Đáp án Toán THPT Quốc gia 2025 (Full 24 mã đề)
Mua tài khoản Hoatieu Pro để trải nghiệm website Hoatieu.vn KHÔNG quảng cáo & Tải nhanh File chỉ từ 99.000đ. Tìm hiểu thêm »
Đề Toán THPT Quốc gia 2025 kèm Đáp án đề thi Toán THPT Quốc gia 2025 (24 mã đề) cập nhật nhanh và chính xác nhất trên Hoatieu.vn giúp thí sinh tiện tra cứu, đối chiếu kết quả và dự đoán phổ điểm môn Toán THPT Quốc gia 2025 một cách khách quan.
Vào chiều ngày 26/6/2025, thí sinh trên cả nước sẽ chính thức bước vào môn thi Toán – một trong những môn bắt buộc trong kỳ thi tốt nghiệp THPT Quốc gia 2025. Ngay sau khi kết thúc thời gian làm bài, HoaTieu sẽ đăng tải Đề thi tốt nghiệp THPT môn Toán năm 2025 chính thức cùng đáp án chi tiết từng mã đề.
Nhấn F5 để cập nhật Đáp án full 24 mã đề thi môn Toán tốt nghiệp THPT 2025 mới nhất.
Đáp án môn Toán thi tốt nghiệp 2025
- 1. Đáp án Toán THPT Quốc gia 2025 chính thức của Bộ
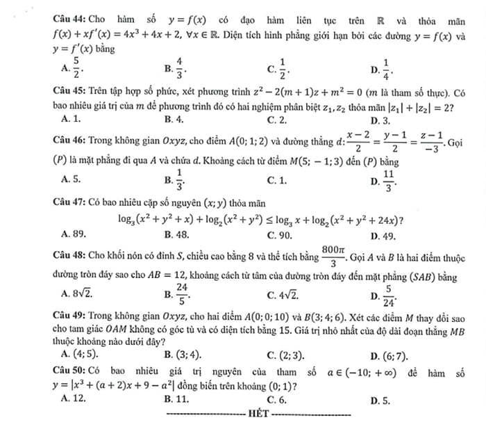
- 2. Đề thi Toán THPT Quốc gia 2025
- 2. Tra cứu điểm thi THPT 2025 môn Toán
- 3. Đáp án Toán THPT Quốc gia 2024
- 4. Đề Toán THPT Quốc gia 2024
- 5. Đáp án chính thức của Bộ môn Toán THPT 2023
- 6. Đề thi THPT Quốc gia 2023 môn Toán
- 7. Đáp án chính thức của Bộ môn Toán THPT 2022
- 8. Đề thi THPT Quốc gia 2022 môn Toán
- 9. Đáp án chính thức môn Toán 2021 của Bộ
- 10. Đề thi Toán THPT Quốc gia 2021
- 11. Đề thi thử THPT Quốc gia môn Toán 2025 có đáp án
1. Đáp án Toán THPT Quốc gia 2025 chính thức của Bộ

2. Đề thi Toán THPT Quốc gia 2025




2. Tra cứu điểm thi THPT 2025 môn Toán
Mời các bạn truy cập đường link sau để tra cứu điểm thi THPT 2025 tại các tỉnh thành trên cả nước.
Bài viết có tổng hợp đầy đủ đường link tra cứu điểm thi tất cả các tỉnh thành trên cả nước giúp các bạn có thể tra cứu điểm dễ dàng.
3. Đáp án Toán THPT Quốc gia 2024
4. Đề Toán THPT Quốc gia 2024
Mã đề 122





5. Đáp án chính thức của Bộ môn Toán THPT 2023

6. Đề thi THPT Quốc gia 2023 môn Toán




7. Đáp án chính thức của Bộ môn Toán THPT 2022

8. Đề thi THPT Quốc gia 2022 môn Toán
Mã đề 104



Mã đề 112





Mã đề 124





9. Đáp án chính thức môn Toán 2021 của Bộ

10. Đề thi Toán THPT Quốc gia 2021




11. Đề thi thử THPT Quốc gia môn Toán 2025 có đáp án
Mời các bạn truy cập đường link sau đây để xem chi tiết đề tham khảo THPT Quốc gia môn Toán năm 2025 cùng các năm trước để ôn tập và đạt kết quả cao.
Đáp án 24 mã Đề thi THPT Quốc gia 2025 môn Toán sẽ được cập nhật ngay khi kỳ thi kết thúc để các em học sinh đối chiếu đáp án với bài làm và dự đoán kết quả thi. Từ đó cân nhắc, điều chỉnh lựa chọn nguyện vọng xét tuyển đại học phù hợp
Mời các bạn tham khảo thêm các thông tin hữu ích khác trên chuyên mục Học tập của HoaTieu.vn.
Tham khảo thêm
-
Chia sẻ:
Trần Thanh Tâm
- Ngày:
-
Tham vấn:
Nguyễn Thị Hải Yến
Đáp án Toán THPT Quốc gia 2025 (Full 24 mã đề)
18,7 MB 08/07/2025 8:52:00 SATheo Nghị định 147/2024/ND-CP, bạn cần xác thực tài khoản trước khi sử dụng tính năng này. Chúng tôi sẽ gửi mã xác thực qua SMS hoặc Zalo tới số điện thoại mà bạn nhập dưới đây:
-
Cự GiảiThích · Phản hồi · 0 · 24/06/22 -
Mediterranean seaThích · Phản hồi · 0 · 24/06/22 -
Milky WayThích · Phản hồi · 0 · 24/06/22
Hướng dẫn & Hỗ trợ
Chọn một tùy chọn bên dưới để được giúp đỡ
Thi THPT Quốc Gia tải nhiều
-
Đề thi thử tốt nghiệp THPT 2025 môn Văn sở Nam Định lần 2
-
Đã có đáp án chính thức của Bộ 2025
-
Bộ đề thi thử THPT quốc gia 2022 môn Sử
-
Đáp án chi tiết đề thi THPT quốc gia môn Toán 2025 (Full 24 mã đề)
-
Kiến thức trọng tâm Lịch sử lớp 12 thi tốt nghiệp THPT 2025
-
Bộ đề tham khảo tốt nghiệp THPT 2025 Bộ GDĐT (15 môn)
-
Đề thi tốt nghiệp THPT môn Địa Mới nhất 2024
-
(Cập nhật nhanh nhất) 24 mã đề thi THPT quốc gia môn Sử
-
Đáp án đề minh họa Sinh 2025 (mới nhất)
-
Trọng tâm kiến thức Địa lý thi THPT quốc gia
Học tập tải nhiều
-
Rung chuông vàng về chủ đề 22-12
-
Kế hoạch dạy học tích hợp Lịch sử Địa lí THCS Kết nối tri thức
-
Kế hoạch tích hợp năng lực số Hoạt động trải nghiệm THCS Chân trời sáng tạo
-
Đề thi học kì 1 môn Toán lớp 2 sách Chân trời sáng tạo năm 2025
-
Bài tập trắc nghiệm đúng sai Toán 11: Quan hệ song song trong không gian (Có đáp án)
-
Bài tập trắc nghiệm đúng sai Toán 11: Phương trình lượng giác (Có đáp án)
-
Bài tập trắc nghiệm đúng sai Toán 11: Giới hạn của hàm số (Có đáp án)
-
Kế hoạch tích hợp năng lực số Khoa học tự nhiên THCS Kết nối tri thức
-
Bài tập về Từ chỉ hoạt động, trạng thái - Câu nêu hoạt động
-
Kế hoạch tích hợp năng lực số môn Giáo dục thể chất THCS bộ KNTT
Bài viết hay Thi THPT Quốc Gia
-
Đề khảo sát chất lượng Địa lí 12 lần 2 Vĩnh Phúc 2025
-
Đáp án Hóa THPT quốc gia 2025 (48 mã đề)
-
Đáp án đề khảo sát chất lượng học kì 2 Sử 12 Nam Định 2025
-
Đáp án đề khảo sát chất lượng học kì 2 Công nghệ 12 Nam Định 2025
-
Đề tham khảo tốt nghiệp THPT Công nghệ Nông nghiệp Đồng Nai 2025
-
Đề thi thử THPT quốc gia 2025 môn Công nghệ sở Nghệ An