Đáp án chi tiết đề thi THPT quốc gia môn Toán 2025 (Full 24 mã đề)
Mua tài khoản Hoatieu Pro để trải nghiệm website Hoatieu.vn KHÔNG quảng cáo & Tải nhanh File chỉ từ 99.000đ. Tìm hiểu thêm »
Đáp án đề Toán THPT 2025 chi tiết
- Hướng dẫn giải chi tiết đề Toán THPT 2025
- Đáp án Toán THPT 2025 chính thức
- Đáp án đề thi Toán thpt quốc gia 2025 mã đề 101
- Đáp án đề thi Toán thpt quốc gia 2025 mã đề 102
- Đáp án đề thi Toán thpt quốc gia 2025 mã đề 103
- Đáp án đề thi Toán thpt quốc gia 2025 mã đề 104
- Đáp án đề thi Toán thpt quốc gia 2025 mã đề 105
- Đáp án đề thi Toán thpt quốc gia 2025 mã đề 106
- Đáp án đề thi Toán thpt quốc gia 2025 mã đề 107
- Đáp án đề thi Toán thpt quốc gia 2025 mã đề 108
- Đáp án đề thi Toán thpt quốc gia 2025 mã đề 109
- Đáp án đề thi Toán thpt quốc gia 2025 mã đề 110
- Đáp án đề thi Toán thpt quốc gia 2025 mã đề 111
- Đáp án đề thi Toán thpt quốc gia 2025 mã đề 112
- Đáp án đề thi Toán thpt quốc gia 2024 mã đề 113
- Đáp án đề thi Toán thpt quốc gia 2025 mã đề 114
- Đáp án đề thi Toán thpt quốc gia 2025 mã đề 115
- Đáp án đề thi Toán thpt quốc gia 2025 mã đề 116
- Đáp án đề thi Toán thpt quốc gia 2025 mã đề 117
- Đáp án đề thi Toán thpt quốc gia 2025 mã đề 118
- Đáp án đề thi Toán thpt quốc gia 2025 mã đề 119
- Đáp án đề thi Toán thpt quốc gia 2025 mã đề 120
- Đáp án đề thi Toán thpt quốc gia 2025 mã đề 121
- Đáp án đề thi Toán thpt quốc gia 2025 mã đề 122
- Đáp án đề thi Toán thpt quốc gia 2025 mã đề 123
- Đáp án đề thi Toán thpt quốc gia 2025 mã đề 124 FULL
- Đề thi Toán THPT Quốc gia 2025
- Đáp án Giải chi tiết đề Toán THPT 2024
- Đề thi Toán THPT 2024
- Đã có đáp án giải chi tiết đề Toán THPT 2023
- Đề Toán THPT quốc gia 2023 chính thức
- Đề thi THPT quốc gia 2022 môn Toán
- Đề thi THPT quốc gia 2021 môn Toán
Đáp án chi tiết đề thi THPT quốc gia 2025 mônToán - Kì thi tốt nghiệp THPT 2025 chính thức tổ chức từ ngày 25/6/2025. Vào chiều ngày 26/6/2025, các thí sinh trên cả nước sẽ tham gia dự thi môn Toán tốt nghiệp THPT 2025 với hình thức trắc nghiệm trong thời gian 90 phút. Nhằm giúp các bạn học sinh tra cứu đáp án môn Toán THPT quốc gia 2025 nhanh và chính xác nhất, Hoatieu xin chia sẻ đề thi chính thức môn Toán THPT Quốc gia 2025 kèm theo gợi ý giải chi tiết 24 mã đề Toán 2025 ngay khi thời gian làm bài kết thúc. Các bạn nhấn F5 để cập nhật đáp án mới nhất!
- Đáp án đề minh họa 2025 tất cả các môn
- Đáp án môn Địa lý THPT quốc gia 2025
- Đáp án đề Hóa thi THPT quốc gia 2025
Sau đây là chi tiết đề thi THPT 2025 môn Toán cùng với hướng dẫn bài giải chi tiết, mời các bạn cùng tham khảo.
Hướng dẫn giải chi tiết đề Toán THPT 2025
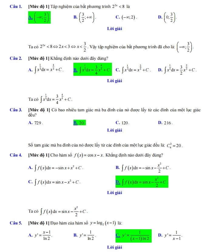
Gợi ý giải chi tiết đề Toán THPT 2025 (mã đề 101)



>> Xem tiếp trong file tải về.
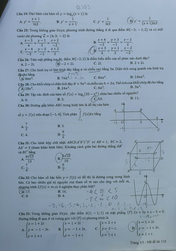
Gợi ý giải chi tiết đề Toán THPT 2025 (mã đề 0122)
Câu 5: Bạn Nam tham gia cuộc thi giải một mật thư. Theo quy tắc của cuộc thi, người chơi cần chọn ra sáu số từ tập S={21;22;23;24;25;26;27;28;29} và xếp mỗi số vào một vị trí trong sáu vị trí A,B,C,M,N,P như hình bên sao cho mỗi vị trí được gán một số. Mật thư sẽ được giải nếu các bộ ba số xuất hiện ở ba bộ ba vị trí (A,M,B),(B,N,C),(C,P,A) tạo thành các cấp số cộng. Bạn Nam chọn ngẫu nhiên sáu số trong tập S và ngẫu nhiên vào các vị trí được yêu cầu. Gọi xác suất bạn Nam giải được mật thư ở lần chọn và xếp đó là a. Giá trị của 2/a bằng bao nhiêu?


Câu 6: Có bốn ngăn (trong một giá để sách) được đánh số thứ tự 1, 2, 3, 4 và tám quyển sách khác nhau. Bạn An xếp mỗi quyển sách vào một ngăn sao cho mỗi ngăn có ít nhất một quyển sách và các quyển sách được xếp thẳng đứng thành một hàng ngang với quy ước sách quay ra ngoài (nên vị trí các quyển sách trong ngăn là khác nhau), mỗi cách xếp của bạn An được gọi là một cách xếp nếu thỏa mãn đồng thời hai điều kiện sau đây:
- Với từng ngăn, số lượng quyển sách trong đó là như nhau trong cả hai cách xếp;
- Với từng ngăn, từ trái sang phải các quyển sách được xếp là như nhau trong cả hai cách xếp.
Gọi T là số cách xếp đôi một khác nhau của bạn An. Giá trị của T/600 bằng bao nhiêu?

Đáp án Toán THPT 2025 chính thức

Đáp án đề thi Toán thpt quốc gia 2025 mã đề 101
|
Mã đề 0101 - Môn Toán |
|||||||||||
|
Phần I: Trắc nghiệm nhiều phương án lựa chọn |
|
|
|||||||||
|
1.C |
2.C |
3.C |
4.D |
5.A |
6.C |
7.D |
8.B |
9.A |
10.C |
11.B |
12.D |
|
|
|
|
|
|
|
|
|
|
|
|
|
|
Phần II: Trắc nghiệm đúng sai |
|
|
|
|
|
|
|||||
|
Câu |
1 |
2 |
3 |
4 |
|
|
|
|
|
|
|
|
Đáp án |
ĐSSS |
ĐSĐS |
ĐSĐS |
ĐĐSĐ |
|
|
|
|
|
|
|
|
|
|
|
|
|
|
|
|
|
|
|
|
|
Phần III: Trắc nghiệm trả lời ngắn |
|
|
|
|
|
|
|||||
|
Câu |
1 |
2 |
3 |
4 |
5 |
6 |
|
|
|
|
|
|
Đáp án |
1260 |
1536 |
2650 |
1,04 |
1008 |
96,5 |
|
|
|
|
|
Đáp án đề thi Toán thpt quốc gia 2025 mã đề 102
|
Mã đề 0102 - Môn Toán |
|||||||||||
|
Phần I: Trắc nghiệm nhiều phương án lựa chọn |
|
|
|||||||||
|
1.D |
2.C |
3.A |
4.D |
5.B |
6.A |
7.C |
8.B |
9.A |
10.C |
11.B |
12.A |
|
|
|
|
|
|
|
|
|
|
|
|
|
|
Phần II: Trắc nghiệm đúng sai |
|
|
|
|
|
|
|||||
|
Câu |
1 |
2 |
3 |
4 |
|
|
|
|
|
|
|
|
Đáp án |
ĐSĐĐ |
ĐSSS |
ĐĐSS |
ĐSSĐ |
|
|
|
|
|
|
|
|
|
|
|
|
|
|
|
|
|
|
|
|
|
Phần III: Trắc nghiệm trả lời ngắn |
|
|
|
|
|
|
|||||
|
Câu |
1 |
2 |
3 |
4 |
5 |
6 |
|
|
|
|
|
|
Đáp án |
95,9 |
1092 |
2520 |
2975 |
2352 |
0,85 |
|
|
|
|
|
Đáp án đề thi Toán thpt quốc gia 2025 mã đề 103
|
Mã đề 0103 - Môn Toán |
|||||||||||
|
Phần I: Trắc nghiệm nhiều phương án lựa chọn |
|
|
|||||||||
|
1.B |
2.A |
3.C |
4.B |
5.B |
6.A |
7.B |
8.D |
9.C |
10.C |
11.D |
12.B |
|
|
|
|
|
|
|
|
|
|
|
|
|
|
Phần II: Trắc nghiệm đúng sai |
|
|
|
|
|
|
|||||
|
Câu |
1 |
2 |
3 |
4 |
|
|
|
|
|
|
|
|
Đáp án |
ĐSSĐ |
ĐSSS |
ĐSĐĐ |
ĐSSĐ |
|
|
|
|
|
|
|
|
|
|
|
|
|
|
|
|
|
|
|
|
|
Phần III: Trắc nghiệm trả lời ngắn |
|
|
|
|
|
|
|||||
|
Câu |
1 |
2 |
3 |
4 |
5 |
6 |
|
|
|
|
|
|
Đáp án |
1808 |
2016 |
3780 |
2,08 |
2150 |
95,3 |
|
|
|
|
|
Đáp án đề thi Toán thpt quốc gia 2025 mã đề 104
|
Mã đề 0104 - Môn Toán |
|||||||||||
|
Phần I: Trắc nghiệm nhiều phương án lựa chọn |
|
|
|||||||||
|
1.A |
2.C |
3.C |
4.A |
5.C |
6.B |
7.C |
8.D |
9.B |
10.A |
11.A |
12.D |
|
Phần II: Trắc nghiệm đúng sai |
|
|
|
|
|
|
|||||
|
Câu |
1 |
2 |
3 |
4 |
|
|
|
|
|
|
|
|
Đáp án |
ĐSĐĐ |
ĐSĐS |
ĐSSS |
ĐĐSS |
|
|
|
|
|
|
|
|
|
|
|
|
|
|
|
|
|
|
|
|
|
Phần III: Trắc nghiệm trả lời ngắn |
|
|
|
|
|
|
|||||
|
Câu |
1 |
2 |
3 |
4 |
5 |
6 |
|
|
|
|
|
|
Đáp án |
3528 |
3150 |
5040 |
2,55 |
94,7 |
1347 |
|
|
|
|
|
Đáp án đề thi Toán thpt quốc gia 2025 mã đề 105
|
Mã đề 0105 - Môn Toán |
|||||||||||
|
Phần I: Trắc nghiệm nhiều phương án lựa chọn |
|
|
|||||||||
|
1.A |
2.C |
3.D |
4.A |
5.B |
6.B |
7.D |
8.D |
9.A |
10.D |
11.C |
12.A |
|
|
|
|
|
|
|
|
|
|
|
|
|
|
Phần II: Trắc nghiệm đúng sai |
|
|
|
|
|
|
|||||
|
Câu |
1 |
2 |
3 |
4 |
|
|
|
|
|
|
|
|
Đáp án |
ĐSĐS |
ĐSĐS |
ĐĐSĐ |
ĐSSS |
|
|
|
|
|
|
|
|
|
|
|
|
|
|
|
|
|
|
|
|
|
Phần III: Trắc nghiệm trả lời ngắn |
|
|
|
|
|
|
|||||
|
Câu |
1 |
2 |
3 |
4 |
5 |
6 |
|
|
|
|
|
|
Đáp án |
1260 |
1536 |
1,04 |
2650 |
1008 |
96,5 |
|
|
|
|
|
Đáp án đề thi Toán thpt quốc gia 2025 mã đề 106
|
Mã đề 0106 - Môn Toán |
|||||||||||
|
Phần I: Trắc nghiệm nhiều phương án lựa chọn |
|
|
|||||||||
|
1.D |
2.B |
3.B |
4.C |
5.D |
6.A |
7.B |
8.B |
9.D |
10.B |
11.D |
12.A |
|
|
|
|
|
|
|
|
|
|
|
|
|
|
Phần II: Trắc nghiệm đúng sai |
|
|
|
|
|
|
|||||
|
Câu |
1 |
2 |
3 |
4 |
|
|
|
|
|
|
|
|
Đáp án |
ĐSSS |
ĐSĐĐ |
ĐĐSS |
ĐSSĐ |
|
|
|
|
|
|
|
|
|
|
|
|
|
|
|
|
|
|
|
|
|
Phần III: Trắc nghiệm trả lời ngắn |
|
|
|
|
|
|
|||||
|
Câu |
1 |
2 |
3 |
4 |
5 |
6 |
|
|
|
|
|
|
Đáp án |
95,9 |
2352 |
0,85 |
1092 |
2520 |
2975 |
|
|
|
|
|
Đáp án đề thi Toán thpt quốc gia 2025 mã đề 107
|
Mã đề 107 - Môn Toán |
|||||||||||
|
Phần I: Trắc nghiệm nhiều phương án lựa chọn |
|
|
|||||||||
|
1.C |
2.D |
3.A |
4.D |
5.A |
6.B |
7.B |
8.D |
9.B |
10.D |
11.B |
12.B |
|
|
|
|
|
|
|
|
|
|
|
|
|
|
Phần II: Trắc nghiệm đúng sai |
|
|
|
|
|
|
|||||
|
Câu |
1 |
2 |
3 |
4 |
|
|
|
|
|
|
|
|
Đáp án |
ĐSSĐ |
ĐSSS |
ĐSĐĐ |
ĐSSĐ |
|
|
|
|
|
|
|
|
|
|
|
|
|
|
|
|
|
|
|
|
|
Phần III: Trắc nghiệm trả lời ngắn |
|
|
|
|
|
|
|||||
|
Câu |
1 |
2 |
3 |
4 |
5 |
6 |
|
|
|
|
|
|
Đáp án |
95,3 |
1808 |
3780 |
2,08 |
2150 |
2016 |
|
|
|
|
|
Đáp án đề thi Toán thpt quốc gia 2025 mã đề 108
|
Mã đề 108 - Môn Toán |
|||||||||||
|
Phần I: Trắc nghiệm nhiều phương án lựa chọn |
|
|
|||||||||
|
1.B |
2.B |
3.B |
4.D |
5.D |
6.B |
7.A |
8.B |
9.B |
10.A |
11.C |
12.B |
|
|
|
|
|
|
|
|
|
|
|
|
|
|
Phần II: Trắc nghiệm đúng sai |
|
|
|
|
|
|
|||||
|
Câu |
1 |
2 |
3 |
4 |
|
|
|
|
|
|
|
|
Đáp án |
ĐSSS |
ĐSĐĐ |
ĐSĐS |
ĐĐSS |
|
|
|
|
|
|
|
|
|
|
|
|
|
|
|
|
|
|
|
|
|
Phần III: Trắc nghiệm trả lời ngắn |
|
|
|
|
|
|
|||||
|
Câu |
1 |
2 |
3 |
4 |
5 |
6 |
|
|
|
|
|
|
Đáp án |
94,7 |
3150 |
3528 |
5040 |
1347 |
2,55 |
|
|
|
|
|
Đáp án đề thi Toán thpt quốc gia 2025 mã đề 109
|
Mã đề 109 - Môn Toán |
|||||||||||
|
Phần I: Trắc nghiệm nhiều phương án lựa chọn |
|
|
|||||||||
|
1.D |
2.D |
3.D |
4.B |
5.D |
6.D |
7.B |
8.C |
9.D |
10.B |
11.D |
12.D |
|
|
|
|
|
|
|
|
|
|
|
|
|
|
Phần II: Trắc nghiệm đúng sai |
|
|
|
|
|
|
|||||
|
Câu |
1 |
2 |
3 |
4 |
|
|
|
|
|
|
|
|
Đáp án |
ĐSĐS |
ĐSĐS |
ĐSSS |
ĐĐSĐ |
|
|
|
|
|
|
|
|
|
|
|
|
|
|
|
|
|
|
|
|
|
Phần III: Trắc nghiệm trả lời ngắn |
|
|
|
|
|
|
|||||
|
Câu |
1 |
2 |
3 |
4 |
5 |
6 |
|
|
|
|
|
|
Đáp án |
2650 |
1008 |
1,04 |
1260 |
1536 |
96,5 |
|
|
|
|
|
Đáp án đề thi Toán thpt quốc gia 2025 mã đề 110
|
Mã đề 0110 - Môn Toán |
|||||||||||
|
Phần I: Trắc nghiệm nhiều phương án lựa chọn |
|
|
|||||||||
|
1.A |
2.B |
3.D |
4.A |
5.B |
6.A |
7.C |
8.C |
9.D |
10.B |
11.A |
12.D |
|
|
|
|
|
|
|
|
|
|
|
|
|
|
Phần II: Trắc nghiệm đúng sai |
|
|
|
|
|
|
|||||
|
Câu |
1 |
2 |
3 |
4 |
|
|
|
|
|
|
|
|
Đáp án |
ĐSSS |
ĐSĐĐ |
ĐĐSS |
ĐSSĐ |
|
|
|
|
|
|
|
|
|
|
|
|
|
|
|
|
|
|
|
|
|
Phần III: Trắc nghiệm trả lời ngắn |
|
|
|
|
|
|
|||||
|
Câu |
1 |
2 |
3 |
4 |
5 |
6 |
|
|
|
|
|
|
Đáp án |
95,9 |
2352 |
1092 |
2975 |
0,85 |
2520 |
|
|
|
|
|
Đáp án đề thi Toán thpt quốc gia 2025 mã đề 111
|
Mã đề 111 - Môn Toán |
|||||||||||
|
Phần I: Trắc nghiệm nhiều phương án lựa chọn |
|
|
|||||||||
|
1.B |
2.A |
3.B |
4.C |
5.B |
6.A |
7.B |
8.B |
9.A |
10.D |
11.D |
12.A |
|
|
|
|
|
|
|
|
|
|
|
|
|
|
Phần II: Trắc nghiệm đúng sai |
|
|
|
|
|
|
|||||
|
Câu |
1 |
2 |
3 |
4 |
|
|
|
|
|
|
|
|
Đáp án |
ĐSSĐ |
ĐSĐĐ |
ĐSSĐ |
ĐSSS |
|
|
|
|
|
|
|
|
|
|
|
|
|
|
|
|
|
|
|
|
|
Phần III: Trắc nghiệm trả lời ngắn |
|
|
|
|
|
|
|||||
|
Câu |
1 |
2 |
3 |
4 |
5 |
6 |
|
|
|
|
|
|
Đáp án |
1808 |
95,3 |
3780 |
2,08 |
2150 |
2016 |
|
|
|
|
|
Đáp án đề thi Toán thpt quốc gia 2025 mã đề 112
|
Mã đề 0112 - Môn Toán |
|||||||||||
|
Phần I: Trắc nghiệm nhiều phương án lựa chọn |
|
|
|||||||||
|
1.D |
2.B |
3.D |
4.A |
5.A |
6.C |
7.B |
8.C |
9.B |
10.A |
11.A |
12.B |
|
|
|
|
|
|
|
|
|
|
|
|
|
|
Phần II: Trắc nghiệm đúng sai |
|
|
|
|
|
|
|||||
|
Câu |
1 |
2 |
3 |
4 |
|
|
|
|
|
|
|
|
Đáp án |
ĐSSS |
ĐSĐĐ |
ĐSĐS |
ĐĐSS |
|
|
|
|
|
|
|
|
|
|
|
|
|
|
|
|
|
|
|
|
|
Phần III: Trắc nghiệm trả lời ngắn |
|
|
|
|
|
|
|||||
|
Câu |
1 |
2 |
3 |
4 |
5 |
6 |
|
|
|
|
|
|
Đáp án |
3528 |
3150 |
2,55 |
94,7 |
1347 |
5040 |
|
|
|
|
|
Đáp án đề thi Toán thpt quốc gia 2024 mã đề 113
|
Mã đề 0113 - Môn Toán |
|||||||||||
|
Phần I: Trắc nghiệm nhiều phương án lựa chọn |
|
|
|||||||||
|
1.A |
2.B |
3.B |
4.A |
5.C |
6.D |
7.B |
8.B |
9.B |
10.D |
11.B |
12.A |
|
|
|
|
|
|
|
|
|
|
|
|
|
|
Phần II: Trắc nghiệm đúng sai |
|
|
|
|
|
|
|||||
|
Câu |
1 |
2 |
3 |
4 |
|
|
|
|
|
|
|
|
Đáp án |
ĐĐSĐ |
ĐSĐS |
ĐSSS |
ĐSĐS |
|
|
|
|
|
|
|
|
|
|
|
|
|
|
|
|
|
|
|
|
|
Phần III: Trắc nghiệm trả lời ngắn |
|
|
|
|
|
|
|||||
|
Câu |
1 |
2 |
3 |
4 |
5 |
6 |
|
|
|
|
|
|
Đáp án |
1260 |
1,04 |
1008 |
96,5 |
1536 |
2650 |
|
|
|
|
|
Đáp án đề thi Toán thpt quốc gia 2025 mã đề 114
|
Mã đề 0114 - Môn Toán |
|||||||||||
|
Phần I: Trắc nghiệm nhiều phương án lựa chọn |
|
|
|||||||||
|
1.B |
2.B |
3.C |
4.D |
5.A |
6.A |
7.B |
8.D |
9.A |
10.C |
11.B |
12.B |
|
|
|
|
|
|
|
|
|
|
|
|
|
|
Phần II: Trắc nghiệm đúng sai |
|
|
|
|
|
|
|||||
|
Câu |
1 |
2 |
3 |
4 |
|
|
|
|
|
|
|
|
Đáp án |
ĐSSĐ |
ĐSSS |
ĐĐSS |
ĐSĐĐ |
|
|
|
|
|
|
|
|
|
|
|
|
|
|
|
|
|
|
|
|
|
Phần III: Trắc nghiệm trả lời ngắn |
|
|
|
|
|
|
|||||
|
Câu |
1 |
2 |
3 |
4 |
5 |
6 |
|
|
|
|
|
|
Đáp án |
95,9 |
2352 |
1092 |
0,85 |
2975 |
2520 |
|
|
|
|
|
Đáp án đề thi Toán thpt quốc gia 2025 mã đề 115
|
Mã đề 0115 - Môn Toán |
|||||||||||
|
Phần I: Trắc nghiệm nhiều phương án lựa chọn |
|
|
|||||||||
|
1.A |
2.A |
3.D |
4.C |
5.B |
6.A |
7.D |
8.C |
9.B |
10.A |
11.B |
12.B |
|
|
|
|
|
|
|
|
|
|
|
|
|
|
Phần II: Trắc nghiệm đúng sai |
|
|
|
|
|
|
|||||
|
Câu |
1 |
2 |
3 |
4 |
|
|
|
|
|
|
|
|
Đáp án |
ĐSSĐ |
ĐSSĐ |
ĐSĐĐ |
ĐSSS |
|
|
|
|
|
|
|
|
|
|
|
|
|
|
|
|
|
|
|
|
|
Phần III: Trắc nghiệm trả lời ngắn |
|
|
|
|
|
|
|||||
|
Câu |
1 |
2 |
3 |
4 |
5 |
6 |
|
|
|
|
|
|
Đáp án |
3780 |
2150 |
95,3 |
2,08 |
2016 |
1808 |
|
|
|
|
|
Đáp án đề thi Toán thpt quốc gia 2025 mã đề 116
|
Mã đề 0116 - Môn Toán |
|||||||||||
|
Phần I: Trắc nghiệm nhiều phương án lựa chọn |
|
|
|||||||||
|
1.B |
2.C |
3.A |
4.C |
5.B |
6.A |
7.D |
8.B |
9.A |
10.D |
11.B |
12.B |
|
|
|
|
|
|
|
|
|
|
|
|
|
|
Phần II: Trắc nghiệm đúng sai |
|
|
|
|
|
|
|||||
|
Câu |
1 |
2 |
3 |
4 |
|
|
|
|
|
|
|
|
Đáp án |
ĐSSS |
ĐSĐĐ |
ĐSĐS |
ĐĐSS |
|
|
|
|
|
|
|
|
|
|
|
|
|
|
|
|
|
|
|
|
|
Phần III: Trắc nghiệm trả lời ngắn |
|
|
|
|
|
|
|||||
|
Câu |
1 |
2 |
3 |
4 |
5 |
6 |
|
|
|
|
|
|
Đáp án |
3528 |
3150 |
2,55 |
94,7 |
1347 |
5040 |
|
|
|
|
|
Đáp án đề thi Toán thpt quốc gia 2025 mã đề 117
|
Mã đề 0117 - Môn Toán |
|||||||||||
|
Phần I: Trắc nghiệm nhiều phương án lựa chọn |
|
|
|||||||||
|
1.C |
2.C |
3.D |
4.A |
5.A |
6.A |
7.D |
8.B |
9.A |
10.C |
11.C |
12.D |
|
|
|
|
|
|
|
|
|
|
|
|
|
|
Phần II: Trắc nghiệm đúng sai |
|
|
|
|
|
|
|||||
|
Câu |
1 |
2 |
3 |
4 |
|
|
|
|
|
|
|
|
Đáp án |
ĐĐSĐ |
ĐSĐS |
ĐSĐS |
ĐSSS |
|
|
|
|
|
|
|
|
|
|
|
|
|
|
|
|
|
|
|
|
|
Phần III: Trắc nghiệm trả lời ngắn |
|
|
|
|
|
|
|||||
|
Câu |
1 |
2 |
3 |
4 |
5 |
6 |
|
|
|
|
|
|
Đáp án |
1536 |
1,04 |
96,5 |
1008 |
1260 |
2650 |
|
|
|
|
|
Đáp án đề thi Toán thpt quốc gia 2025 mã đề 118
|
Mã đề 0118 - Môn Toán |
|||||||||||
|
Phần I: Trắc nghiệm nhiều phương án lựa chọn |
|
|
|||||||||
|
1.C |
2.C |
3.A |
4.B |
5.D |
6.D |
7.C |
8.D |
9.D |
10.D |
11.C |
12.B |
|
|
|
|
|
|
|
|
|
|
|
|
|
|
Phần II: Trắc nghiệm đúng sai |
|
|
|
|
|
|
|||||
|
Câu |
1 |
2 |
3 |
4 |
|
|
|
|
|
|
|
|
Đáp án |
ĐSSS |
ĐSĐĐ |
ĐĐSS |
ĐSSĐ |
|
|
|
|
|
|
|
|
|
|
|
|
|
|
|
|
|
|
|
|
|
Phần III: Trắc nghiệm trả lời ngắn |
|
|
|
|
|
|
|||||
|
Câu |
1 |
2 |
3 |
4 |
5 |
6 |
|
|
|
|
|
|
Đáp án |
1092 |
2352 |
2975 |
0,85 |
95,9 |
2520 |
|
|
|
|
|
Đáp án đề thi Toán thpt quốc gia 2025 mã đề 119
|
Mã đề 0119 - Môn Toán |
|||||||||||
|
Phần I: Trắc nghiệm nhiều phương án lựa chọn |
|
|
|||||||||
|
1.C |
2.C |
3.D |
4.A |
5.A |
6.A |
7.A |
8.A |
9.D |
10.D |
11.C |
12.A |
|
|
|
|
|
|
|
|
|
|
|
|
|
|
Phần II: Trắc nghiệm đúng sai |
|
|
|
|
|
|
|||||
|
Câu |
1 |
2 |
3 |
4 |
|
|
|
|
|
|
|
|
Đáp án |
ĐSSĐ |
ĐSĐĐ |
ĐSSĐ |
ĐSSS |
|
|
|
|
|
|
|
|
|
|
|
|
|
|
|
|
|
|
|
|
|
Phần III: Trắc nghiệm trả lời ngắn |
|
|
|
|
|
|
|||||
|
Câu |
1 |
2 |
3 |
4 |
5 |
6 |
|
|
|
|
|
|
Đáp án |
3780 |
95,3 |
2,08 |
2150 |
2016 |
1808 |
|
|
|
|
|
Đáp án đề thi Toán thpt quốc gia 2025 mã đề 120
|
Mã đề 0120 - Môn Toán |
|||||||||||
|
Phần I: Trắc nghiệm nhiều phương án lựa chọn |
|
|
|||||||||
|
1.C |
2.A |
3.A |
4.A |
5.B |
6.D |
7.A |
8.A |
9.C |
10.B |
11.A |
12.D |
|
|
|
|
|
|
|
|
|
|
|
|
|
|
Phần II: Trắc nghiệm đúng sai |
|
|
|
|
|
|
|||||
|
Câu |
1 |
2 |
3 |
4 |
|
|
|
|
|
|
|
|
Đáp án |
ĐSSS |
ĐSĐĐ |
ĐSĐS |
ĐĐSS |
|
|
|
|
|
|
|
|
|
|
|
|
|
|
|
|
|
|
|
|
|
Phần III: Trắc nghiệm trả lời ngắn |
|
|
|
|
|
|
|||||
|
Câu |
1 |
2 |
3 |
4 |
5 |
6 |
|
|
|
|
|
|
Đáp án |
5040 |
3150 |
2,55 |
3528 |
1347 |
94,7 |
|
|
|
|
|
Đáp án đề thi Toán thpt quốc gia 2025 mã đề 121
|
Mã đề 121 - Môn Toán |
|||||||||||
|
Phần I: Trắc nghiệm nhiều phương án lựa chọn |
|
|
|||||||||
|
1.A |
2.D |
3.A |
4.C |
5.B |
6.C |
7.B |
8.A |
9.D |
10.A |
11.C |
12.A |
|
|
|
|
|
|
|
|
|
|
|
|
|
|
Phần II: Trắc nghiệm đúng sai |
|
|
|
|
|
|
|||||
|
Câu |
1 |
2 |
3 |
4 |
|
|
|
|
|
|
|
|
Đáp án |
ĐSSS |
ĐSĐS |
ĐĐSĐ |
ĐSĐS |
|
|
|
|
|
|
|
|
|
|
|
|
|
|
|
|
|
|
|
|
|
Phần III: Trắc nghiệm trả lời ngắn |
|
|
|
|
|
|
|||||
|
Câu |
1 |
2 |
3 |
4 |
5 |
6 |
|
|
|
|
|
|
Đáp án |
1260 |
1536 |
96,5 |
1008 |
2650 |
1,04 |
|
|
|
|
|
Đáp án đề thi Toán thpt quốc gia 2025 mã đề 122
|
Mã đề 0122 - Môn Toán |
|||||||||||
|
Phần I: Trắc nghiệm nhiều phương án lựa chọn |
|
|
|||||||||
|
1.C |
2.D |
3.A |
4.A |
5.C |
6.C |
7.A |
8.C |
9.A |
10.A |
11.D |
12.B |
|
|
|
|
|
|
|
|
|
|
|
|
|
|
Phần II: Trắc nghiệm đúng sai |
|
|
|
|
|
|
|||||
|
Câu |
1 |
2 |
3 |
4 |
|
|
|
|
|
|
|
|
Đáp án |
ĐSSS |
ĐSĐĐ |
ĐĐSS |
ĐSSĐ |
|
|
|
|
|
|
|
|
|
|
|
|
|
|
|
|
|
|
|
|
|
Phần III: Trắc nghiệm trả lời ngắn |
|
|
|
|
|
|
|||||
|
Câu |
1 |
2 |
3 |
4 |
5 |
6 |
|
|
|
|
|
|
Đáp án |
0,85 |
1092 |
95,9 |
2975 |
2520 |
2352 |
|
|
|
|
|
Đáp án đề thi Toán thpt quốc gia 2025 mã đề 123
|
Mã đề 0123 - Môn Toán |
|||||||||||
|
Phần I: Trắc nghiệm nhiều phương án lựa chọn |
|
|
|||||||||
|
1.D |
2.D |
3.C |
4.D |
5.D |
6.D |
7.B |
8.B |
9.B |
10.B |
11.D |
12.C |
|
|
|
|
|
|
|
|
|
|
|
|
|
|
Phần II: Trắc nghiệm đúng sai |
|
|
|
|
|
|
|||||
|
Câu |
1 |
2 |
3 |
4 |
|
|
|
|
|
|
|
|
Đáp án |
ĐSSS |
ĐSĐĐ |
ĐSSĐ |
ĐSSĐ |
|
|
|
|
|
|
|
|
|
|
|
|
|
|
|
|
|
|
|
|
|
Phần III: Trắc nghiệm trả lời ngắn |
|
|
|
|
|
|
|||||
|
Câu |
1 |
2 |
3 |
4 |
5 |
6 |
|
|
|
|
|
|
Đáp án |
2016 |
95,3 |
2,08 |
2150 |
3780 |
1808 |
|
|
|
|
|
Đáp án đề thi Toán thpt quốc gia 2025 mã đề 124 FULL
|
Mã đề 124 - Môn Toán |
|||||||||||
|
Phần I: Trắc nghiệm nhiều phương án lựa chọn |
|
|
|||||||||
|
1.B |
2.B |
3.D |
4.B |
5.B |
6.A |
7.D |
8.B |
9.D |
10.A |
11.D |
12.C |
|
|
|
|
|
|
|
|
|
|
|
|
|
|
Phần II: Trắc nghiệm đúng sai |
|
|
|
|
|
|
|||||
|
Câu |
1 |
2 |
3 |
4 |
|
|
|
|
|
|
|
|
Đáp án |
ĐSSS |
ĐĐSS |
ĐSĐS |
ĐSĐĐ |
|
|
|
|
|
|
|
|
|
|
|
|
|
|
|
|
|
|
|
|
|
Phần III: Trắc nghiệm trả lời ngắn |
|
|
|
|
|
|
|||||
|
Câu |
1 |
2 |
3 |
4 |
5 |
6 |
|
|
|
|
|
|
Đáp án |
5040 |
2,55 |
3150 |
3528 |
1347 |
94,7 |
|
|
|
|
|
Đề thi Toán THPT Quốc gia 2025




Đáp án Giải chi tiết đề Toán THPT 2024





Xem thêm trong file tải về.
Đề thi Toán THPT 2024

Đã có đáp án giải chi tiết đề Toán THPT 2023
Lưu ý: Do file đáp án chi tiết Toán THPT 2023 rất dài, mời các bạn sử dụng file tải về trong bài hoặc tải Tại đây để xem chi tiết.





................................
Xem thêm trong file tải về.
Công bố đáp án Toán THPT 2023 chính thức
Sau đây là đáp án chính thức 24 mã đề Toán THPT quốc gia 2023, mời các bạn cùng tham khảo.

Đề Toán THPT quốc gia 2023 chính thức





Đã có hướng dẫn giải chi tiết đề Toán THPT quốc gia 2022
Dưới đây là đáp án chi tiết đề Toán THPT quốc gia 2022 các mã đề 101; 102; 103; 104. Do file giải có dung lượng lớn nên để xem chi tiết đầy đủ đáp án chi tiết đề Toán THPT quốc gia 2022 mời các bạn sử dụng file tải về hoặc tải Tại Đây.


Đề thi THPT quốc gia 2022 môn Toán
Mã đề 104



Mã đề 112





Mã đề 124





Đề thi THPT quốc gia 2021 môn Toán





Mời các bạn tham khảo thêm các thông tin hữu ích khác trên chuyên mục Học tập - Thi THPT Quốc Gia của HoaTieu.vn.
Tham khảo thêm
-
Đáp án đề minh họa 2025 Lịch Sử mới nhất
-
Đáp án đề minh họa Sinh 2025 (mới nhất)
-
Đáp án môn Tiếng Anh THPT Quốc gia 2025 (full Mã đề)
-
(Mới) Đáp án đề tham khảo 2025 môn Vật lý thi tốt nghiệp THPT Quốc gia
-
Đáp án Sinh học THPT Quốc gia 2024 (24 mã đề)
-
(Mới) Đáp án đề minh hoạ GDCD 2024 chính thức
-
Đáp án GDCD THPT Quốc gia 2024 (24 mã đề)
-
Chia sẻ:
Trần Dũng
- Ngày:
Đáp án chi tiết đề thi THPT quốc gia môn Toán 2025 (Full 24 mã đề)
7,8 MB 08/07/2025 8:55:00 SATheo Nghị định 147/2024/ND-CP, bạn cần xác thực tài khoản trước khi sử dụng tính năng này. Chúng tôi sẽ gửi mã xác thực qua SMS hoặc Zalo tới số điện thoại mà bạn nhập dưới đây:
Thi THPT Quốc Gia tải nhiều
-
Đề thi thử tốt nghiệp THPT 2025 môn Văn sở Nam Định lần 2
-
Đã có đáp án chính thức của Bộ 2025
-
Bộ đề thi thử THPT quốc gia 2022 môn Sử
-
Đáp án chi tiết đề thi THPT quốc gia môn Toán 2025 (Full 24 mã đề)
-
Kiến thức trọng tâm Lịch sử lớp 12 thi tốt nghiệp THPT 2026
-
Bộ đề tham khảo tốt nghiệp THPT 2026 Bộ GDĐT (15 môn)
-
Đề thi tốt nghiệp THPT môn Địa Mới nhất 2024
-
(Cập nhật nhanh nhất) 24 mã đề thi THPT quốc gia môn Sử
-
Đáp án đề minh họa Sinh 2025 (mới nhất)
-
Trọng tâm kiến thức Địa lý thi THPT quốc gia
Học tập tải nhiều
-
Kế hoạch giáo dục học sinh khuyết tật môn Tin học lớp 8
-
Kế hoạch giáo dục học sinh khuyết tật môn Tin học lớp 7
-
Bài tập về Câu khẳng định, câu phủ định
-
Bài tập về Lựa chọn câu đơn hoặc câu ghép, các kiểu câu ghép
-
Phiếu bài tập cuối tuần lớp 3 môn Tiếng Việt Cánh diều - Tuần 26 (Cơ bản + Nâng cao)
-
Phiếu bài tập cuối tuần lớp 3 môn Tiếng Việt Chân trời sáng tạo - Tuần 26 (Cơ bản + Nâng cao)
-
Phiếu bài tập cuối tuần lớp 3 môn Tiếng Việt Kết nối tri thức - Tuần 26 (Cơ bản + Nâng cao)
-
Phiếu bài tập cuối tuần lớp 2 môn Tiếng Việt Cánh diều - Tuần 26 (Cơ bản + Nâng cao)
-
Phiếu bài tập cuối tuần lớp 2 môn Tiếng Việt Chân trời sáng tạo - Tuần 26 (Cơ bản + Nâng cao)
-
Mẫu PowerPoint họp phụ huynh cuối học kì, cuối năm học 2026
Bài viết hay Thi THPT Quốc Gia
-
Đề thi thử tốt nghiệp THPT 2025 môn Lịch sử Tuyên Quang (Lần 3)
-
Đề thi thử tốt nghiệp THPT 2025 môn Lịch sử THPT thị xã Quảng Trị
-
Bộ câu hỏi trắc nghiệm Vật lí hạt nhân (Có đáp án)
-
Đề thi thử tốt nghiệp THPT 2025 môn Ngữ văn tỉnh Bắc Giang
-
Đề thi thử tốt nghiệp THPT 2025 môn Sinh học tỉnh Quảng Ninh
-
Đề thi thử tốt nghiệp THPT 2025 môn Tin sở Đà Nẵng