Đáp án đề Toán sở Hà Nội 2024 mới nhất
Mua tài khoản Hoatieu Pro để trải nghiệm website Hoatieu.vn KHÔNG quảng cáo & Tải nhanh File chỉ từ 99.000đ. Tìm hiểu thêm »
Đáp án đề khảo sát Toán 2024 Hà Nội
- 1. Đáp án đề thi thử tốt nghiệp THTP 2024 Hà Nội
- Đáp án đề Toán sở Hà Nội 2024 - mã đề 101
- Đáp án đề Toán sở Hà Nội 2024 - mã đề 104
- Đáp án đề Toán sở Hà Nội 2024 - mã đề 111
- Đáp án đề Toán sở Hà Nội 2024 - mã đề 114
- Đáp án đề Toán sở Hà Nội 2024 - mã đề 117
- Đáp án đề Toán sở Hà Nội 2024 - mã đề 118
- Đáp án đề thi thử Toán Hà Nội 2024 mã đề 122
- Đáp án đề thi thử Toán Hà Nội 2024 mã đề 124
- 2. Đề khảo sát Toán 12 sở Hà Nội 2024
- 3. Đề thi khảo sát chất lượng lớp 11 môn Toán Hà Nội 2024 (4 mã đề)
- 4. Đáp án đề thi khảo sát chất lượng lớp 11 môn Toán Hà Nội 2024
Đề khảo sát Toán 12 Hà Nội 2024 - Sáng 5/4, khoảng hơn 100.000 học sinh lớp 12 tại các trường phổ thông ở Hà Nội tham gia làm bài khảo sát các môn thi tốt nghiệp THPT. Sau đây là nội dung chi tiết đề khảo sát chất lượng lớp 12 môn Toán sở Hà Nội 2024 chính thức có đáp án, mời các em cùng tham khảo.
Ngoài ra, các thí sinh có thể tham khảo thêm đề khảo sát môn Văn Sở hà Nội 2024 theo đường link bên dưới:
1. Đáp án đề thi thử tốt nghiệp THTP 2024 Hà Nội
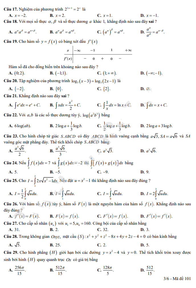
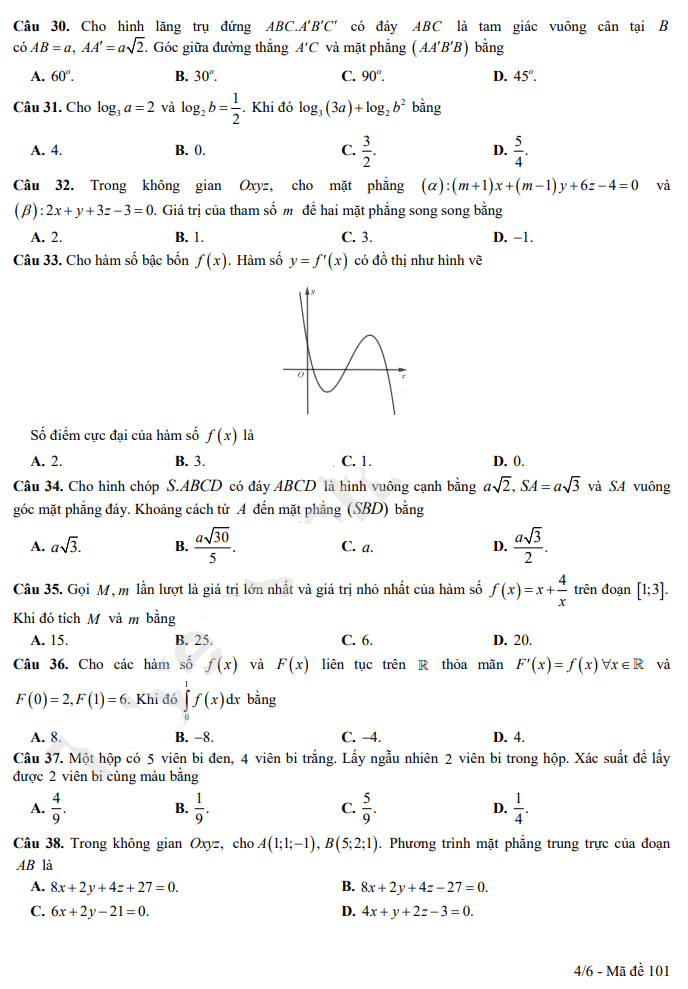
Đáp án đề Toán sở Hà Nội 2024 - mã đề 101
|
1.D |
2.A |
3.A |
4.B |
5.D |
6.B |
7.D |
8.C |
9.B |
10.C |
|
11.C |
12.D |
13.A |
14.C |
15.B |
16.C |
17.B |
18.D |
19.A |
20.D |
|
21.A |
22.A |
23.B |
24.B |
25.A |
26.A |
27.C |
28.D |
29.A |
30.D |
|
31.D |
32.A |
33.A |
34.B |
35.C |
36.C |
37.C |
38.B |
39.A |
40.A |
|
41.D |
42.A |
43.C |
44.A |
45.B |
46.B |
47.B |
48.A |
49.B |
50.D |
Đáp án đề Toán sở Hà Nội 2024 - mã đề 104
|
1.D |
2.B |
3.B |
4.C |
5.C |
6.B |
7.D |
8.C |
9.B |
10.A |
|
11.B |
12.A |
13.C |
14.C |
15.B |
16.A |
17.D |
18.A |
19.C |
20.A |
|
21.D |
22.D |
23.C |
24.A |
25.D |
26.A |
27.D |
28.D |
29.D |
30.C |
|
31.A |
32.C |
33.A |
34.C |
35.C |
36.A |
37.D |
38.A |
39.B |
40.B |
|
41.A |
42.A |
43.B |
44.C |
45.D |
46.B |
47.D |
48.C |
49.B |
50.D |
Đáp án đề Toán sở Hà Nội 2024 - mã đề 111
|
1.D |
2.D |
3.A |
4.A |
5.B |
6.D |
7.A |
8.D |
9.C |
10.C |
|
11.D |
12.B |
13.B |
14.A |
15.A |
16.C |
17.B |
18.A |
19.D |
20.A |
|
21.C |
22.C |
23.B |
24.B |
25.C |
26.D |
27.D |
28.B |
29.B |
30.A |
|
31.D |
32.D |
33.A |
34.B |
35.A |
36.B |
37.D |
38.A |
39.C |
40.B |
|
41.A |
42.C |
43.C |
44.B |
45.C |
46.C |
47.C |
48.D |
49.A |
50.D |
Đáp án đề Toán sở Hà Nội 2024 - mã đề 114
|
1.A |
2.B |
3.C |
4.B |
5.D |
6.A |
7.C |
8.D |
9.B |
10.C |
|
11.A |
12.B |
13.D |
14.A |
15.A |
16.C |
17.C |
18.A |
19.D |
20.B |
|
21.A |
22.D |
23.C |
24.B |
25.D |
26.C |
27.D |
28.D |
29.A |
30.D |
|
31.D |
32.D |
33.A |
34.C |
35.D |
36.A |
37.A |
38.C |
39.D |
40.A |
|
41.B |
42.C |
43.B |
44.A |
45.B |
46.D |
47.A |
48.A |
49.A |
50.D |
Đáp án đề Toán sở Hà Nội 2024 - mã đề 117
|
1.B |
2.B |
3.C |
4.A |
5.A |
6.B |
7.B |
8.D |
9.A |
10.B |
|
11.C |
12.D |
13.C |
14.B |
15.D |
16.C |
17.D |
18.A |
19.B |
20.C |
|
21.C |
22.A |
23.D |
24.D |
25.A |
26.C |
27.A |
28.D |
29.D |
30.D |
|
31.B |
32.D |
33.B |
34.D |
35.A |
36.D |
37.A |
38.D |
39.D |
40.B |
|
41.A |
42.B |
43.A |
44.C |
45.A |
46.A |
47.B |
48.B |
49.C |
50.D |
Đáp án đề Toán sở Hà Nội 2024 - mã đề 118
|
1.B |
2.A |
3.C |
4.A |
5.A |
6.B |
7.D |
8.C |
9.B |
10.B |
|
11.C |
12.D |
13.B |
14.D |
15.B |
16.A |
17.D |
18.A |
19.B |
20.C |
|
21.D |
22.D |
23.C |
24.B |
25.C |
26.A |
27.D |
28.C |
29.A |
30.D |
|
31.B |
32.A |
33.D |
34.B |
35.D |
36.C |
37.B |
38.D |
39.D |
40.C |
|
41.A |
42.C |
43.A |
44.C |
45.A |
46.A |
47.A |
48.B |
49.A |
50.A |
Đáp án đề thi thử Toán Hà Nội 2024 mã đề 122
|
1.A |
2.B |
3.C |
4.D |
5.B |
6.B |
7.A |
8.C |
9.B |
10.A |
|
11.D |
12.D |
13.A |
14.A |
15.B |
16.C |
17.C |
18.D |
19.D |
20.B |
|
21.C |
22.C |
23.C |
24.D |
25.A |
26.D |
27.A |
28.A |
29.C |
30.D |
|
31.D |
32.C |
33.A |
34.C |
35.B |
36.D |
37.C |
38.A |
39.B |
40.A |
|
41.A |
42.A |
43.C |
44.A |
45.D |
46.A |
47.B |
48.C |
49.B |
50.B |
Đáp án đề thi thử Toán Hà Nội 2024 mã đề 124
|
1.D |
2.D |
3.A |
4.C |
5.B |
6.D |
7.B |
8.A |
9.B |
10.D |
|
11.C |
12.C |
13.D |
14.A |
15.B |
16.C |
17.D |
18.C |
19.D |
20.A |
|
21.B |
22.B |
23.A |
24.A |
25.B |
26.D |
27.C |
28.C |
29.A |
30.B |
|
31.A |
32.D |
33.C |
34.D |
35.A |
36.D |
37.B |
38.B |
39.C |
40.B |
|
41.D |
42.A |
43.B |
44.A |
45.A |
46.C |
47.A |
48.D |
49.C |
50.C |
2. Đề khảo sát Toán 12 sở Hà Nội 2024
Đề thi thử Toán Hà Nội 2024 lớp 12 - mã đề 104






Đề thi thử Toán Hà Nội 2024 lớp 12 - mã đề 118
Xem trong file tải về.
Đề thi thử Toán Hà Nội 2024 lớp 12 - mã đề 114
Xem trong file tải về.
3. Đề thi khảo sát chất lượng lớp 11 môn Toán Hà Nội 2024 (4 mã đề)
Mời các bạn sử dụng file tải về để xem chi tiết đầy đủ đề thi khảo sát chất lượng lớp 11 môn Toán Hà Nội 2024 mã đề 101, 102, 103, 104.




4. Đáp án đề thi khảo sát chất lượng lớp 11 môn Toán Hà Nội 2024

Đáp án đề khảo sát lớp 12 môn Toán Hà Nội 2023 - mã đề 101 đến 105

Đáp án đề khảo sát lớp 12 môn Toán Hà Nội 2023 - mã đề 106-110

Đáp án đề khảo sát lớp 12 môn Toán Hà Nội 2023 - mã đề 111-115

Đáp án đề khảo sát lớp 12 môn Toán Hà Nội 2023 - mã đề 116-120

Đáp án đề khảo sát lớp 12 môn Toán Hà Nội 2023 - mã đề 121-124

Đề Toán sở Hà Nội 2023 - mã đề 110





Đề thi khảo sát lớp 12 môn Toán Hà Nội 2023 - mã đề 109






Đề thi khảo sát lớp 12 môn Toán Hà Nội 2023 - mã đề 116






Đề thi khảo sát lớp 12 môn Toán Hà Nội 2023 - mã đề 101






Đáp án đề khảo sát lớp 12 môn Toán Hà Nội
Gợi ý đáp án môn Toán mã đề 001 trong Kỳ kiểm tra khảo sát tốt nghiệp THPT 2021-2022 của Sở Giáo dục và Đào tạo Hà Nội tổ chức.

Đề thi thử Sở giáo dục Hà Nội 2022 môn Toán - mã đề 001










Đề thi thử Sở giáo dục Hà Nội 2022 môn Toán - mã đề 023






Đề thi thử Sở giáo dục Hà Nội 2022 môn Toán - mã đề 020






Mời các bạn tham khảo thêm các thông tin hữu ích khác trong nhóm Lớp 12 thuộc chuyên mục Học tập của HoaTieu.vn.
Tham khảo thêm
-
(Full) Đáp án đề tổ hợp môn Xã hội 2024
-
(Full) Đáp án tổ hợp Tự nhiên 2024
-
(Mới nhất) Đáp án đề minh họa 2025 tất cả các môn
-
Nhận định đề minh họa 2025 môn Văn
-
(Mới) Đáp án đề tham khảo 2025 môn Vật lý thi tốt nghiệp THPT Quốc gia
-
Đáp án đề minh họa 2025 Lịch Sử mới nhất
-
(Chuẩn) Đáp án đề tham khảo Văn 2025 của Bộ giáo dục
-
Chia sẻ:
Hoa Trịnh
- Ngày:
Đáp án đề Toán sở Hà Nội 2024 mới nhất
1,4 MB 23/04/2022 9:09:00 SANhiều người quan tâm
Theo Nghị định 147/2024/ND-CP, bạn cần xác thực tài khoản trước khi sử dụng tính năng này. Chúng tôi sẽ gửi mã xác thực qua SMS hoặc Zalo tới số điện thoại mà bạn nhập dưới đây:
Hướng dẫn & Hỗ trợ
Chọn một tùy chọn bên dưới để được giúp đỡ
Đề thi lớp 12 tải nhiều
-
Đề thi thử tiếng Anh Quảng Xương 1 năm 2025 có đáp án
-
Bộ đề thi đánh giá năng lực 2024 Đại học sư phạm Hà Nội
-
Bộ đề thi thử Quảng Xương 1 lần 2 2023 có đáp án tất cả các môn
-
Đề thi thử THPT quốc gia 2022 môn Toán
-
(Lần 2) Đề thi thử Văn Bắc Giang 2024 có đáp án
-
Đáp án đề thi thử THPT quốc gia 2025 môn Toán Nam Định lần 1
-
Đề thi học kì 2 lớp 12 môn Toán có đáp án trắc nghiệm file word
-
Đề thi thử tốt nghiệp THPT 2025 môn Hóa sở Cà Mau
-
(Chính thức) Đề thi thử Văn sở Thái Bình 2024 có đáp án
-
Đáp án đề thi thử Cà Mau 2023 đầy đủ các môn
Học tập tải nhiều
-
Bộ đề thi học kì 1 môn Tiếng Việt 5 năm 2025 - 2026 sách Cánh diều - Số 2
-
Kế hoạch tuyên truyền an toàn giao thông 2025 (6 Mẫu)
-
Bài tập về Câu
-
Ma trận đề thi học kì 1 môn Giáo dục Kinh tế và Pháp luật 10 (CV 7991)
-
Bộ đề thi học kì 1 Giáo dục Kinh tế và Pháp luật 11 năm 2025 - 2026 (Sách mới)
-
Đề thi học kì 1 Giáo dục Kinh tế và Pháp luật 11 Cánh diều
-
Bộ đề thi học kì 1 Giáo dục Kinh tế và Pháp luật 11 Chân trời sáng tạo
-
Bộ đề thi học kì 1 Giáo dục Kinh tế và Pháp luật 11 Kết nối tri thức
-
Bộ đề thi học kì 1 Giáo dục Kinh tế và Pháp luật 10 năm 2025 - 2026 (Sách mới)
-
Bộ đề thi học kì 1 Giáo dục Kinh tế và Pháp luật 10 Cánh diều
Bài viết hay Đề thi lớp 12
-
Đáp án đề Toán sở Hà Nội 2024 mới nhất
-
(Có ma trận, đáp án) Đề thi giữa kì 2 Tin 12 Cánh Diều
-
Đề thi khảo sát tốt nghiệp THPT môn Tiếng Anh 2023 Hà Nội
-
Đề thi giữa kì 1 Tiếng Anh 12 Global Success
-
Đề thi giữa kì 2 Vật lí 12 Chân trời sáng tạo 2025
-
(Chuẩn cấu trúc) Đề thi học kì 1 Tin học 12 Cánh Diều