PowerPoint Toán 8 Bài Luyện tập chung trang 25
Mua tài khoản Hoatieu Pro để trải nghiệm website Hoatieu.vn KHÔNG quảng cáo & Tải nhanh File chỉ từ 99.000đ. Tìm hiểu thêm »
Sau đây là chi tiết bài giảng Toán 8 bài Luyện tập trung trang 25 được trình bày trên phần mềm PowerPoint và Work sẽ rất thuận tiện cho thầy cô trong quá trình sử dụng cũng như chỉnh sửa.
Kế hoạch bài dạy toán 8 Kết nối tri thức bài Luyện tập chung trang 25
Bài giảng PowerPoint Toán 8 Kết nối tri thức Bài Luyện tập chung trang 25




Giáo án Bài Luyện tập chung Toán 8 KNTT
TIẾT 10. BÀI: LUYỆN TẬP CHUNG 4,5
I. MỤC TIÊU
1. Về kiến thức:
-Ôn tập và củng cố các khái niệm về đa thức và các phép tính: nhân đa thức và chia đa thức cho đơn thức ( chia hết)
-Nhắc lại tính chất và quan hệ giữa các phép toán đối với đa thức
2. Về năng lực:
* Năng lực chung:
- Năng lực tự học: HS tự hoàn thành được các nhiệm vụ học tập chuẩn bị ở nhà và tại lớp.
- Năng lực giao tiếp và hợp tác: HS phân công được nhiệm vụ trong nhóm, biết hỗ trợ nhau, trao đổi, thảo luận, thống nhất được ý kiến trong nhóm để hoàn thành nhiệm vụ.
* Năng lực đặc thù:
- Năng lực giao tiếp toán học: HS phát biểu, nhận biết được phép nhân đa thức, đa thức chia hết cho đơn thức.
- Năng lực tư duy và lập luận toán học, năng lực giải quyết vấn đề toán học, năng lực mô hình hóa toán học: thực hiện được các phép biến đổi đơn giản về đa thức, chủ yếu là nhân đa thức và chi đa thức cho đơn thức ( trường hợp chia hết).
3. Về phẩm chất:
- Chăm chỉ: thực hiện đầy đủ các hoạt động học tập một cách tự giác, tích cực.
- Trung thực: thật thà, thẳng thắn trong báo cáo kết quả hoạt động cá nhân và theo nhóm, trong đánh giá và tự đánh giá.
- Trách nhiệm: hoàn thành đầy đủ, có chất lượng các nhiệm vụ học tập.
II. THIẾT BỊ DẠY HỌC VÀ HỌC LIỆU
1. Giáo viên: SGK, kế hoạch bài dạy, thước thẳng, bảng phụ hoặc máy chiếu.
2. Học sinh: SGK, thước thẳng, bảng nhóm.
III. TIỀN TRÌNH BÀI DẠY
1. Hoạt động 1: KIẾN THỨC CẦN NHỚ/ MỞ ĐẦU/ KHỞI ĐỘNG (8 phút)
a) Mục tiêu: Ôn tập kiến thức thực hiện các phép toán trong đa thức
b) Nội dung: Tổ chức trò chơi học tập: HÁI HOA TRÊN CÂY; vẽ sơ đồ tư duy.
c) Sản phẩm: Trò chơi học tập: HÁI HOA TRÊN CÂY
Sơ đồ tư duy
d) Tổ chức thực hiện:
|
Hoạt động của giáo viên và học sinh |
Sản phẩm |
|
* Giao nhiệm vụ 1 - Thực hiện trò chơi: HÁI HOA TRÊN CÂY ( Gv chiếu nội dung trên màn hình) *Thực hiện nhiệm vụ - Giáo viên hướng dẫn HS: luật chơi.( Chiếu luật chơi trên màn hình powerpoin) - Trả lời các câu hỏi trong trò chơi: Câu 1. Kết quả của phép tính 3x2.(-xy) là A. -3x3y; B. 3x3y C. -3x2y ; D. 3xy Câu 2. Kết quả của phép tính - 3x2.(2x+xy-1) là
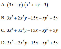
Câu 3. Cho A= 3x+y ; B= x2 + xy - 5; C= A.B Tính C=?
![]() |
Thực hiện trò chơi: HÁI HOA TRÊN CÂY
|
Mời các bạn sử dụng file tải về để xem đầy đủ nội dung chi tiết.
-
Chia sẻ:
Trần Dũng
- Ngày:
PowerPoint Toán 8 Bài Luyện tập chung trang 25
9,1 MB 17/12/2024 2:53:00 CH-
Tải giáo án Toán học 8 Bài Luyện tập chung trang 25
Nhiều người quan tâm
Tham khảo thêm
-
PowerPoint Ngữ văn 9 Bài 5: Viết bài văn nghị luận phân tích một tác phẩm văn học
-
PowerPoint Ngữ văn 9 Bài 6: Phạm Xuân Ẩn - tên người như cuộc đời
-
PowerPoint Ngữ văn 9 Bài 6: Viết truyện kể sáng tạo
-
PowerPoint Ngữ văn 9 Bài 5: Thực hiện cuộc phỏng vấn
-
PowerPoint Ngữ văn 9 Bài 6: Thực hành tiếng Việt
Theo Nghị định 147/2024/ND-CP, bạn cần xác thực tài khoản trước khi sử dụng tính năng này. Chúng tôi sẽ gửi mã xác thực qua SMS hoặc Zalo tới số điện thoại mà bạn nhập dưới đây:
- Chương 1: Đa thức
- Chương 2: Hằng đẳng thức đáng nhớ và ứng dụng
- Chương 3: Tứ giác
- Chương 4: Định lí Thalès
- Chương 5: Dữ liệu và biểu đồ
- Hoạt động thực hành trải nghiệm
- Chương 6: Phân thức đại số
- Chương 7: Phương trình bậc nhất và hàm số bậc nhất
- Chương 8: Mở đầu về tính xác suất của biến cố
- Chương 9: Tam giác đồng dạng
- Chương 10: Một số hình khối trong thực tiễn
Giáo án lớp 8 tải nhiều
-
PowerPoint Lịch sử và Địa lí 8 Chủ đề 2: Bảo vệ chủ quyền, các quyền và lợi ích hợp pháp của Việt Nam ở Biển Đông
-
PowerPoint Lịch sử và Địa lí 8 Chủ đề 1: Văn minh châu thổ sông Hồng và sông Cửu Long
-
PowerPoint Địa lí 8 Bài 12: Môi trường và tài nguyên biển đảo Việt Nam
-
PowerPoint Địa lí 8 Bài 11: Phạm vi Biển Đông Các vùng biển của Việt Nam ở Biển Đông Đặc điểm tự nhiên vùng biển đảo Việt Nam
-
Giáo án Hóa học 8 Cánh Diều 2026 cả năm
-
Giáo án Khoa học tự nhiên 8 Kết nối tri thức cả năm
-
Giáo án Vật lí 8 Kết nối tri thức cả năm
-
Giáo án Sinh học 8 Kết nối tri thức cả năm
-
Giáo án môn Hóa học 8 Kết nối tri thức cả năm
-
Giáo án PowerPoint Mĩ thuật 8 Kết nối tri thức - Kì 2
Bài viết hay Giáo án lớp 8
-
Giáo án Hoạt động trải nghiệm 8 Cánh Diều (chủ đề 1-8)
-
PowerPoint Địa lí 8 Bài 8: Tác động của biến đổi khí hậu đối với khí hậu và thuỷ văn Việt Nam
-
PowerPoint Khoa học tự nhiên 8 Bài 16: Áp suất chất lỏng Áp suất khí quyển
-
PowerPoint Ngữ Văn 8 Bài 2: Thực hành tiếng Việt trang 41
-
PowerPoint Tin học 8 Bài 2: Khai thác thông tin số trong các hoạt động kinh tế xã hội
-
PowerPoint Toán 8 Bài 1: Phương trình bậc nhất một ẩn

