PowerPoint Toán 8 Bài Luyện tập chung trang 23
Mua tài khoản Hoatieu Pro để trải nghiệm website Hoatieu.vn KHÔNG quảng cáo & Tải nhanh File chỉ từ 99.000đ. Tìm hiểu thêm »
Giáo án PowerPoint Toán 8 bài Luyện tập chung trang 23 được thiết kế hiện đại, hiệu ứng trình chiếu đẹp mắt với nhiều bài tập ôn tập, giúp các em học sinh dễ hiểu hơn.
Kế hoạch bài dạy toán 8 Kết nối tri thức bài luyện tập chung trang 23
Bài giảng PowerPoint Toán 8 Kết nối tri thức bài Luyện tập chung trang 23




Giáo án bài Luyện tập chung trang 23 Toán 8 KNTT
LUYỆN TẬP CHUNG
(01 tiết)
I. Mục tiêu:
1. Năng lực
- Điều kiện xác định; giá trị của phân thức đại số; hai phân thức bằng nhau.
- Rút gọn phân thức đại số
- Biết quy đồng mẫu thức nhiều phân thức trong những trường hợp thuận lợi
2. Phẩm chất
- Tự tin trong việc tính toán; giải quyết bài tập chính xác.
- Trung thực trong báo cáo kết quả.
II. Thiết bị dạy học và học liệu
1. Giáo viên: SGK, Tài liệu giảng dạy, giáo án PPT.
2. Học sinh: SGK, SBT, vở ghi, giấy nháp, đồ dùng học tập (bút, thước...), bảng nhóm, bút viết bảng nhóm.
III. Tiến trình dạy học
Hoạt động 1: Phân tích Ví dụ 1
a) Mục tiêu:
- Củng cố kiến thức về phân thức, ĐKXĐ của phân thức, Tính giá trị của phân thức
- Rèn luyện rút gọn phân thức và tính giá trị của phân thức, so sánh giá trị của 2 phân thức
b) Nội dung:
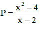
Cho phân thức: 
a) Viết điều kiện xác định của P
b) Rút gọn P và kí hiệu Q là phân thức nhận được
c) Kiểm tra x = 13 có thỏa mãn điều kiện xác định của P hay không. Tính giá trị của P và Q tại x = 13 rồi so sánh hai kết quả
c) Sản phẩm: HS trả lời được câu hỏi.

d) Tổ chức thực hiện:
| Hoạt động của GV - HS | Tiến trình nội dung |
|
Bước 1: Chuyển giao nhiệm vụ: - GV yêu cầu HS đọc Ví dụ 1 - GV hướng dẫn lại cách tính, cách trình bày bài. - Có thể yêu cầu HS nhắc lại: + Cách tìm ĐKXĐ của phân thức + Nêu các rút gọn phân thức Bước 2: Thực hiện nhiệm vụ HS đọc bài, suy nghĩ câu trả lời, thảo luận với các bạn. |
Ví dụ 1 (SGK – trang 13) Cho phân thức: a) Viết điều kiện xác định của P b) Rút gọn P và kí hiệu Q là phân thức nhận được c) Kiểm tra x = 13 có thỏa mãn điều kiện xác định của P hay không. Tính giá trị của P và Q tại x = 13 rồi so sánh hai kết quả Giải:
|
Mời các bạn sử dụng file tải về để xem đầy đủ nội dung chi tiết.
-
Chia sẻ:
Minh Ngọc
- Ngày:
PowerPoint Toán 8 Bài Luyện tập chung trang 23
3,3 MB 19/12/2024 4:33:00 CH-
Tải giáo án Toán 8 Bài Luyện tập chung trang 23
Nhiều người quan tâm
Tham khảo thêm
Theo Nghị định 147/2024/ND-CP, bạn cần xác thực tài khoản trước khi sử dụng tính năng này. Chúng tôi sẽ gửi mã xác thực qua SMS hoặc Zalo tới số điện thoại mà bạn nhập dưới đây:
- Chương 1: Đa thức
- Chương 2: Hằng đẳng thức đáng nhớ và ứng dụng
- Chương 3: Tứ giác
- Chương 4: Định lí Thalès
- Chương 5: Dữ liệu và biểu đồ
- Hoạt động thực hành trải nghiệm
- Chương 6: Phân thức đại số
- Chương 7: Phương trình bậc nhất và hàm số bậc nhất
- Chương 8: Mở đầu về tính xác suất của biến cố
- Chương 9: Tam giác đồng dạng
- Chương 10: Một số hình khối trong thực tiễn
Giáo án lớp 8 tải nhiều
-
PowerPoint Lịch sử và Địa lí 8 Chủ đề 2: Bảo vệ chủ quyền, các quyền và lợi ích hợp pháp của Việt Nam ở Biển Đông
-
PowerPoint Lịch sử và Địa lí 8 Chủ đề 1: Văn minh châu thổ sông Hồng và sông Cửu Long
-
PowerPoint Địa lí 8 Bài 12: Môi trường và tài nguyên biển đảo Việt Nam
-
PowerPoint Địa lí 8 Bài 11: Phạm vi Biển Đông Các vùng biển của Việt Nam ở Biển Đông Đặc điểm tự nhiên vùng biển đảo Việt Nam
-
Giáo án Hóa học 8 Cánh Diều 2026 cả năm
-
Giáo án Khoa học tự nhiên 8 Kết nối tri thức cả năm
-
Giáo án Vật lí 8 Kết nối tri thức cả năm
-
Giáo án Sinh học 8 Kết nối tri thức cả năm
-
Giáo án môn Hóa học 8 Kết nối tri thức cả năm
-
Giáo án PowerPoint Mĩ thuật 8 Kết nối tri thức - Kì 2
Bài viết hay Giáo án lớp 8
-
Giáo án Hoạt động trải nghiệm 8 Cánh Diều (chủ đề 1-8)
-
PowerPoint Địa lí 8 Bài 8: Tác động của biến đổi khí hậu đối với khí hậu và thuỷ văn Việt Nam
-
PowerPoint Khoa học tự nhiên 8 Bài 16: Áp suất chất lỏng Áp suất khí quyển
-
PowerPoint Ngữ Văn 8 Bài 2: Thực hành tiếng Việt trang 41
-
PowerPoint Tin học 8 Bài 2: Khai thác thông tin số trong các hoạt động kinh tế xã hội
-
PowerPoint Toán 8 Bài 1: Phương trình bậc nhất một ẩn
