Đóng
Chỉ thành viên Hoatieu Pro tải được nội dung này!
Hoatieu Pro - Tải nhanh, website không quảng cáo!
Tìm hiểu thêm
Mua Hoatieu Pro 99.000đ
Bạn đã mua gói? Đăng nhập ngay!
Bài viết hay Đề thi lớp 12
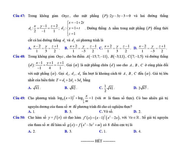
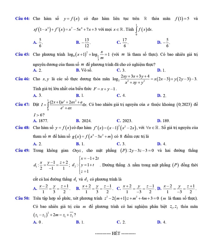
-
Đề tham khảo ôn thi giữa kì 1 Toán 12 sách mới
-
Đề ôn tập cuối kì 2 Vật lí 12 Kết nối tri thức (Có đáp án)
-
Ma trận đề thi cuối kì 1 Lịch sử 12 CV 7991
-
Đề khảo sát chất lượng học kì 1 Ngữ văn 12 Nam Định 2025
-
Suy nghĩ về sự cần thiết phải biết cân bằng cảm xúc trong cuộc sống
-
Đề thi giữa học kì 2 môn Hóa lớp 12 sách Chân trời sáng tạo theo CV 7991
































