Đáp án đề tham khảo 2025 môn Toán thi tốt nghiệp THPT Quốc gia
Mua tài khoản Hoatieu Pro để trải nghiệm website Hoatieu.vn KHÔNG quảng cáo & Tải nhanh File chỉ từ 99.000đ. Tìm hiểu thêm »
Đáp án đề minh hoạ Toán 2025 thi tốt nghiệp THPT Quốc đã chính thức được Bộ giáo dục công bố vào ngày 18/10. Sau đây HoaTieu.vn xin chia sẻ nội dung Đề minh họa THPT 2025 môn Toán kèm hướng dẫn giải đề minh họa môn Toán năm 2025. Mời các em cùng tham khảo Đáp án đề minh họa 2025 môn Toán thi tốt nghiệp THPT Quốc gia để nắm được cấu trúc đề thi tốt nghiệp THPT 2025 cũng như cách làm bài nhé.
Đề minh họa Toán 2025 có đáp án
- 1. Đề minh họa Toán 2025 chính thức của Bộ giáo dục
- 2. Đáp án Đề tham khảo thi tốt nghiệp THPT 2025 môn Toán
- 3. Đáp án Đề minh họa môn Toán thi tốt nghiệp THPT các năm
- Đề minh họa Toán 2024 chính thức của Bộ GD
- Đáp án đề minh họa Toán 2024
- Đáp án Toán THPT Quốc gia 2023 Full 24 mã đề
- Đáp án đề minh họa 2023 môn Toán thi tốt nghiệp THPT
- Đề minh họa môn Toán thi tốt nghiệp THPT năm 2023
- Lời giải chi tiết đề minh họa 2022 môn Toán
- Đáp án đề minh họa 2022 môn Toán, đáp án đề tham khảo Toán 2022
- Đề tham khảo, đề minh họa 2022 môn Toán Bộ Giáo dục và đào tạo
- Đề minh họa 2022 môn Toán
1. Đề minh họa Toán 2025 chính thức của Bộ giáo dục




Cấu trúc Đề tham khảo thi tốt nghiệp THPT 2025 môn Toán
Về cấu trúc
Cấu trúc đề thi gồm 3 phần với 34 ý hỏi, cụ thể như sau:
Phần 1: Câu trắc nghiệm nhiều phương án lựa chọn gồm 12 câu thuộc cấp độ nhận biết và thông hiểu
Phần 2: Câu trắc nghiệm đúng sai gồm 4 câu, mỗi câu 4 ý và được sắp xếp từ cấp độ nhận biết – vận dụng
Phần 3: Câu trắc nghiệm trả lời ngắn gồm 6 câu và đều ở cấp độ vận dụng
Về phạm vi kiến thức
Đề thi có 30% các ý hỏi (12 ý) thuộc chương trình lớp 11, xoay quanh các chuyên đề về hình học không gian; lượng giác; dãy số – cấp số cộng – cấp số nhân; mũ – logarit; xác suất cổ điển; lí thuyết đồ thị. Đặc biệt, câu hỏi thuộc phần lí thuyết đồ thị (câu 2 – phần III) là phần kiến thức thuộc chuyên đề học tập toán – phần kiến thức không phải học sinh nào cũng bắt buộc học tập.
70% các ý hỏi (22 ý) của đề thi thuộc chương trình lớp 12 và phủ tất cả các chuyên đề.
Về độ khó của kỳ thi
Đề thi có 25 ý hỏi thuộc cấp độ nhận biết – thông hiểu (chiếm khoảng 73%, tương ứng với khoảng 6 điểm). Để hoàn thành tốt các ý hỏi này, học sinh cần nắm vững toàn diện các kiến thức nền tảng, từ đó có các bước tư duy và lập luận, giải quyết các vấn đề toán học cơ bản.
Các ý hỏi ở cấp độ vận dụng (chiếm khoảng 27%, tương ứng với khoảng 4 điểm) tập trung vào các bài toán ứng dụng thực tế, liên môn và thuộc các chuyên đề hàm số, nguyên hàm – tích phân, xác suất, hình học không gian và hình học Oxyz. Để xử lí các ý hỏi này, học sinh phải có năng lực, kiến thức kĩ năng chắc chắn, đồng thời cần có sự bình tĩnh và nhanh nhạy cũng như tư duy tốt để có thể mô hình hóa toán học, giải quyết các vấn đề toán học khó.
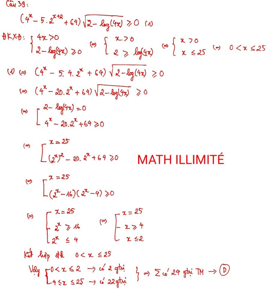
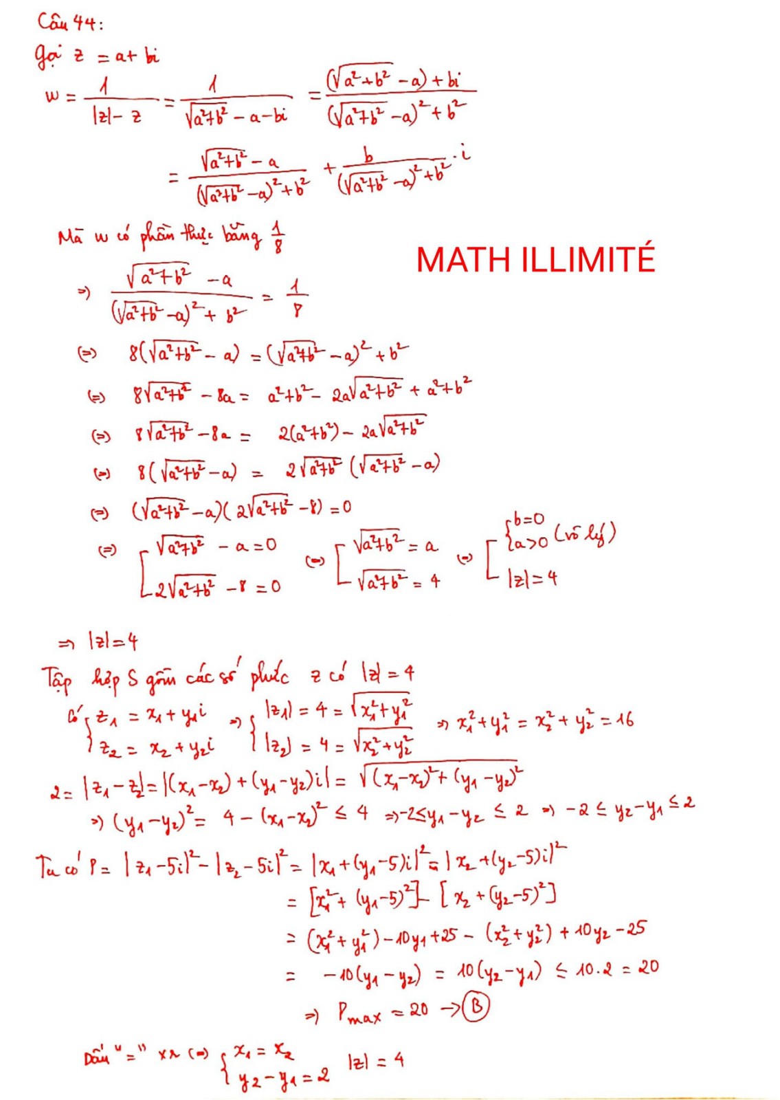
2. Đáp án Đề tham khảo thi tốt nghiệp THPT 2025 môn Toán
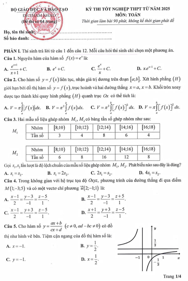
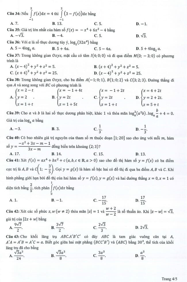
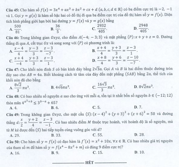
PHẦN I. Câu trắc nghiệm nhiều phương án lựa chọn. Thí sinh trả lời từ câu 1 đến câu 12. (Mỗi câu trả lời đúng thí sinh được 0,25 điểm)
|
Câu |
1 |
2 |
3 |
4 |
5 |
6 |
|
Chọn |
B |
D |
A |
C |
B |
A |
|
Câu |
7 |
8 |
9 |
10 |
11 |
12 |
|
Chọn |
B |
A |
D |
C |
D |
C |
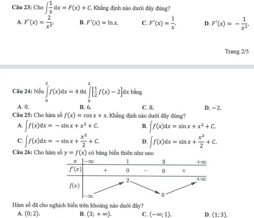
PHẦN II. Câu trắc nghiệm đúng sai. Thí sinh trả lời từ câu 1 đến câu 4. Trong mỗi ý a), b), c), d) ở mỗi câu, thí sinh chọn đúng hoặc sai.
- Thí sinh chỉ lựa chọn chính xác 01 ý trong 01 câu hỏi được 0,1 điểm;
- Thí sinh chỉ lựa chọn chính xác 02 ý trong 01 câu hỏi được 0,25 điểm;
- Thí sinh chỉ lựa chọn chính xác 03 ý trong 01 câu hỏi được 0,5 điểm;
- Thí sinh lựa chọn chính xác cả 04 ý trong 01 câu hỏi được 1 điểm.
|
Câu |
1 |
2 |
3 |
4 |
|
Đáp án |
a) Đúng b) Sai c) Đúng d) Đúng |
a) Đúng b) Đúng c) Sai d) Sai |
a) Đúng b) Sai c) Đúng d) Sai |
a) Đúng b) Sai c) Đúng d) Đúng |
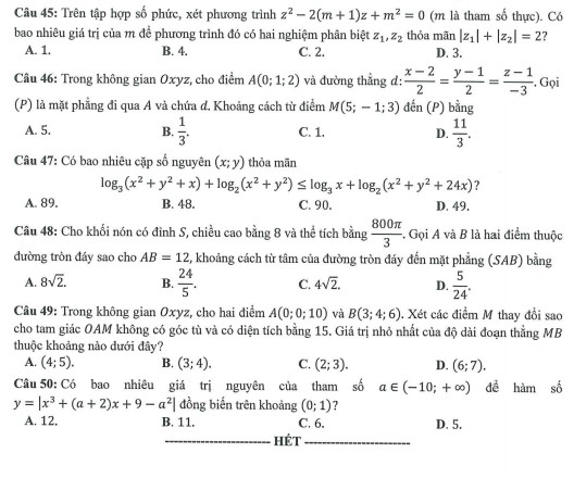
PHẦN III. Câu trắc nghiệm trả lời ngắn. Thí sinh trả lời từ câu 1 đến câu 6
Mỗi câu trả lời đúng thí sinh được 0,5 điểm.
|
Câu |
1 |
2 |
3 |
4 |
5 |
6 |
|
Đáp án |
4,9 |
43 |
3 |
3200 |
333 |
0,08 |
3. Đáp án Đề tham khảo môn Toán thi tốt nghiệp THPT các năm
Đề minh họa Toán 2024 chính thức của Bộ GD





Đáp án đề minh họa Toán 2024
|
1. B |
2. B |
3. A |
4. A |
5. D |
6. C |
7. C |
8. B |
9. B |
10. A |
|
11. C |
12. C |
13. D |
14. B |
15. D |
16. D |
17. D |
18. B |
19. B |
20. B |
|
21. D |
22. B |
23. B |
24. D |
25. C |
26. A |
27. D |
28. A |
29. A |
30. D |
|
31. A |
32. D |
33. B |
34. C |
35. C |
36. D |
37. D |
38. C |
39. D |
40. C |
|
41. A |
42. D |
43. C |
44. A |
45. C |
46. C |
47. C |
48. B |
49. A |
50. A |
Đáp án Toán THPT Quốc gia 2023 Full 24 mã đề

Đáp án đề minh họa 2023 môn Toán thi tốt nghiệp THPT
|
1. D |
2. B |
3. A |
4. D |
5. B |
6. C |
7. B |
8. A |
9. B |
10. D |
|
11. D |
12. A |
13. B |
14. B |
15. C |
16. A |
17. C |
18. B |
19. B |
20. D |
|
21. C |
22. D |
23. C |
24. D |
25. D |
26. D |
27. B |
28. D |
29. D |
30. D |
|
31. C |
32. D |
33. A |
34. D |
35. C |
36. C |
37. A |
38. C |
39. D |
40. D |
|
41. B |
42. C |
43. A |
44. C |
45. C |
46. C |
47. D |
48. C |
49. A |
50. C |
Đề minh họa môn Toán thi tốt nghiệp THPT năm 2023








Lời giải chi tiết đề minh họa 2022 môn Toán







Đáp án đề minh họa 2022 môn Toán, đáp án đề tham khảo Toán 2022
Đáp án đề thi minh họa 2022 môn Toán được Hoatieu.vn cập nhập nhanh nhất qua bài viết sau đây. Đề thi tham khảo của 9 môn thi (nằm trong 5 bài thi tốt nghiệp THPT) gồm toán, ngữ văn, các môn ngoại ngữ, vật lý, hóa học, sinh học, lịch sử, địa lý, giáo dục công dân. Đề thi tham khảo môn Toán 2022 sẽ giúp học sinh nắm được cấu trúc đề thi theo ma trận đã được Bộ Giáo dục và đào tạo xây dựng theo các mức độ: nhận biết, thông hiểu, vận dụng và vận dụng cao.
| Câu | Đáp án |
|
Câu | Đáp án | Câu | Đáp án |
|
Câu | Đáp án |
|
Câu | Đáp án | |
| 1 | B | 11 | A |
|
21 | B | 31 | D | 41 | A | |||
| 2 | D | 12 | C | 22 | A | 32 | D | 42 | A | ||||
| 3 | B | 13 | B | 23 | C | 33 | D | 43 | B | ||||
| 4 | B | 14 | B | 24 | A | 34 | D | 44 | A | ||||
| 5 | D | 15 | C | 25 | B | 35 | C | 45 | A | ||||
| 6 | C | 16 | B | 26 | A | 36 | B | 46 | C | ||||
| 7 | A | 17 | D | 27 | D | 37 | B | 47 | C | ||||
| 8 | D | 18 | B | 28 | A | 38 | C | 48 | B | ||||
| 9 | A | 19 | A | 29 | C | 39 | D | 49 | A | ||||
| 10 | C | 20 | B | 30 | A | 40 | D | 50 | B |
Đề tham khảo, đề minh họa 2022 môn Toán Bộ Giáo dục và đào tạo





Đề minh họa 2022 môn Toán





Theo hướng dẫn của Bộ GD-ĐT, các trường bám sát chương trình-SGK bậc THPT, chủ yếu lớp 12 và đề thi tham khảo của các môn sẽ có trong các bài thi để tổ chức ôn tập cho học sinh chuẩn bị tham dự kỳ thi này.
Mời các bạn tham khảo thêm các thông tin hữu ích khác trên chuyên mục Học tập của HoaTieu.vn.
Tham khảo thêm
-
Chia sẻ:
Tran Thao
- Ngày:
-
Tham vấn:
Nguyễn Thị Hải Yến
Đáp án đề tham khảo 2025 môn Toán thi tốt nghiệp THPT Quốc gia
1,5 MB 19/10/2024 8:42:00 SATheo Nghị định 147/2024/ND-CP, bạn cần xác thực tài khoản trước khi sử dụng tính năng này. Chúng tôi sẽ gửi mã xác thực qua SMS hoặc Zalo tới số điện thoại mà bạn nhập dưới đây:
Học tập tải nhiều
-
Hướng dẫn ghi học bạ theo Thông tư 22/2016/TT-BGDĐT
-
Mẫu nhận xét học sinh tiểu học theo Thông tư 22, Thông tư 27 năm 2026
-
Minh chứng đánh giá chuẩn giáo viên 2025 theo Công văn 4530
-
12 mẫu Kế hoạch tư vấn, hỗ trợ học sinh trong hoạt động giáo dục và dạy học module 5 (Mới cập nhật)
-
Mẫu vở tập viết cho học sinh lớp 1 - Quyển 1
-
Nội dung họp phụ huynh đầu năm, cuối năm 2025 - 2026
-
Phiếu tập tô từ 1 đến 10 cho bé mới nhất
-
Tuyển chọn 152 tình huống sư phạm thường gặp và cách giải quyết
-
Minh chứng đánh giá xếp loại chuẩn nghề nghiệp giáo viên tiểu học 2025
-
Hướng dẫn viết sáng kiến kinh nghiệm năm học 2026
Học tập tải nhiều
-
Đề thi thử tốt nghiệp THPT năm 2026 môn Hóa sở Nghệ An (Lần 1)
-
Đề thi thử tốt nghiệp THPT năm 2026 môn Kinh tế pháp luật sở Nghệ An (Lần 1)
-
Đề thi thử tốt nghiệp THPT năm 2026 môn Vật lí sở Nghệ An (Lần 1)
-
Đề thi thử tốt nghiệp THPT năm 2026 môn Sử sở Nghệ An (Lần 1)
-
Đề thi thử tốt nghiệp THPT năm 2026 môn Địa sở Nghệ An (Lần 1)
-
Đề thi thử tốt nghiệp THPT năm 2026 môn Sinh sở Nghệ An (Lần 1)
-
Đề thi thử tốt nghiệp THPT năm 2026 môn Tiếng Anh sở Nghệ An (Lần 1)
-
Đề thi thử tốt nghiệp THPT năm 2026 môn Toán sở Nghệ An
-
Đề thi thử Văn Sở Nghệ An 2026 có đáp án
-
Các biện pháp tu từ
Bài viết hay Học tập
-
Trắc nghiệm Hoạt động trải nghiệm 10 Kết nối tri thức (10 chủ đề)
-
Đáp án tự luận module 9 môn Công nghệ đầy đủ
-
Bài tập KHTN 7 Chương 4 Âm thanh
-
Mẫu phân phối chương trình sách tiếng Việt 1 bộ sách Vì sự bình đẳng và dân chủ
-
Viết 3-4 câu thể hiện tình cảm của em đối với người thân (16 mẫu)
-
Dựa vào dàn ý trên, bạn Hồng Nhung dự kiến viết 4 đoạn văn