giá tư duy 2023
-
Đề thi thử THPT Hải Phòng 2023 môn Văn
Theo Nghị định 147/2024/ND-CP, bạn cần xác thực tài khoản trước khi sử dụng tính năng này. Chúng tôi sẽ gửi mã xác thực qua SMS hoặc Zalo tới số điện thoại mà bạn nhập dưới đây:
-
Toán
- Trọn bộ đề thi tốt nghiệp THPT tất cả các môn
- Chuyên đề ôn thi
-
Đề minh họa
- 20+ Đề minh hoạ thi tốt nghiệp THPT 2025 môn Toán Đồng Nai
- Đề tham khảo thi tốt nghiệp THPT môn Toán TP HCM
- Bộ đề thực chiến thi tốt nghiệp THPT môn Toán có đáp án
- Đề minh hoạ tốt nghiệp THPT môn Toán Huế
- Đề phát triển minh họa Toán 2025
- Đề ôn thi tốt nghiệp THPT môn Toán học sinh trung bình, yếu
- Bộ đề thi thử Toán THPT quốc gia có đáp án
-
Đề khảo sát chất lượng
- Đáp án đề khảo sát chất lượng học kì 2 Toán 12 Nam Định
- Đề khảo sát chất lượng môn Toán 12 Bình Thuận
- Đề khảo sát chất lượng lớp 12 Bắc Ninh môn Toán
- Đáp án đề khảo sát liên trường môn Toán 12 Hà Nội
- Đề khảo sát chất lượng lớp 12 môn Toán Nghệ An
- Đề khảo sát chất lượng lớp 12 môn Toán Ninh Bình
- Đề khảo sát chất lượng lớp 12 môn Toán THPT Tĩnh Gia 4
- Đề khảo sát chất lượng lớp 12 môn Toán THPT Hoằng Hóa 4
- Đề khảo sát chất lượng Toán 12 lần 3 Vĩnh Phúc
- Đề khảo sát tốt nghiệp Toán 12 cụm 9 trường THPT tỉnh Phú Thọ
- Đề khảo sát chất lượng Toán 12 cụm các trường chuyên Phú Thọ
-
Đề thi thử
- Đề thi thử tốt nghiệp THPT môn Toán Bình Phước
- Đề thi thử tốt nghiệp THPT môn Toán sở Nghệ An
- Đề thi thử tốt nghiệp THPT môn Toán Bà Rịa Vũng Tàu
- Đề thi thử tốt nghiệp THPT môn Toán sở Bình Dương
- Đề thi thử tốt nghiệp THPT môn Toán sở Cà Mau
- Đề thi thử tốt nghiệp THPT môn Toán An Giang
- Đề thi thử tốt nghiệp THPT môn Toán Cần Thơ
- Đề thi thử THPT môn Toán chuyên Biên Hòa - Hà Nam
- Đề thi thử tốt nghiệp THPT môn Toán Hậu Giang
- Đề thi thử tốt nghiệp THPT môn Toán Quảng Ninh
- Đề thi thử tốt nghiệp THPT 2025 môn Toán sở Ninh Bình
- Đề thi thử tốt nghiệp THPT môn Toán tỉnh Bắc Ninh lần 2
- Đề thi thử tốt nghiệp THPT môn Toán Bến Tre
- Đề thi thử tốt nghiệp THPT môn Toán sở Đà Nẵng
- Đề thi thử tốt nghiệp THPT môn Toán sở Đăk Lăk
- Đề thi thử tốt nghiệp THPT môn Toán Đồng Nai
- Đề thi thử tốt nghiệp THPT môn Toán Đồng Tháp
- Đề thi thử tốt nghiệp THPT môn Toán sở Gia Lai
- Đề thi thử tốt nghiệp THPT môn Toán Hải Phòng
- Đề thi thử tốt nghiệp THPT môn Toán liên trường Hải Phòng
- Đề thi thử tốt nghiệp THPT môn Toán Hà Tĩnh
- Đề thi thử tốt nghiệp THPT môn Toán sở Hải Dương
- Đề thi thử tốt nghiệp THPT môn Toán Hòa Bình
- Đề thi thử tốt nghiệp THPT môn Toán Hưng Yên
- Đề thi thử tốt nghiệp THPT môn Toán Khánh Hòa
- Đề thi thử tốt nghiệp THPT môn Toán sở Kiên Giang
- Đề thi thử tốt nghiệp THPT môn Toán Kon Tum
- Đề thi thử tốt nghiệp THPT môn Toán Cụm các trường phía Bắc tỉnh Lào Cai
- Đề thi thử tốt nghiệp THPT môn Toán sở Lai Châu
- Đề thi thử tốt nghiệp THPT môn Toán sở Lâm Đồng
- Đề thi thử tốt nghiệp THPT môn Toán sở Nam Định
- Đề thi thử tốt nghiệp THPT môn Toán Phú Yên
- Đề thi thử tốt nghiệp THPT môn Toán sở Quảng Bình
- Đề thi thử tốt nghiệp THPT môn Toán Quảng Nam
- Đề thi thử tốt nghiệp THPT môn Toán sở Bắc Giang
- Đề thi thử tốt nghiệp THPT môn Toán THPT thị xã Quảng Trị
- Đề thi thử tốt nghiệp THPT môn Toán Sơn La
- Đề thi thử tốt nghiệp THPT 2025 môn Toán Huế
- Đề thi thử tốt nghiệp THPT môn Toán Tiền Giang
- Đề thi thử tốt nghiệp THPT môn Toán liên trường Tiền Giang
- Đề thi thử tốt nghiệp THPT môn Toán Sóc Trăng
- Đề thi thử tốt nghiệp THPT môn Toán sở Thái Nguyên
- Đề thi thử tốt nghiệp THPT môn Toán Thái Bình
- Đề thi thử tốt nghiệp THPT môn Toán chuyên Thái Bình
- Đề khảo sát chất lượng môn Toán 12 Thanh Hóa
- Đề thi thử tốt nghiệp THPT môn Toán Trà Vinh
- Bộ đề thi thử THPT 2025 môn Toán
- Đề thi thử THPT môn Toán huyện Cẩm Xuyên Hà Tĩnh
- Đề thi thử THPT môn Toán Hàm Rồng Thanh Hóa
- Đề thi thử THPT môn Toán Triệu Sơn 2 Thanh Hóa
- Đề thi thử THPT môn Toán Thiệu Hóa - Thanh Hóa
- Đề thi thử THPT môn Toán Hậu Lộc - Thanh Hóa
- Đề thi thử THPT môn Toán Bình Giang Hải Dương
- Đề thi thử tốt nghiệp THPT môn Toán Long An
- Đề thi thử tốt nghiệp THPT môn Toán chuyên Vinh
-
Ngữ Văn
-
Đề minh họa
- Đề minh hoạ thi tốt nghiệp THPT 2025 môn Văn Đồng Nai
- Đề minh hoạ tốt nghiệp THPT môn Ngữ văn Huế
- Đề tham khảo tốt nghiệp THPT môn Văn tỉnh Tây Ninh
- Luyện đề văn thi THPT Quốc gia 2025
- 30 đề thi tốt nghiệp THPT môn Ngữ văn có đáp án
- Đề tham khảo tốt nghiệp THPT môn Văn Bạc Liêu
- Bộ đề thi thử tốt nghiệp THPT môn Văn tỉnh Phú Thọ
- Bộ đề ôn thi tốt nghiệp THPT môn Văn tỉnh Quảng Ninh
- Bộ đề tham khảo thi tốt nghiệp THPT môn Văn tỉnh Nam Định
- Bộ đề tham khảo thi tốt nghiệp THPT môn Văn tỉnh Quảng Nam
-
Đề khảo sát chất lượng
- Đề khảo sát chất lượng Ngữ văn 12 Vĩnh phúc
- Đề thi khảo sát lớp 12 môn Văn - Văn Lâm Hưng Yên
- Đáp án đề khảo sát chất lượng học kì 2 môn Ngữ văn 12 Nam Định
- Đề khảo sát chất lượng lớp 12 Bắc Ninh môn Văn
- Đáp án đề khảo sát liên trường môn Ngữ Văn 12 Hà Nội
- Đề thi khảo sát THPT môn Ngữ văn liên trường Quảng Nam
- Đề khảo sát chất lượng môn Văn 12 Thanh Hóa
- Đề khảo sát chất lượng lớp 12 môn Ngữ văn THPT Tĩnh Gia 4
- Đề khảo sát chất lượng lớp 12 môn Ngữ văn THPT Hoằng Hóa 4
- Đề khảo sát chất lượng lớp 12 môn Ngữ văn Nghệ An
- Đề khảo sát chất lượng lớp 12 môn Ngữ văn Ninh Bình
- Đề khảo sát tốt nghiệp Ngữ văn 12 cụm 9 trường THPT tỉnh Phú Thọ
-
Đề thi thử
- Đề thi thử Văn Sở Nghệ An
- Đề thi thử tốt nghiệp THPT môn Văn Bình Phước
- Đề thi thử tốt nghiệp THPT môn Văn sở Bạc Liêu
- Đề thi thử tốt nghiệp THPT môn Ngữ văn tỉnh Bắc Giang
- Đề thi thử tốt nghiệp THPT môn Ngữ văn tỉnh Bắc Ninh lần 2
- Đề thi thử tốt nghiệp THPT môn Văn sở Bình Dương
- Đề thi thử tốt nghiệp THPT môn Ngữ văn Bến Tre
- Đề thi thử tốt nghiệp THPT môn Ngữ văn sở Cà Mau
- Đề thi thử tốt nghiệp THPT môn Ngữ văn Đồng Tháp
- Đề thi thử tốt nghiệp THPT môn Văn sở Cao Bằng
- Đề thi thử tốt nghiệp THPT môn Ngữ văn sở Điện Biên
- Đề thi thử tốt nghiệp THPT môn Ngữ văn sở Gia Lai
- Đề thi thử tốt nghiệp THPT môn Ngữ văn sở Ninh Bình
- Đề thi thử tốt nghiệp THPT môn Ngữ văn Cần Thơ
- Đề thi thử tốt nghiệp THPT môn Văn sở Đà Nẵng
- Đề thi thử tốt nghiệp THPT môn Văn sở Đắk Lắk
- Đề thi thử tốt nghiệp THPT môn Văn Đồng Nai
- Đề thi thử tốt nghiệp THPT môn Văn Quảng Ninh
- Đề thi thử tốt nghiệp THPT môn Văn cụm trường Quảng Ninh
- Đề thi thử tốt nghiệp THPT môn Văn Quảng Yên - Quảng Ninh
- Đề thi thử tốt nghiệp THPT môn Văn sở Quảng Bình lần 2
- Đề thi thử tốt nghiệp THPT môn Văn Quảng Nam
- Đề thi thử tốt nghiệp THPT môn Ngữ văn Quảng Ngãi
- Đề thi thử THPT môn Văn chuyên Biên Hòa - Hà Nam
- Đề thi thử tốt nghiệp THPT môn Ngữ văn Hải Phòng
- Đề thi thử tốt nghiệp THPT môn Ngữ văn liên trường Hải Phòng
- Đề thi thử tốt nghiệp THPT môn Ngữ văn sở Hải Dương
- Đề thi thử tốt nghiệp THPT môn Ngữ văn Hà Tĩnh
- Đề thi thử tốt nghiệp THPT môn Văn sở Thừa Thiên Huế
- Đề thi thử tốt nghiệp THPT môn Ngữ văn Hưng Yên
- Đề thi thử tốt nghiệp THPT môn Ngữ văn Hòa Bình (Lần 2)
- Đề thi thử tốt nghiệp THPT môn Ngữ văn Hậu Giang
- Đề thi thử tốt nghiệp THPT môn Ngữ văn Kon Tum
- Đề thi thử tốt nghiệp THPT môn Văn Long An
- Đề thi thử tốt nghiệp THPT môn Ngữ văn sở Lào Cai
- Đề thi thử tốt nghiệp THPT môn Ngữ văn Cụm các trường phía Bắc tỉnh Lào Cai
- Đề thi thử tốt nghiệp THPT môn Văn sở Lai Châu
- Đề thi thử tốt nghiệp THPT môn Ngữ văn Lâm Đồng
- Đề thi thử tốt nghiệp THPT môn Văn Nam Định
- Đề thi thử tốt nghiệp THPT môn Văn cụm trường Tp Nam Định
- Đề thi thử tốt nghiệp THPT môn Ngữ văn Sơn La
- Đề thi thử tốt nghiệp THPT môn Ngữ văn Phú Yên
- Đề thi thử tốt nghiệp THPT môn Ngữ văn THPT thị xã Quảng Trị
- Đề thi thử THPT môn Văn Hải Lăng - Quảng Trị
- Đề thi thử tốt nghiệp THPT môn Văn Tuyên Quang (Lần 2)
- Đề thi thử tốt nghiệp THPT môn Ngữ văn Thái Bình
- Đề thi thử tốt nghiệp THPT môn Văn sở Thái Nguyên
- Đề thi thử tốt nghiệp THPT môn Ngữ văn sở Vĩnh Phúc
- Đề thi thử tốt nghiệp THPT môn Ngữ văn sở Vĩnh Long
- Đề thi thử tốt nghiệp THPT môn Ngữ văn Yên Bái
- Đề thi thử THPT môn Văn Triệu Sơn 2 Thanh Hóa
- Đề thi thử THPT môn Ngữ văn Thiệu Hóa - Thanh Hóa
- Đề thi thử THPT môn Ngữ văn Hậu Lộc 2 - Thanh Hóa
- Đề thi thử THPT môn Ngữ văn Hàm Rồng Thanh Hóa
- Đề thi thử THPT môn Ngữ văn Thanh Miện - Hải Dương
-
Đề minh họa
-
Hóa học
- Đề minh họa
-
Đề khảo sát chất lượng
- Đáp án đề khảo sát chất lượng học kì 2 Hóa 12 Nam Định
- Đáp án đề khảo sát liên trường môn Hóa 12 Hà Nội
- Đề thi thử tốt nghiệp THPT môn Hóa sở Hà Nội
- Đề khảo sát chất lượng lớp 12 môn Hóa Nghệ An
- Đề khảo sát chất lượng môn Hóa học 12 Bình Thuận
- Đề khảo sát chất lượng lớp 12 môn Hóa học Ninh Bình
- Đề khảo sát tốt nghiệp Hóa học 12 cụm 9 trường THPT tỉnh Phú Thọ
- Đề khảo sát chất lượng lớp 12 môn Hóa học THPT Tĩnh Gia 4
- Đề khảo sát chất lượng lớp 12 môn Hóa học THPT Hoằng Hóa 4
- Đề khảo sát chất lượng Hóa 12 Vĩnh Phúc
- Đề khảo sát chất lượng Hóa học 12 cụm các trường chuyên Phú Thọ
-
Đề thi thử
- Đề thi thử tốt nghiệp THPT môn Hóa học sở Nghệ An
- Đề thi thử tốt nghiệp THPT môn Hóa học Đồng Nai
- Đề thi thử THPT môn Hóa chuyên Hạ Long - Quảng Ninh
- Đề thi thử THPT môn Hóa chuyên Phan Bội Châu - Nghệ An
- Đề thi thử tốt nghiệp THPT môn Hóa sở Bắc Giang
- Đề thi thử tốt nghiệp THPT môn Hóa học sở Bình Phước
- Đề thi thử tốt nghiệp THPT môn Hóa Bến Tre
- Đề thi thử tốt nghiệp THPT môn Hóa sở Cà Mau
- Đề thi thử tốt nghiệp THPT môn Hóa học Cần Thơ
- Đề thi thử tốt nghiệp THPT môn Hóa sở Cao Bằng
- Đề thi thử tốt nghiệp THPT môn Hóa học sở Đà Nẵng
- Đề thi thử tốt nghiệp THPT môn Hóa học sở Gia Lai
- Đề thi thử tốt nghiệp THPT môn Hóa học Hải Phòng
- Đề thi thử tốt nghiệp THPT môn Hóa học Hưng Yên
- Đề thi thử tốt nghiệp THPT môn Hóa học liên trường Hải Phòng
- Đề thi thử THPT môn Hóa chuyên Trần Phú - Hải Phòng
- Đề thi thử tốt nghiệp THPT môn Hóa sở Hà Tĩnh
- Đề thi thử tốt nghiệp THPT môn Hóa học - Huế
- Đề thi thử THPT môn Hóa chuyên Biên Hòa - Hà Nam
- Đề thi thử tốt nghiệp THPT môn Hóa sở Lào Cai
- Đề thi thử tốt nghiệp THPT môn Hóa học sở Lâm Đồng
- Đề thi thử tốt nghiệp THPT môn Hóa học Cụm các trường phía Bắc tỉnh Lào Cai
- Đề thi thử tốt nghiệp THPT môn Hóa sở Ninh Bình
- Đề thi thử tốt nghiệp THPT môn Hóa tỉnh Bắc Ninh
- Đề thi thử THPT môn Hóa chuyên Bắc Ninh
- Đề thi thử THPT môn Hóa THPT Lương Tài - Bắc Ninh
- Đề thi thử tốt nghiệp THPT môn Hóa Quảng Ninh
- Đề thi thử tốt nghiệp THPT môn Hóa sở Quảng Bình
- Đề thi thử tốt nghiệp THPT môn Hóa sở Phú Thọ
- Đề thi thử tốt nghiệp THPT môn Hóa Nam Định
- Đề thi thử THPT môn Hóa chuyên Lê Hồng Phong - Nam Định
- Đề thi thử tốt nghiệp THPT môn Hóa sở Vĩnh Long
- Đề thi thử tốt nghiệp THPT môn Hóa THPT thị xã Quảng Trị
- Đề thi thử THPT môn Hóa Hải Lăng - Quảng Trị
- Đề thi thử tốt nghiệp THPT môn Hóa Sơn La
- Đề thi thử tốt nghiệp THPT môn Hóa học sở Thái Nguyên
- Đề thi thử tốt nghiệp THPT môn Hóa sở Thanh Hóa
- Đề thi thử THPT môn Hóa Triệu Sơn 2 Thanh Hóa
- Đề thi thử THPT môn Hóa Hàm Rồng Thanh Hóa lần 2
- Đề thi thử THPT môn Hóa học Hậu Lộc 2 - Thanh Hóa
- Đề thi thử THPT môn Hóa học Thiệu Hóa - Thanh Hóa
- Đề thi thử tốt nghiệp THPT môn Hóa sở Tuyên Quang
- Đề thi thử tốt nghiệp THPT môn Hóa chuyên Vinh
- Đề thi thử THPT môn Hóa chuyên Lê Quý Đôn - Vũng Tàu
- Đề thi thử tốt nghiệp THPT môn Hóa sở Vĩnh Phúc
-
Tài liệu ôn tập
- Chuyên đề bài tập hình vẽ, thí nghiệm bảng biểu Hóa học
- Tổng ôn kiến thức Hóa học 12 – chuẩn cấu trúc đề thi 2025
- 80 đề Hóa ôn thi THPT quốc gia có đáp án
- Chuyên đề Đại cương Hóa hữu cơ: Lý thuyết, Bài tập
- Câu hỏi đúng sai về Polymer
- Câu hỏi đúng sai về Nitrogen
- Câu hỏi đúng sai về Pin điện và Điện phân
- Câu hỏi đúng sai về Carbohydrate
-
Vật lí
- Đề minh họa
-
Đề khảo sát chất lượng
- Đề khảo sát chất lượng học kì 2 Vật lí 12 Nam Định
- Đáp án đề khảo sát liên trường môn Vật lí 12 sở Hà Nội
- Đề khảo sát chất lượng lớp 12 môn Vật lí Nghệ An
- Đề khảo sát chất lượng lớp 12 môn Vật lí Ninh Bình
- Đề khảo sát chất lượng môn Vật lí 12 Phú Thọ
- Đề khảo sát chất lượng môn Vật lí 12 Bình Thuận
- Đề khảo sát tốt nghiệp Vật lí 12 cụm 9 trường THPT tỉnh Phú Thọ
- Đề khảo sát chất lượng môn Vật lí 12 Thanh Hóa
- Đề khảo sát chất lượng lớp 12 môn Vật lí THPT Tĩnh Gia 4
- Đề khảo sát chất lượng lớp 12 môn Vật lí THPT Hoằng Hóa 4
- Đề khảo sát chất lượng môn Vật lí 12 THPT Yên Viên
- Đề khảo sát chất lượng Vật lí 12 cụm các trường chuyên Phú Thọ
- Đề khảo sát chất lượng Vật lí 12 chuyên Hưng Yên
-
Đề thi thử
- Đề thi thử tốt nghiệp THPT môn Vật lí sở Nghệ An
- Đề thi thử tốt nghiệp THPT môn Vật lí An Giang
- Đề thi thử THPT môn Vật lí chuyên Vinh
- Đề thi thử tốt nghiệp THPT môn Vật lí Bến Tre
- Đề thi thử tốt nghiệp THPT môn Vật lí sở Bình Phước
- Đề thi thử tốt nghiệp THPT môn Vật lí sở Cà Mau
- Đề thi thử tốt nghiệp THPT môn Vật lí sở Cao Bằng
- Đề thi thử tốt nghiệp THPT môn Vật lí Cần Thơ
- Đề thi thử tốt nghiệp THPT môn Vật lí sở Đà Nẵng
- Đề thi thử tốt nghiệp THPT môn Vật lí Đồng Nai
- Đề thi thử tốt nghiệp THPT môn Vật lí Đồng Tháp
- Đề thi thử tốt nghiệp THPT môn Vật lí sở Gia Lai
- Đề thi thử tốt nghiệp THPT môn Vật lí cụm trường THPT TP Hải Dương
- Đề thi thử tốt nghiệp THPT môn Vật lí sở Hà Tĩnh
- Đề thi thử THPT môn Vật lí chuyên Biên Hòa - Hà Nam
- Đề thi thử tốt nghiệp THPT môn Vật lí Hưng Yên
- Đề thi thử tốt nghiệp THPT môn Vật lí Lạng Sơn
- Đề thi thử tốt nghiệp THPT môn Vật lí sở Lâm Đồng
- Đề thi thử tốt nghiệp THPT môn Vật lí Long An
- Đề thi thử tốt nghiệp THPT môn Vật lí Cụm các trường phía Bắc tỉnh Lào Cai
- Đề thi thử tốt nghiệp THPT môn Vật lí sở Ninh Bình
- Đề thi thử tốt nghiệp THPT môn Vật lí Quảng Nam
- Đề thi thử tốt nghiệp THPT 2025 môn Vật lí sở Bắc Ninh lần 2
- Đề thi thử tốt nghiệp THPT môn Vật lí Hải Phòng
- Đề thi thử tốt nghiệp THPT môn Vật lí liên trường Hải Phòng
- Đề thi thử tốt nghiệp THPT môn Vật lí Quảng Ninh
- Đề thi thử tốt nghiệp THPT môn Vật lí sở Lai Châu
- Đề thi thử tốt nghiệp THPT môn Vật lí Thái Bình
- Đề thi thử tốt nghiệp THPT môn Vật lí sở Thái Nguyên
- Đề thi thử tốt nghiệp THPT môn Vật lí sở Thanh Hóa
- Đề thi thử tốt nghiệp THPT môn Vật lí THPT thị xã Quảng Trị
- Đề thi thử THPT môn Vật lí Hải Lăng - Quảng Trị
- Đề thi thử tốt nghiệp THPT môn Vật lí sở Quảng Bình
- Đề thi thử tốt nghiệp THPT môn Vật lí Sơn La
- Đề thi thử THPT môn Vật lí Triệu Sơn 2 Thanh Hóa
- Đề thi thử THPT môn Vật lí Hàm Rồng Thanh Hóa lần 2
- Đề thi thử THPT môn Vật lí Hậu Lộc 2 - Thanh Hóa
- Đề thi thử THPT môn Vật lí Thiệu Hóa - Thanh Hóa
- Đề thi thử tốt nghiệp THPT môn Vật lí sở Tuyên Quang
- Đề thi thử THPT môn Vật lí Thanh Miện - Hải Dương
- Đề thi thử tốt nghiệp THPT môn Vật lí sở Vĩnh Phúc
- Đề thi thử tốt nghiệp THPT môn Vật lí sở Vĩnh Long
-
Sinh học
- Đề minh họa
-
Đề khảo sát chất lượng
- Đề khảo sát chất lượng học kì 2 Sinh 12 Nam Định
- Đáp án đề khảo sát liên trường môn Sinh 12 sở Hà Nội
- Đề khảo sát chất lượng lớp 12 môn Sinh học Nghệ An
- Đề khảo sát chất lượng môn Sinh 12 Bình Thuận
- Đề khảo sát chất lượng lớp 12 môn Sinh học Ninh Bình
- Đề khảo sát chất lượng lớp 12 môn Sinh học THPT Tĩnh Gia 4
- Đề khảo sát chất lượng lớp 12 môn Sinh học THPT Hoằng Hóa 4
- Đề khảo sát chất lượng Sinh học 12 cụm các trường chuyên Phú Thọ
-
Đề thi thử
- Đề thi thử tốt nghiệp THPT môn Sinh sở Nghệ An
- Đề thi thử THPT môn Sinh chuyên Vinh - Nghệ An
- Đề thi thử tốt nghiệp THPT môn Sinh Bến Tre
- Đề thi thử tốt nghiệp THPT môn Sinh sở Bình Dương
- Đề thi thử tốt nghiệp THPT môn Sinh học sở Bình Phước
- Đề thi thử tốt nghiệp THPT môn Sinh sở Bắc Ninh
- Đề thi thử tốt nghiệp THPT môn Sinh học sở Cà Mau
- Đề thi thử tốt nghiệp THPT môn Sinh học Cần Thơ
- Đề thi thử tốt nghiệp THPT môn Sinh học sở Đà Nẵng
- Đề thi thử tốt nghiệp THPT môn Sinh Đồng Nai
- Đề thi thử tốt nghiệp THPT môn Sinh học sở Gia Lai
- Đề thi thử tốt nghiệp THPT môn Sinh sở Hà Tĩnh
- Đề thi thử tốt nghiệp THPT môn Sinh học Hưng Yên
- Đề thi thử THPT môn Sinh chuyên Biên Hòa - Hà Nam
- Đề thi thử tốt nghiệp THPT môn Sinh học Cụm các trường phía Bắc tỉnh Lào Cai
- Đề thi thử tốt nghiệp THPT môn Sinh học sở Lâm Đồng
- Đề thi thử tốt nghiệp THPT môn Sinh sở Nam Định
- Đề thi thử tốt nghiệp THPT môn Sinh sở Ninh Bình
- Đề thi thử tốt nghiệp THPT môn Sinh Hải Phòng
- Đề thi thử tốt nghiệp THPT môn Sinh học liên trường Hải Phòng
- Đề thi thử tốt nghiệp THPT môn Sinh học tỉnh Quảng Ninh
- Đề thi thử tốt nghiệp THPT môn Sinh sở Quảng Bình
- Đề thi thử tốt nghiệp THPT môn Sinh THPT thị xã Quảng Trị
- Đề thi thử THPT môn Sinh Hải Lăng - Quảng Trị
- Đề thi thử THPT môn Sinh chuyên Lê Khiết - Quảng Ngãi
- Đề thi thử tốt nghiệp THPT môn Sinh Sơn La
- Đề thi thử THPT môn Sinh Triệu Sơn 2 Thanh Hóa
- Đề thi thử THPT môn Sinh Hàm Rồng Thanh Hóa lần 2
- Đề thi thử THPT môn Sinh học Hậu Lộc 2 - Thanh Hóa
- Đề thi thử THPT môn Sinh Thiệu Hóa - Thanh Hóa
- Đề thi thử THPT môn Sinh Thanh Miện Hải Dương
-
Lịch sử
- Đề minh họa
-
Đề khảo sát chất lượng
- Đáp án đề khảo sát chất lượng học kì 2 Sử 12 Nam Định
- Đáp án đề khảo sát liên trường môn Lịch sử 12 sở Hà Nội
- Đề khảo sát chất lượng lớp 12 môn Lịch sử Nghệ An
- Đề khảo sát chất lượng môn Lịch sử 12 Bình Thuận
- Đề khảo sát chất lượng lớp 12 Bắc Ninh môn Sử
- Đề khảo sát chất lượng lớp 12 môn Lịch sử Ninh Bình
- Đề khảo sát chất lượng môn Lịch sử 12 Phú Thọ
- Đề khảo sát tốt nghiệp Lịch sử 12 cụm 9 trường THPT tỉnh Phú Thọ
- Đề khảo sát chất lượng lớp 12 môn Lịch sử THPT Tĩnh Gia 4
- Đề khảo sát chất lượng lớp 12 môn Lịch sử THPT Hoằng Hóa 4
- Đề khảo sát chất lượng Lịch sử 12 Vĩnh Phúc
- Đề khảo sát chất lượng Lịch sử 12 cụm các trường chuyên Phú Thọ
-
Đề thi thử
- Đề thi thử tốt nghiệp THPT môn Sử sở Nghệ An
- Đề thi thử tốt nghiệp THPT môn Lịch sử Bến Tre
- Đề thi thử tốt nghiệp THPT môn Sử sở Bình Phước
- Đề thi thử tốt nghiệp THPT môn Lịch sử sở Cà Mau
- Đề thi thử tốt nghiệp THPT môn Lịch sử Cần Thơ
- Đề thi thử tốt nghiệp THPT môn Lịch sử sở Cao Bằng
- Đề thi thử tốt nghiệp THPT môn Lịch sử sở Đà Nẵng
- Đề thi thử tốt nghiệp THPT môn Sử sở Điện Biên
- Đề thi thử tốt nghiệp THPT môn Lịch sử Đồng Nai
- Đề thi thử tốt nghiệp THPT môn Lịch sử sở Gia Lai
- Đề thi thử THPT môn Lịch sử chuyên Biên Hòa - Hà Nam
- Đề thi thử tốt nghiệp THPT môn Lịch sử Nam Định
- Đề thi thử tốt nghiệp THPT môn Lịch sử sở Ninh Bình
- Đề thi thử tốt nghiệp THPT môn Lịch sử sở Bắc Ninh
- Đề thi thử tốt nghiệp THPT môn Lịch sử sở Bắc Kạn
- Đề thi thử tốt nghiệp THPT môn Lịch sử Lạng Sơn
- Đề thi thử tốt nghiệp THPT môn Lịch sử tỉnh Quảng Ninh
- Đề thi thử tốt nghiệp THPT môn Lịch sử THPT thị xã Quảng Trị
- Đề thi thử THPT môn Lịch sử Hải Lăng - Quảng Trị
- Đề thi thử tốt nghiệp THPT môn Lịch sử Hải Phòng
- Đề thi thử tốt nghiệp THPT môn Lịch sử Hưng Yên
- Đề thi thử tốt nghiệp THPT môn Lịch sử liên trường Hải Phòng
- Đề thi thử tốt nghiệp THPT môn Lịch sử sở Hải Dương
- Đề thi thử tốt nghiệp THPT môn Lịch sử Hòa Bình
- Đề thi thử tốt nghiệp THPT môn Lịch sử Hà Tĩnh
- Đề thi thử tốt nghiệp THPT môn Lịch sử Kon Tum
- Đề thi thử tốt nghiệp THPT môn Lịch sử sở Lâm Đồng
- Đề thi thử tốt nghiệp THPT môn Sử sở Kiên Giang
- Đề thi thử tốt nghiệp THPT môn Sử Sơn La
- Đề thi thử tốt nghiệp THPT môn Lịch sử Tuyên Quang
- Đề thi thử tốt nghiệp THPT môn Lịch sử sở Thái Nguyên
- Đề thi thử tốt nghiệp THPT môn Lịch sử Yên Bái
- Đề thi thử THPT môn Lịch sử Triệu Sơn 2 Thanh Hóa
- Đề thi thử THPT môn Lịch sử Hậu Lộc 2 - Thanh Hóa
- Đề thi thử THPT môn Lịch sử Hàm Rồng Thanh Hóa
- Đề thi thử THPT môn Lịch sử Thiệu Hóa - Thanh Hóa
-
Địa lí
- Đề minh họa
-
Đề khảo sát chất lượng
- Đáp án đề khảo sát chất lượng học kì 2 Địa lí 12 Nam Định
- Đáp án đề khảo sát liên trường môn Địa lí 12 Hà Nội
- Đề khảo sát chất lượng lớp 12 môn Địa lí Nghệ An
- Đề khảo sát chất lượng môn Địa lí 12 Bình Thuận
- Đề thi thử tốt nghiệp THPT môn Địa lí Đồng Nai
- Đề khảo sát chất lượng lớp 12 Bắc Ninh môn Địa
- Đề khảo sát chất lượng lớp 12 môn Địa lí Ninh Bình
- Đề khảo sát tốt nghiệp Địa lí 12 cụm 9 trường THPT tỉnh Phú Thọ
- Đề khảo sát chất lượng lớp 12 môn Địa lí THPT Tĩnh Gia 4
- Đề khảo sát chất lượng lớp 12 môn Địa lí THPT Hoằng Hóa 4
- Đề khảo sát chất lượng Địa lí 12 Vĩnh Phúc
- Đề khảo sát chất lượng Địa lí 12 cụm các trường chuyên Phú Thọ
-
Đề thi thử
- Đề thi thử tốt nghiệp THPT môn Địa sở Nghệ An
- Đề thi thử tốt nghiệp THPT môn Địa lí Bến Tre
- Đề thi thử tốt nghiệp THPT môn Địa sở Bạc Liêu
- Đề thi thử tốt nghiệp THPT môn Địa lí sở Bắc Kạn
- Đề thi thử tốt nghiệp THPT môn Địa lí sở Bình Phước
- Đề thi thử tốt nghiệp THPT môn Địa lí Bà Rịa Vũng Tàu
- Đề thi thử tốt nghiệp THPT môn Địa lí sở Cà Mau
- Đề thi thử tốt nghiệp THPT môn Địa lí Cần Thơ
- Đề thi thử tốt nghiệp THPT môn Địa lí sở Đà Nẵng
- Đề thi thử tốt nghiệp THPT môn Địa lí sở Đắk Lắk
- Đề thi thử tốt nghiệp THPT môn Địa lí sở Điện Biên
- Đề thi thử tốt nghiệp THPT môn Địa lí sở Gia Lai
- Đề thi thử tốt nghiệp THPT môn Địa lí sở Hà Tĩnh
- Đề thi thử tốt nghiệp THPT môn Địa lí sở Hải Dương
- Đề thi thử tốt nghiệp THPT môn Địa lí Hậu Giang
- Đề thi thử tốt nghiệp THPT môn Địa lí Hưng Yên
- Đề thi thử tốt nghiệp THPT môn Địa Khánh Hòa
- Đề thi thử tốt nghiệp THPT môn Địa lí sở Kon Tum
- Đề thi thử THPT môn Địa lí chuyên Biên Hòa - Hà Nam
- Đề thi thử tốt nghiệp THPT môn Địa lí Lạng Sơn
- Đề thi thử tốt nghiệp THPT môn Địa lí sở Lâm Đồng
- Đề thi thử tốt nghiệp THPT môn Địa lí sở Lào Cai
- Đề thi thử tốt nghiệp THPT môn Địa lí Cụm các trường phía Bắc tỉnh Lào Cai
- Đề thi thử tốt nghiệp THPT môn Địa lí Long An
- Đề thi thử tốt nghiệp THPT môn Vật lí sở Nam Định
- Đề thi thử tốt nghiệp THPT môn Địa lí sở Ninh Bình
- Đề thi thử tốt nghiệp THPT môn Địa lí sở Bắc Ninh
- Đề thi thử tốt nghiệp THPT môn Địa lí Quảng Ninh
- Đề thi thử tốt nghiệp THPT môn Địa lí sở Quảng Bình
- Đề thi thử tốt nghiệp THPT môn Địa lí Sơn La
- Đề thi thử tốt nghiệp THPT môn Địa lí Hải Phòng
- Đề thi thử tốt nghiệp THPT môn Địa lí liên trường Hải Phòng
- Đề thi thử THPT quốc gia môn Địa Nam Định
- Đề thi thử tốt nghiệp THPT môn Địa lí THPT thị xã Quảng Trị
- Đề thi thử THPT môn Địa lí Hải Lăng - Quảng Trị
- Đề thi thử THPT môn Địa lí Triệu Sơn 2 Thanh Hóa
- Đề thi thử THPT môn Địa lí Hàm Rồng Thanh Hóa
- Đề thi thử THPT môn Địa lí Thiệu Hóa - Thanh Hóa
- Đề thi thử THPT môn Địa lí Hậu Lộc 2 - Thanh Hóa
- Đề thi thử THPT môn Địa lí Cẩm Giàng - Hải Dương
- Đề thi thử tốt nghiệp THPT môn Địa lí sở Thái Nguyên
- Đề thi thử tốt nghiệp THPT môn Địa lí Thái Bình
-
Công nghệ
- Đề minh họa
-
Đề khảo sát chất lượng
- Đề khảo sát chất lượng học kì 2 Công nghệ 12 Nam Định
- Đề khảo sát chất lượng môn Công nghệ 12 Bình Thuận
- Đề khảo sát chất lượng lớp 12 Bắc Ninh môn Công nghệ
- Đề khảo sát chất lượng môn Công nghệ Nông nghiệp 12 Bình Thuận
- Đề khảo sát chất lượng lớp 12 môn Công nghệ Công nghiệp Nghệ An
- Đề khảo sát chất lượng lớp 12 môn Công nghệ Nông nghiệp Nghệ An
- Đề khảo sát chất lượng lớp 12 môn Công nghệ Công nghiệp Ninh Bình
- Đề khảo sát chất lượng lớp 12 môn Công nghệ Nông nghiệp Ninh Bình
- Đề thi thử tốt nghiệp THPT môn Công nghệ Nam Định
-
Đề thi thử
- Đề thi thử tốt nghiệp THPT môn Công nghệ sở Ninh Bình (Lần 2)
- Đề thi thử tốt nghiệp THPT môn Công nghệ Bến Tre
- Đề thi thử tốt nghiệp THPT môn Công nghệ Công nghiệp tỉnh Bắc Ninh
- Đề thi thử tốt nghiệp THPT môn Công nghệ Nông nghiệp tỉnh Bắc Ninh lần 2
- Đề thi thử tốt nghiệp THPT môn Công nghệ sở Cà Mau
- Đề thi thử tốt nghiệp THPT môn Công nghệ Công nghiệp Cần Thơ
- Đề thi thử tốt nghiệp THPT môn Công nghệ Nông nghiệp Cần Thơ
- Đề thi thử tốt nghiệp THPT môn Công nghệ sở Đà Nẵng
- Đề thi thử tốt nghiệp THPT môn Công nghệ Công nghiệp Đồng Nai
- Đề thi thử tốt nghiệp THPT môn Công nghệ Nông nghiệp Đồng Nai
- Đề thi thử tốt nghiệp THPT môn Công nghệ Công nghiệp sở Gia Lai
- Đề thi thử tốt nghiệp THPT môn Công nghệ Nông nghiệp sở Gia Lai
- Đề thi thử tốt nghiệp THPT môn Công nghệ Công nghiệp sở Hà Tĩnh
- Đề thi thử tốt nghiệp THPT môn Công nghệ Nông nghiệp sở Hà Tĩnh
- Đề thi thử tốt nghiệp THPT môn Công nghệ Công nghiệp sở Lâm Đồng
- Đề thi thử tốt nghiệp THPT môn Công nghệ Nông nghiệp sở Lâm Đồng
- Đề thi thử tốt nghiệp THPT môn Công nghệ Quảng Ninh
- Đề thi thử tốt nghiệp THPT Công nghệ Công nghiệp sở Quảng Ninh
- Đề thi thử THPT môn Công nghệ Hải Lăng - Quảng Trị
- Đề thi thử tốt nghiệp THPT môn Công nghệ Hải phòng
- Đề thi thử tốt nghiệp THPT môn Công nghệ Công nghiệp sở Hưng Yên
- Đề thi thử tốt nghiệp THPT môn Công nghệ Nông nghiệp sở Hưng Yên
- Đề thi thử tốt nghiệp THPT môn Công nghệ Nông nghiệp liên trường Hải Phòng
- Đề thi thử tốt nghiệp THPT môn Công nghệ Công nghiệp liên trường Hải Phòng
- Đề thi thử THPT quốc gia môn Công nghệ sở Nghệ An
- Đề thi thử tốt nghiệp THPT môn Công nghệ Công nghiệp Sơn La lần 3
- Đề thi thử tốt nghiệp THPT môn Công nghệ Nông nghiệp Sơn La lần 3
-
Tin học
- Đề minh họa
-
Đề khảo sát chất lượng
- Đề khảo sát chất lượng học kì 2 Tin 12 Nam Định
- Đề khảo sát chất lượng môn Tin 12 Bình Thuận
- Đề khảo sát chất lượng lớp 12 Bắc Ninh môn Tin học
- Đề khảo sát chất lượng lớp 12 môn Tin học Nghệ An
- Đề khảo sát chất lượng lớp 12 môn Tin học Ninh Bình
- Đề khảo sát chất lượng Tin học 12 cụm các trường chuyên Phú Thọ
-
Đề thi thử
- Đề thi thử tốt nghiệp THPT môn Tin học
- Đề thi thử tốt nghiệp THPT môn Tin Bến Tre
- Đề thi thử tốt nghiệp THPT môn Tin học sở Bình Phước
- Đề thi thử tốt nghiệp THPT môn Tin học tỉnh Bắc Ninh lần 2
- Đề thi thử tốt nghiệp THPT môn Tin học sở Cà Mau
- Đề thi thử tốt nghiệp THPT môn Tin học Cần Thơ
- Đề thi thử tốt nghiệp THPT môn Tin sở Đà Nẵng
- Đề thi thử tốt nghiệp THPT môn Tin học Đồng Nai
- Đề thi thử tốt nghiệp THPT môn Tin học sở Gia Lai
- Đề thi thử tốt nghiệp THPT môn Tin sở Hà Nội
- Đề thi thử tốt nghiệp THPT môn Tin học Hải Phòng
- Đề thi thử tốt nghiệp THPT môn Tin Hà Tĩnh
- Đề thi thử tốt nghiệp THPT môn Tin học Hưng Yên
- Đề thi thử tốt nghiệp THPT môn Tin học Cụm các trường phía Bắc tỉnh Lào Cai
- Đề thi thử tốt nghiệp THPT môn Tin học sở Lâm Đồng
- Đề thi thử tốt nghiệp THPT môn Tin học sở Nam Định
- Đề thi thử tốt nghiệp THPT môn Tin sở Ninh Bình
- Đề thi thử tốt nghiệp THPT môn Tin Quảng Ninh
- Đề thi thử tốt nghiệp THPT môn Tin Quảng Nam
- Đề thi thử tốt nghiệp THPT môn Tin sở Nghệ An
- Đề thi thử tốt nghiệp THPT môn Tin Khánh Hòa
- Đề thi thử tốt nghiệp THPT môn Tin Trà Vinh
- Đề thi thử THPT môn Tin Hải Lăng - Quảng Trị
- Đề thi thử tốt nghiệp THPT môn Tin Sơn La
- Đề thi thử tốt nghiệp THPT môn Tin học sở Thái Nguyên
- Đề thi thử tốt nghiệp THPT môn Tin sở Vĩnh Long
- Đề thi thử tốt nghiệp THPT môn Tin học liên trường Hải Phòng
- Đề thi thử THPT môn Tin học Hậu Lộc 2 - Thanh Hóa
-
Tiếng Anh
- Đề minh họa
-
Đề khảo sát chất lượng
- Đáp án đề khảo sát chất lượng học kì 2 Tiếng Anh 12 Nam Định
- Đáp án đề khảo sát liên trường môn Tiếng Anh 12 sở Hà Nội
- Đề khảo sát chất lượng lớp 12 môn Tiếng Anh Nghệ An
- Đề khảo sát chất lượng lớp 12 môn Tiếng Anh Ninh Bình
- Đề khảo sát chất lượng môn Tiếng Anh 12 Bình Thuận
- Đề khảo sát tốt nghiệp Tiếng Anh 12 cụm 9 trường THPT tỉnh Phú Thọ
- Đề khảo sát chất lượng lớp 12 môn Tiếng Anh THPT Tĩnh Gia 4
- Đề khảo sát chất lượng lớp 12 môn Tiếng Anh THPT Hoằng Hóa 4
- Đề khảo sát chất lượng Tiếng Anh 12 Vĩnh Phúc
- Đề khảo sát chất lượng Tiếng Anh 12 cụm các trường chuyên Phú Thọ
-
Đề thi thử
- Đề thi thử tốt nghiệp THPT môn Tiếng Anh sở Nghệ An
- Đề thi thử tốt nghiệp THPT môn Tiếng Anh Bến Tre
- Đề thi thử tốt nghiệp THPT môn Tiếng Anh sở Bình Phước
- Đề thi thử tốt nghiệp THPT môn Tiếng Anh sở Cà Mau
- Đề thi thử tốt nghiệp THPT môn Tiếng Anh Cần Thơ
- Đề thi thử tốt nghiệp THPT môn Tiếng Anh sở Đà Nẵng
- Đề thi thử tốt nghiệp THPT môn Tiếng Anh Đồng Nai
- Đề thi thử tốt nghiệp THPT môn Tiếng Anh Đồng Tháp
- Đề thi thử tốt nghiệp THPT môn Tiếng Anh sở Gia Lai
- Đề thi thử THPT môn Tiếng Anh chuyên Biên Hòa - Hà Nam
- Đề thi thử tốt nghiệp THPT môn Tiếng Anh sở Lâm Đồng
- Đề thi thử tốt nghiệp THPT môn Tiếng Anh sở Ninh Bình
- Đề thi thử tốt nghiệp THPT môn Tiếng Anh Quảng Ninh
- Đề thi thử tốt nghiệp THPT môn Tiếng Anh tỉnh Bắc Ninh lần 2
- Đề thi thử tốt nghiệp THPT môn Tiếng Anh Hải Phòng
- Đề thi thử tốt nghiệp THPT môn Tiếng Anh Hưng Yên
- Đề thi thử tốt nghiệp THPT môn Tiếng Anh liên trường Hải Phòng
- Đề thi thử tốt nghiệp THPT môn Tiếng Anh sở Hải Dương
- Đề thi thử tốt nghiệp THPT môn Tiếng Anh sở Hà Tĩnh
- Đề thi thử tốt nghiệp THPT môn Tiếng Anh Quảng Nam
- Đề thi thử tốt nghiệp THPT môn Tiếng Anh Cụm các trường phía Bắc tỉnh Lào Cai
- Đề thi thử tốt nghiệp THPT môn Tiếng Anh sở Nam Định
- Đề thi thử tốt nghiệp THPT môn Tiếng Anh Sơn La
- Đề thi thử tốt nghiệp THPT môn Tiếng Anh Thái Bình
- Đề thi thử tốt nghiệp THPT môn Tiếng Anh sở Thái Nguyên
- Đề thi thử tốt nghiệp THPT môn Tiếng Anh sở Tuyên Quang
- Đề thi thử tốt nghiệp THPT môn Tiếng Anh THPT thị xã Quảng Trị
- Đề thi thử THPT môn Tiếng Anh Hải Lăng - Quảng Trị
- Đề thi thử THPT môn Tiếng Anh Hàm Rồng Thanh Hóa
- Đề thi thử THPT môn Tiếng Anh Thiệu Hóa - Thanh Hóa
- Đề thi thử THPT môn Tiếng Anh Hậu Lộc 2 - Thanh Hóa
- Đề thi thử THPT môn Tiếng Anh Thanh Miện - Hải Dương
- Đề thi thử tốt nghiệp THPT môn Sinh sở Vĩnh Long
- Đề khảo sát chất lượng lớp 12 Bắc Ninh môn Tiếng Trung
-
Chuyên đề
- Chuyên đề Sắp xếp đoạn hội thoại - lá thư - đoạn văn
- Chuyên đề Đọc điền Quảng cáo - Thông báo - Tờ rơi
- Chuyên đề Đọc hiểu 8 câu tiếng Anh
- Chuyên đề Đọc hiểu 10 câu tiếng Anh
- Chuyên đề Đọc điền khuyết thông tin (5 câu) theo SGK iLearn Smart World
- Chuyên đề Đọc điền khuyết thông tin (5 câu) theo SGK Friends Global
- Chuyên đề Đọc điền khuyết thông tin (5 câu) theo SGK THiNK
- Chuyên đề Đọc điền khuyết thông tin (5 câu) theo SGK Bright
- Chuyên đề Đọc điền khuyết thông tin (5 câu) theo SGK Global Success
- Chuyên đề Đọc điền khuyết thông tin (5 câu) theo SGK English Discovery
-
Kinh tế pháp luật
- Đề minh họa
-
Đề khảo sát chất lượng
- Đáp án đề khảo sát chất lượng học kì 2 Kinh tế pháp luật 12 Nam Định
- Đáp án đề khảo sát liên trường môn Kinh tế pháp luật 12 sở Hà Nội
- Đề thi thử tốt nghiệp THPT môn Kinh tế pháp luật Đồng Nai
- Đề khảo sát chất lượng lớp 12 môn Kinh tế pháp luật Nghệ An
- Đề khảo sát chất lượng môn Kinh tế pháp luật 12 Bình Thuận
- Đề khảo sát chất lượng lớp 12 Bắc Ninh môn Kinh tế pháp luật
- Đề khảo sát chất lượng lớp 12 môn Kinh tế pháp luật Ninh Bình
- Đề khảo sát tốt nghiệp Kinh tế pháp luật 12 cụm 9 trường THPT tỉnh Phú Thọ
- Đề khảo sát chất lượng lớp 12 môn Kinh tế pháp luật THPT Tĩnh Gia 4
- Đề khảo sát chất lượng lớp 12 môn Kinh tế pháp luật THPT Hoằng Hóa 4
- Đề khảo sát chất lượng Kinh tế pháp luật 12 sở Vĩnh Phúc
- Đề khảo sát chất lượng Kinh tế pháp luật 12 cụm các trường chuyên Phú Thọ
-
Đề thi thử
- Đề thi thử tốt nghiệp THPT môn Kinh tế pháp luật sở Nghệ An
- Đề thi thử tốt nghiệp THPT môn Kinh tế pháp luật Bến Tre
- Đề thi thử tốt nghiệp THPT môn Kinh tế pháp luật sở Bình Phước
- Đề thi thử tốt nghiệp THPT môn Kinh tế pháp luật sở Cà Mau
- Đề thi thử tốt nghiệp THPT môn Kinh tế pháp luật Cần Thơ
- Đề thi thử tốt nghiệp THPT môn Kinh tế pháp luật sở Đà Nẵng
- Đề thi thử tốt nghiệp THPT môn Kinh tế pháp luật Hà Tĩnh
- Đề thi thử tốt nghiệp THPT môn Kinh tế pháp luật Hưng Yên
- Đề thi thử tốt nghiệp THPT môn Kinh tế pháp luật sở Ninh Bình
- Đề thi thử tốt nghiệp THPT môn Kinh tế pháp luật tỉnh Bắc Ninh
- Đề thi thử tốt nghiệp THPT môn Kinh tế pháp luật sở Gia Lai
- Đề thi thử tốt nghiệp THPT môn KTPL Cụm các trường phía Bắc tỉnh Lào Cai
- Đề thi thử tốt nghiệp THPT môn Kinh tế pháp luật sở Lai Châu
- Đề thi thử tốt nghiệp THPT môn Kinh tế pháp luật sở Lâm Đồng
- Đề thi thử tốt nghiệp THPT môn Kinh tế pháp luật Nam Định
- Đề thi thử tốt nghiệp THPT môn Kinh tế pháp luật Quảng Ninh
- Đề thi thử tốt nghiệp môn Kinh tế pháp luật THPT thị xã Quảng Trị
- Đề thi thử THPT môn Kinh tế pháp luật Hải Lăng - Quảng Trị
- Đề thi thử tốt nghiệp THPT môn Kinh tế pháp luật Hải phòng
- Đề thi thử tốt nghiệp THPT môn Kinh tế pháp luật liên trường Hải Phòng
- Đề thi thử tốt nghiệp THPT môn Kinh tế pháp luật sở Hải Dương
- Đề thi thử tốt nghiệp THPT môn Kinh tế pháp luật sở Sơn La
- Đề thi thử THPT môn Kinh tế pháp luật Triệu Sơn 2 Thanh Hóa
- Đề thi thử THPT môn Kinh tế pháp luật Hậu Lộc 2 - Thanh Hóa
- Đề thi thử THPT môn Kinh tế pháp luật Hàm Rồng Thanh Hóa
- Đề thi thử THPT môn Kinh tế pháp luật Thiệu Hóa - Thanh Hóa
- Đề thi thử tốt nghiệp THPT môn Kinh tế pháp luật Thái Bình
- Đề thi thử tốt nghiệp THPT môn Kinh tế pháp luật Tiền Giang
- Đề thi thử tốt nghiệp THPT môn Tiếng Pháp Quảng Ninh
- Đề thi thử tốt nghiệp THPT môn Tiếng Trung Quảng Ninh
Đề thi lớp 12 tải nhiều
-
Bộ đề thi thử Quảng Xương 1 lần 2 2023 có đáp án tất cả các môn
-
Đề cương ôn tập học kì 2 môn Ngữ văn 12 sách Kết nối tri thức
-
Đề thi thử Hóa chuyên Vinh 2026 có đáp án
-
Bộ đề thi cuối kì 2 Toán 10,11,12 Kết nối tri thức
-
Đề thi cuối kì 2 Toán 12 Kết nối tri thức CV 7991
-
Bộ đề ôn thi cuối kì 2 Toán 12 có đáp án
-
Đề ôn tập cuối kì 2 Vật lí 12 Kết nối tri thức (Có đáp án)
-
Đề thi cuối kì 2 Vật lí 12 Cánh Diều 2026
-
Đề thi cuối kì 2 Vật lí 12 Chân Trời Sáng Tạo 2026
-
Đề thi cuối kì 2 Vật lí 12 Kết Nối Tri Thức 2026
Bài viết hay Đề thi lớp 12
-
Đề thi giữa học kì 2 môn Hóa lớp 12 sách Chân trời sáng tạo theo CV 7991
-
Đề thi học kì 2 Toán 12 Kết nối tri thức
-
Đề thi cuối kì 1 Hóa 12 Kết Nối Tri Thức 2026
-
Đề thi học kì 2 môn Lịch sử lớp 12 2026 có đáp án
-
Đề thi giữa kì 1 Hóa học 12 sách mới (Có đáp án)
-
Đề thi cuối kì 1 Vật lí 12 Kết nối tri thức