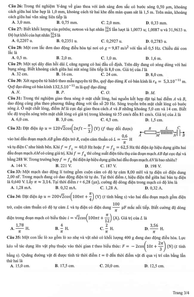
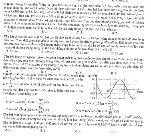
Đóng
Chỉ thành viên Hoatieu Pro tải được nội dung này!
Hoatieu Pro - Tải nhanh, website không quảng cáo!
Tìm hiểu thêm
Mua Hoatieu Pro 99.000đ
Bạn đã mua gói? Đăng nhập ngay!
Bài viết hay Học tập
-
(13 mẫu) Mở bài Hồn Trương Ba da hàng thịt hay nhất
-
Phiếu bài tập cuối tuần lớp 3 môn Tiếng Việt Kết nối tri thức - Tuần 1 (Cơ bản + Nâng cao)
-
Đề thi học kì 1 Giáo dục công dân 9 Chân trời sáng tạo (CV 7991)
-
Đề thi học kì 1 Hoạt động trải nghiệm 9 Kết nối tri thức
-
Ma trận đặc tả đề thi Khoa học tự nhiên 8 cả năm
-
Viết đoạn văn ngắn nêu lý do em thích hoặc không thích một nhân vật trong câu chuyện đã đọc, đã nghe



















