Giáo án môn Toán lớp 7 Cánh Diều cả năm
Mua tài khoản Hoatieu Pro để trải nghiệm website Hoatieu.vn KHÔNG quảng cáo & Tải nhanh File chỉ từ 99.000đ. Tìm hiểu thêm »
Giáo án Toán 7 Cánh Diều tập 1, tập 2
Giáo án Toán lớp 7 sách Cánh Diều được Hoatieu chia sẻ trong bài viết sau đây là trọn bộ giáo án bài giảng môn Toán lớp 7 cả năm được biên soạn dưới dạng file word sẽ giúp các thầy cô tiết kiệm được rất nhiều thời gian và công sức trong công tác soạn giáo án cho năm học mới. Sau đây là nội dung chi tiết kế hoạch bài dạy môn Toán lớp 7 Cánh Diều theo đúng hướng dẫn tại công văn 5512, mời các thầy cô cùng tham khảo.
Lưu ý: Để xem trọn bộ file giáo án Toán lớp 7 Cánh Diều, mời các bạn sử dụng file tải về trong bài.
Giáo án lớp 7 môn Toán bộ Cánh Diều
Chương I: SỐ HỮU TỈ
BÀI 1: TẬP HỢP CÁC SỐ HỮU TỈ
(số tiết thực hiện: … tiết)
I. MỤC TIÊU:
1. Kiến thức: Học xong bài này, HS đạt các yêu cầu sau:
- Nhận biết được số hữu tỉ và lấy được ví dụ về số hữu tỉ.
- Nhận biết được tập hợp các số hữu tỉ.
- Nhận biết được số đối của một số hữu tỉ.
- Nhận biết được thứ tự trong tập hợp các số hữu tỉ.
2. Năng lực
* Năng lực chung:
- Năng lực tự chủ và tự học trong tìm tòi khám phá
- Năng lực giao tiếp và hợp tác trong trình bày, thảo luận và làm việc nhóm
- Năng lực giải quyết vấn đề và sáng tạo trong thực hành, vận dụng.
* Năng lực đặc thù: tư duy và lập luận toán học, mô hình hóa toán học, sử dụng công cụ, phương tiện học toán.
- Biểu diển được một số hữu tỉ trên trục số.
- So sánh được hai số hữu tỉ.
- Viết được một số hữu tỉ bằng nhiều phân số bằng nhau.
3. Phẩm chất
- Có ý thức học tập, ý thức tìm tòi, khám phá và sáng tạo, có ý thức làm việc nhóm.
- Chăm chỉ tích cực xây dựng bài, có trách nhiệm, chủ động chiếm lĩnh kiến thức theo sự hướng dẫn của GV.
- Hình thành tư duy logic, lập luận chặt chẽ, và linh hoạt trong quá trình suy nghĩ.
II. THIẾT BỊ DẠY HỌC VÀ HỌC LIỆU
1 - GV: SGK, Tài liệu giảng dạy, giáo án PPT, thước thẳng có chia khoảng, tivi
2 - HS: SGK, SBT, vở ghi, giấy nháp, đồ dùng học tập (bút, thước...), bảng nhóm, bút viết bảng nhóm.
III. TIẾN TRÌNH DẠY HỌC:
1. HOẠT ĐỘNG KHỞI ĐỘNG.
a) Mục tiêu:
- HS ôn lại các tập hợp số đã học.
- Gợi tâm thế, tạo hứng thú học tập.
b) Nội dung: HS thực hiện các yêu cầu dưới sự hướng dẫn của GV.
c) Sản phẩm: HS trả lời được câu hỏi mở đầu.
d) Tổ chức thực hiện:
Bước 1: Chuyển giao nhiệm vụ:
HS quan sát bảng nhiệt độ ở các trạm đo Pha Đin, Mộc Châu, Đồng Vãn, Sa Pa, đọc nhiệt độ tại các trạm đo đó và trả lời câu hỏi đặt ra.
- GV dẫn dắt, đặt vấn đề:
+ “ Chúng ta đã được học những tập hợp số nào?”
GV chiếu slide bản đồ minh họa các tập hợp số đã học:
+ “ Phép cộng, phép trừ, phép nhân hai số nguyên có kết quả là một số nguyên. Theo em, kết quả của phép chia số nguyên a cho số nguyên b (b≠0) có phải là một số nguyên không?”
Bước 2: Thực hiện nhiệm vụ: HS quan sát và chú ý lắng nghe, thảo luận nhóm đôi hoàn thành yêu cầu.
Bước 3: Báo cáo, thảo luận: GV gọi một số HS trả lời, HS khác nhận xét, bổ sung.
Bước 4: Kết luận, nhận định: GV đánh giá kết quả của HS, trên cơ sở đó dẫn dắt HS vào bài học mới: “Để trả lời được câu hỏi tên, cũng như hiểu rõ hơn về tập hợp các số hữu tỉ, chúng ta sẽ tìm hiểu trong bài ngày hôm nay”.
2. HÌNH THÀNH KIẾN THỨC MỚI
Hoạt động 1: Số hữu tỉ
a) Mục tiêu:
- Nhận biết được số hữu tỉ và lấy được ví dụ về số hữu tỉ
- Giúp HS có cơ hội trải nghiệm, thảo luận về số hữu tỉ thông qua việc viết các số đã cho dưới dạng một phân số.
b) Nội dung:
HS quan sát SGK để tìm hiểu nội dung kiến thức HĐKP1, Thực hành 1, Vận dụng 1
theo yêu cầu của GV.
c) Sản phẩm: HS nắm vững kiến thức, kết quả của HS. Kết quả của HS được viết vào vở
d) Tổ chức thực hiện:
|
Hoạt động của GV và HS |
Sản phẩm dự kiến |
|
Bước 1: Chuyển giao nhiệm vụ: - GV yêu cầu HS thảo luận nhóm 4, thực hiện HĐKP1 viết các số vào vở. - HS trả lời, cả lớp nhận xét, GV đánh giá, dẫn dắt, chốt lại kiến thức khái niệm số hữu tỉ. 1-2 HS đọc phần kiến thức trọng tâm. - GV yêu cầu đọc Ví dụ 1, thảo luận nhóm đôi và trả lời câu hỏi:Có thể viết bao nhiêu phân số bằng các số đã cho? - GV dẫn dắt để HS rút ra nhận xét: + Có vô số phân số bằng các phân số đã cho. + Các phân số bằng nhau là các cách viết khác nhau của cùng một số hữu tỉ.- GV lưu ý HS kí hiệu tập hợp số hữu tỉ là . - GV đặt vấn đề: Vậy số nguyên có phải là một số hữu tỉ không? HS trao đổi và rút ra nhận xét như trong SGK. - GV cho HS HĐ cặp đôi hỏi đáp Thực hành1. HS viết được các số đã cho dưới dạng phân số và giải thích được vì sao các số đó là các số hữu tỉ) HS nhận xét, GV đánh giá - GV hướng dẫn HS tự vận dụng kiến thức vửa học vào thực tiễn thông qua việc viết số đo các đại lượng đã cho dưới dạng với để hoàn thành Vận dụng 1. HS viết và trình bày kết quả vào vở theo yêu cầu. Lớp nhận xét, GV sửa bài chung trước lớp. Bước 2: Thực hiện nhiệm vụ: - HS theo dõi SGK, chú ý nghe, hiểu, thảo luận, trao đổi và hoàn thành các yêu cầu. - GV: quan sát và trợ giúp HS. Bước 3: Báo cáo, thảo luận: - Hoạt động nhóm đôi: Hai bạn cùng bạn giơ tay phát biểu, trình bày miệng. Các nhóm khác chú ý nghe, nhận xét, bổ sung - Cá nhân: giơ tay phát biểu trình bày bảng. Bước 4: Kết luận, nhận định: GV tổng quát, nhận xét quá trình hoạt động của các HS, cho HS nhắc lại các khái niệm số hữu tỉ, kí hiệu và lưu ý. |
I. Số hữu tỉ HĐKP1: Viết các số sau dưới dạng phân số
Kết luận: Số hữu tỉ là số được viết dưới dạng phân số Tập hợp các số hữu tỉ được kí hiệu là Q Nhận xét: Mỗi số nguyên là một số hữu tỉ.
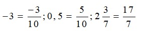
Thực hành 1: Các số -5; 0; -0.41; 2 Các số đã cho đều là số hữu tỉ vì mỗi số đều viết được dưới dạng phân số
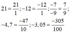
Luyện tập 1 (SGK trang 6) Các số : 21; -12; -4,7; 0,35 là các số hữu tỉ vì
*chú ý: - Mỗi số nguyên là một số hữu tỉ -Các phân số bằng nhau cùng biểu diễn một số hữu tỉ VD: vì
|
Hoạt động 2: Biểu diễn số hữu tỉ trên trục số
a) Mục tiêu:
- Qua việc ôn lại cách biểu diễn số nguyên trên trục số, HS có cơ hội trải nghiệm để biết cách biễu diển số hữu tỉ trên trục số.
b) Nội dung: HS quan sát SGK để tìm hiểu nội dung kiến thức HĐKP3, Thực hành 3 theo yêu cầu của GV.
c) Sản phẩm: HS nắm vững kiến thức, kết quả của HS. Kết quả thực hiện của học sinh được ghi vào vở
d) Tổ chức thực hiện:
...........................
Mời các bạn tham khảo các giáo án khác trong phần Dành cho giáo viên của mục Tài liệu.
-
Chia sẻ:
Trần Thu Trang
- Ngày:
Giáo án môn Toán lớp 7 Cánh Diều cả năm
32,1 MB 18/08/2022 3:15:00 CHTham khảo thêm
Theo Nghị định 147/2024/ND-CP, bạn cần xác thực tài khoản trước khi sử dụng tính năng này. Chúng tôi sẽ gửi mã xác thực qua SMS hoặc Zalo tới số điện thoại mà bạn nhập dưới đây:
-
Tiến Anh NguyễnThích · Phản hồi · 1 · 18/09/22
-
Ngữ văn
- Giáo án Văn 7 sách Kết nối tri thức (WORD)
- Giáo án Ngữ văn 7 Kết nối tri thức - Kì 1
- Giáo án Ngữ văn 7 Kết nối tri thức - Kì 2
- Giáo án Ngữ văn 7 Chân trời sáng tạo (WORD)
- Giáo án Văn 7 Chân trời sáng tạo - Kì 1
- Giáo án Văn 7 Chân trời sáng tạo - Kì 2
- Giáo án Ngữ Văn 7 Cánh Diều (WORD)
- Giáo án Ngữ văn 7 Cánh Diều - Kì 1
- Giáo án Ngữ văn 7 Cánh Diều - Kì 2
- Giáo án dạy thêm Văn 7 Kết nối tri thức (WORD)
- Giáo án dạy thêm Ngữ văn 7 Chân trời sáng tạo (WORD)
- Giáo án dạy thêm Ngữ văn 7 Cánh Diều (WORD)
- Giáo án PowerPoint Văn 7 Kết nối tri thức (PPT)
- PowerPoint Ngữ văn 7 Kết nối tri thức - Kì 1
- PowerPoint Ngữ văn 7 Kết nối tri thức - Kì 2
- Giáo án PowerPoint Ngữ văn 7 Chân trời sáng tạo (PPT)
- PowerPoint Ngữ văn 7 Chân trời sáng tạo - Kì 1
- PowerPoint Ngữ văn 7 Chân trời sáng tạo - Kì 2
- Giáo án PowerPoint Ngữ văn 7 Cánh Diều (PPT)
- Giáo án Powerpoint Ngữ văn 7 Cánh Diều Kì 1
- Giáo án Powerpoint Ngữ văn 7 Cánh Diều Kì 2
-
Toán
- Giáo án Toán 7 Kết nối tri thức (WORD)
- Giáo án dạy thêm Toán 7 Kết nối tri thức (WORD)
- Giáo án Toán 7 Chân trời sáng tạo (WORD)
- Giáo án Toán 7 Chân trời sáng tạo - Kì 1
- Giáo án Toán 7 Chân trời sáng tạo - Kì 2
- Giáo án môn Toán lớp 7 Cánh Diều (WORD)
- Giáo án dạy thêm Toán 7 Chân trời sáng tạo (WORD)
- Giáo án dạy thêm Toán 7 Cánh Diều (WORD)
- Giáo án PowerPoint toán 7 Kết nối tri thức (PPT)
- Giáo án PowerPoint Toán 7 Chân trời sáng tạo (PPT)
- PowerPoint Toán 7 Chân trời sáng tạo - Kì 1
- PowerPoint Toán 7 Chân trời sáng tạo - Kì 2
- Giáo án Powerpoint Toán 7 Cánh Diều (PPT)
- Giáo án Powerpoint Toán 7 Cánh Diều Kì 2 (PPT)
- Giáo án Powerpoint Toán 7 Cánh Diều Kì 1 (PPT)
- Giáo án dạy thêm môn Toán lớp 7 theo buổi
-
Tiếng Anh
- Giáo án Tiếng Anh 7 Friends plus (WORD)
- Giáo án tiếng Anh 7 i - Learn Smart World (WORD)
- Giáo án tiếng Anh 7 Right On (WORD)
- Giáo án Tiếng Anh 7 Global Success (WORD)
- Giáo án Tiếng Anh 7 Global Success - Kì 1
- Giáo án Tiếng Anh 7 Global Success - Kì 2
- Giáo án PowerPoint tiếng Anh 7 Friends Plus (PPT)
- Giáo án điện tử Tiếng Anh 7 Global Success (PPT)
- Giáo án điện tử tiếng Anh 7 i - Learn Smart World (PPT)
-
KHTN
- Giáo án Khoa học tự nhiên lớp 7 Cánh Diều (WORD)
- Giáo án Khoa học tự nhiên lớp 7 Kết nối tri thức (WORD)
- Giáo án Sinh học 7 Kết nối tri thức
- Giáo án Hóa học 7 Kết nối tri thức
- Giáo án Vật lí 7 Kết nối tri thức
- Giáo án Khoa học tự nhiên 7 Chân trời sáng tạo (WORD)
- Giáo án điện tử Khoa học tự nhiên 7 Kết nối tri thức (PPT)
- Giáo án điện tử Sinh học 7 Kết nối tri thức
- Giáo án điện tử Vật lí 7 Kết nối tri thức
- Bài giảng điện tử Hóa học 7 Kết nối tri thức
- Giáo án điện tử Khoa học tự nhiên 7 Chân trời sáng tạo (PPT)
- Giáo án điện tử Hóa học 7 Chân trời sáng tạo
- Giáo án Powerpoint Vật lí 7 Chân trời sáng tạo
- Giáo án điện tử Sinh học 7 Chân trời sáng tạo
- Giáo án điện tử Khoa học tự nhiên 7 Cánh Diều (PPT)
- Giáo án điện tử Sinh học 7 Cánh Diều
- Giáo án điện tử Hóa học 7 Cánh Diều
- Giáo án PowerPoint Vật lí 7 Cánh Diều
-
Lịch sử
- Giáo án Lịch sử 7 Kết nối tri thức (WORD)
- Giáo án Lịch sử lớp 7 sách Chân trời sáng tạo (WORD)
- Giáo án Lịch sử 7 Chân trời sáng tạo - Kì 1
- Giáo án Lịch sử 7 Chân trời sáng tạo - Kì 2
- Giáo án Lịch sử lớp 7 sách Cánh Diều (WORD)
- Giáo án PowerPoint Lịch sử 7 Kết nối tri thức (PPT)
- Giáo án Powerpoint Lịch sử 7 Kết nối tri thức Kì 1
- Giáo án Powerpoint Lịch sử 7 Kết nối tri thức Kì 2
- Giáo án điện tử Lịch sử 7 Chân trời sáng tạo (PPT)
- Giáo án Powerpoint Lịch sử 7 Chân trời sáng tạo Kì 1
- Giáo án Powerpoint Lịch sử 7 Chân trời sáng tạo Kì 2
- Giáo án PowerPoint Lịch sử 7 Cánh Diều (PPT)
- Giáo án Powerpoint Lịch sử 7 Cánh Diều Kì 1
- Giáo án Powerpoint Lịch sử 7 Cánh Diều Kì 2
-
Địa lý
- Giáo án môn Địa lớp 7 Kết nối tri thức (WORD)
- Giáo án Địa lớp 7 Chân trời sáng tạo (WORD)
- Giáo án Địa lí lớp 7 Cánh Diều (WORD)
- Giáo án điện tử Địa lí 7 Kết nối tri thức (PPT)
- Giáo án PowerPoint Địa lí 7 Chân trời sáng tạo (PPT)
- Giáo án Powerpoint Địa lí 7 Chân trời sáng tạo Kì 1
- Giáo án Powerpoint Địa lí 7 Chân trời sáng tạo Kì 2
- Giáo án PowerPoint Địa lí 7 Cánh Diều (PPT)
- Giáo án Powerpoint Địa lí 7 Cánh Diều Kì 1
- Giáo án Powerpoint Địa lí 7 Cánh Diều Kì 2
-
Công dân
- Giáo án Giáo dục công dân 7 Kết nối tri thức (WORD)
- Giáo án tích hợp Giáo dục công dân 7 Kết nối tri thức
- Giáo án Giáo dục công dân 7 Chân trời sáng tạo (WORD)
- Giáo án Giáo dục công dân lớp 7 Cánh Diều (WORD)
- Giáo án tích hợp Giáo dục công dân 7 Cánh Diều
- Giáo án điện tử Giáo dục công dân 7 Kết nối tri thức (PPT)
- Giáo án điện tử Giáo dục công dân 7 Chân trời sáng tạo (PPT)
- Giáo án PowerPoint Giáo dục công dân 7 Cánh Diều (PPT)
- Âm nhạc
- Mĩ thuật
- GD Thể chất
-
Tin học
- Giáo án Tin học 7 Sách Kết nối tri thức (WORD)
- Giáo án môn Tin học 7 Kết nối tri thức - Kì 1 (Tích hợp năng lực số)
- Giáo án môn Tin học 7 Kết nối tri thức - Kì 2 (Tích hợp năng lực số)
- Giáo án Tin học 7 Chân trời sáng tạo (WORD)
- Giáo án môn Tin học 7 Chân trời sáng tạo - Kì 1
- Giáo án môn Tin học 7 Chân trời sáng tạo - Kì 2
- Giáo án Tin học lớp 7 Cánh Diều (WORD)
- Giáo án Powerpoint môn Tin học 7 sách Kết nối tri thức (PPT)
- Giáo án PowerPoint Tin học 7 Chân trời sáng tạo (PPT)
- Giáo án Powerpoint Tin học lớp 7 Cánh Diều (PPT)
- Giáo án Powerpoint Tin học lớp 7 Cánh Diều Kì 1
- Giáo án Powerpoint Tin học lớp 7 Cánh Diều Kì 2
- Công nghệ
-
HĐTN
- Giáo án Hoạt động trải nghiệm 7 Kết nối tri thức (WORD)
- Giáo án Hoạt động trải nghiệm 7 Kết nối tri thức - HK 1
- Giáo án Hoạt động trải nghiệm 7 Kết nối tri thức - HK 2
- Giáo án Hoạt động trải nghiệm 7 Chân trời sáng tạo (WORD)
- Giáo án Hoạt động trải nghiệm 7 Cánh Diều (WORD)
- Giáo án Hoạt động trải nghiệm 7 Cánh Diều - HK 1
- Giáo án Hoạt động trải nghiệm 7 Cánh Diều - HK 2
- Giáo án điện tử Hoạt động trải nghiệm 7 Kết nối tri thức (PPT)
- PowerPoint Hoạt động trải nghiệm 7 Kết nối tri thức - Kì 1
- PowerPoint Hoạt động trải nghiệm 7 Kết nối tri thức - Kì 2
- Giáo án điện tử Hoạt động trải nghiệm 7 Chân trời sáng tạo (PPT)
- Giáo án Giáo dục địa phương 7 Hà Nội 2026
- Giáo án Powerpoint Giáo dục địa phương 7 Hà Nội
- Giáo án Giáo dục địa phương 7 Hà Nội - Kì 1
- Giáo án Giáo dục địa phương 7 Hà Nội - Kì 2
- Giáo án Giáo dục địa phương 7 Bình Dương
- Giáo án PowerPoint Giáo dục địa phương 7 Vĩnh Phúc
- Giáo án Giáo dục địa phương lớp 7 Vĩnh Phúc
- Giáo án môn Giáo dục địa phương 7 Thanh Hóa
Giáo án lớp 7 tải nhiều
-
Video AI khởi động Địa lí 7
-
Video AI khởi động Địa lí 7 Bài 17: Đặc điểm dân cư, xã hội Trung và Nam Mỹ, khai thác, sử dụng và bảo vệ rừng A ma dôn
-
Video AI khởi động Địa lí 7 Bài 15: Đặc điểm dân cư, xã hội, phương thức khai thác tự nhiên bền vững ở Bắc Mỹ
-
Video AI khởi động Địa lí 7 Bài 14: Đặc điểm tự nhiên Bắc Mỹ
-
Video AI khởi động Địa lí 7 Bài 13: Vị trí địa lí phạm vi châu Mỹ Sự phát kiến ra châu Mỹ
-
Video AI khởi động Địa lí 7 Bài 12: Thực hành Tìm hiểu khái quát Cộng hòa Nam Phi
-
Video AI khởi động Địa lí 7 Bài 16: Đặc điểm tự nhiên Trung và Nam Mỹ
-
Video AI khởi động Địa lí 7 Bài 19: Châu Nam Cực
-
Video AI khởi động Địa lí 7 Bài 18: Châu Đại Dương
-
Trò chơi khởi động Địa lí 7 Bài 18: Châu Đại Dương
Bài viết hay Giáo án lớp 7
-
Giáo án Sinh hoạt lớp 7 Trách nhiệm với bản thân tuần 10
-
PowerPoint Toán 7 Bài tập cuối chương 6
-
PowerPoint Ngữ văn 7 Bài 8: Thực hành Tiếng Việt (trang 64)
-
PowerPoint Hoạt động trải nghiệm 7: Tìm hiểu những nghề hiện có tại địa phương
-
PowerPoint Tiếng Anh 7 Unit 10: Skills 2
-
Trò chơi khởi động Công nghệ 7 Bài 15: Nuôi cá ao


