PowerPoint Toán 8 bài 8: Tổng và hiệu hai lập phương
Mua tài khoản Hoatieu Pro để trải nghiệm website Hoatieu.vn KHÔNG quảng cáo & Tải nhanh File chỉ từ 99.000đ. Tìm hiểu thêm »
Sau đây là chi tiết giáo án Toán 8 bài 8: Tổng và hiệu hai lập phương được trình bày trên phần mềm PowerPoint và Work sẽ rất thuận tiện cho thầy cô trong quá trình sử dụng cũng như chỉnh sửa.
Kế hoạch bài dạy toán 8 Kết nối tri thức bài 8
Bài giảng PowerPoint Toán 8 Kết nối tri thức Bài 8




Giáo án Bài 8 Toán 8 KNTT
BÀI 8. TỔNG VÀ HIỆU HAI LẬP PHƯƠNG
I. MỤC TIÊU:
1. Kiến thức: Học xong bài này, HS đạt các yêu cầu sau:
– Mô tả các hằng đẳng thức tổng, hiệu hai lập phương
- Vận dụng hai hằng đẳng thức này để rút gọn biểu thức hay viết biểu thức dưới dạng tích.
2. Năng lực:
*Năng lực chung:
– Năng lực tự chủ và tự học trong tìm tòi khám phá.
– Năng lực giao tiếp và hợp tác trong trình bày, thảo luận và làm việc nhóm.
– Năng lực giải quyết vấn đề và sáng tạo trong thực hành, vận dụng.
* Năng lực toán học:
– Năng lực tư duy và lập luận toán học: được hình thành thông qua các thao tác như thực hiện rút gọn biểu thức hay viết biểu thức dưới dạng tích.
– Năng lực giao tiếp toán học: được hình thành qua việc HS sử dụng được các thuật ngữ toán học xuất hiện ở bài học trong trình bày, diễn đạt giải toán như rút gọn biểu thức hay viết biểu thức dưới dạng tích.
– Năng lực giải quyết vấn đề toán học: được hình thành qua việc HS phát hiện được vấn đề cần giải quyết và sử dụng được kiến thức, kĩ năng toán học trong bài học để giải quyết vấn đề.
3. Phẩm chất:
– Có ý thức học tập, ý thức tìm tòi, khám phá và sáng tạo, có ý thức làm việc nhóm.
– Chăm chỉ tích cực xây dựng bài, có trách nhiệm, chủ động chiếm lĩnh kiến thức theo sự hướng dẫn của GV.
– Hình thành tư duy logic, lập luận chặt chẽ, và linh hoạt trong quá trình suy nghĩ.
II. THIẾT BỊ DẠY HỌC VÀ HỌC LIỆU
1. Giáo viên: SGK, Tài liệu giảng dạy, giáo án powerpoint, đồ dùng dạy học, thước thẳng có chia khoảng.
2. Học sinh: SGK, SBT, vở ghi, giấy nháp, đồ dùng học tập (bút, thước...), bảng nhóm, bút viết bảng nhóm.
III. TIẾN TRÌNH DẠY HỌC
1. HOẠT ĐỘNG 1: MỞ ĐẦU
a) Mục tiêu:
- Tìm hiểu về tổng hai lập phương và hiệu hai lập phương
‒ Gợi mở động cơ dẫn đến nhu cầu thực hiện phép chia đa thức.
‒ Gợi tâm thế, tạo hứng thú học tập.
b) Nội dung: HS đọc bài toán mở đầu, suy nghĩ trả lời câu hỏi.
c) Sản phẩm: HS trả lời được câu hỏi mở đầu theo nhận thức hiểu biết của bản thân.
d) Tổ chức thực hiện:
–GV yêu cầu HS đọc bài toán mở đầu được trình chiếu trên màn hình:
“Bạn Tròn: Tớ viết được đa thức x6 + y6 dưới dạng tích đấy!
Bạn Vuông: Tròn làm thế nào nhỉ ?"
Chúng ta sẽ học và giải bài này ở phần vận dụng
2. HOẠT ĐỘNG 2: HÌNH THÀNH KIẾN THỨC MỚI
Hoạt động 2.1: Tổng hai lập phương
a) Mục tiêu:
- Thực hiện được phép tính đa thức nhân với đa thức từ đó rút ra được hằng đẳng thức tổng hai lập phương
- Rút gọn biểu thức hay viết được tổng hai lập phương dưới dạng tích.
b) Nội dung
- HS hoạt động nhóm để thực hiện HĐ 1
- Qua nghiên cứu ví dụ SGK học sinh viết được đa thức dưới dạng tích, rút gọn được biểu thức.
- HS hoạt động cá nhân nghiên cứu tài liệu, theo dõi các ví dụ của GV để làm luyện tập1.
c) Sản phẩm: Kiến thức mới được HS chiếm lĩnh
- Hằng đẳng thức tổng hai lập phương
- Rút gọn biểu thức, viết biểu thức dưới dạng tích.
d) Tổ chức thực hiện:
|
Hoạt động của GV và HS |
Nội dung |
|
* Chuyển giao nhiệm vụ: - GV yêu cầu HS thảo luận nhóm đôi thực hiện HĐ1 - GV cho HS rút ra kết luận về tổng hai lập phương. - HS lắng nghe và ghi vào vở - Gv lưu ý HS ta quy ước gọi (A2- AB + B2) là bình phương thiếu của hiệu A - B - HS phát biểu hằng đẳng thức bằng lời: Tổng của hai lập phương bằng tổng hai số đó nhân với bình phương thiếu của hiệu. - GV yêu cầu HS đọc hiểu Ví dụ 1, ví dụ 2 sau đó trình bày và phân tích cho HS Ví dụ 1, ví dụ 2 để HS viết được các đa thức dưới dạng tích, rút gọn các biểu thức. - GV yêu cầu HS hoạt động nhóm thảo luận để làm luyện tập 1 *Thực hiện nhiệm vụ - HS theo dõi SGK, thảo luận theo nhóm đôi để thực hiện HĐ 1 - HS chú ý nghe, tiếp nhận kiến thức, hoàn thành các yêu cầu, thực hiện hoạt động nhóm đôi, kiểm tra chéo đáp án. - HS nghiên cứu các Ví dụ 1, ví dụ 2 - HS làm Luyện tập 1. - GV điều hành, quan sát, hỗ trợ. *Báo cáo kết quả - HS lên bảng làm HĐ 1 - Đại diện nhóm trả lời luyện tập 1 *Đánh giá kết quả GV tổng quát, nhận xét quá trình hoạt động của các HS, cho HS nhắc lại hằng đẳng thức tổng hai lập phương |
1. Tổng hai lập phương HĐ1: (a + b)(a2- ab + b2) = a(a2 – ab + b2)+b(a2 – ab + b2) = a3 - a2b + ab2 + a2b - ab2 + b3 = a3 + b3
* Với A, B là hai biểu thức tùy ý, ta có:
A3 + B3 = (A + B)(A2- AB + B2)
Ví dụ 1: SGK/37
Ví dụ 2:SGK/37
Luyện tập 1:
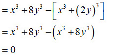
1. Viết x3 + 27 dưới dạng tích x3 + 27 = x3 + 33 = (x + 3)(x2 - 3x + 9) 2. Rút gọn biểu thức x3 + 8y3 – (x + 2y)(x2 – 2xy + 4y2)
|
Mời các bạn sử dụng file tải về để xem đầy đủ nội dung chi tiết.
-
Chia sẻ:
Nguyễn Huyền Trang
- Ngày:
PowerPoint Toán 8 bài 8: Tổng và hiệu hai lập phương
299,6 KB 18/12/2024 8:34:00 SA-
Tải giáo án Toán 8 bài 8: Tổng và hiệu hai lập phương
Nhiều người quan tâm
Tham khảo thêm
Theo Nghị định 147/2024/ND-CP, bạn cần xác thực tài khoản trước khi sử dụng tính năng này. Chúng tôi sẽ gửi mã xác thực qua SMS hoặc Zalo tới số điện thoại mà bạn nhập dưới đây:
- Chương 1: Đa thức
- Chương 2: Hằng đẳng thức đáng nhớ và ứng dụng
- Chương 3: Tứ giác
- Chương 4: Định lí Thalès
- Chương 5: Dữ liệu và biểu đồ
- Hoạt động thực hành trải nghiệm
- Chương 6: Phân thức đại số
- Chương 7: Phương trình bậc nhất và hàm số bậc nhất
- Chương 8: Mở đầu về tính xác suất của biến cố
- Chương 9: Tam giác đồng dạng
- Chương 10: Một số hình khối trong thực tiễn
Giáo án lớp 8 tải nhiều
-
Bộ trò chơi khởi động Công nghệ 8 Kết nối tri thức
-
Trò chơi khởi động Công nghệ 8 Bài 19: Các bước cơ bản trong thiết kế kĩ thuật
-
Trò chơi khởi động Công nghệ 8 Bài 20: Dự án Thiết kế hệ thống tưới cây tự động
-
Trò chơi khởi động Công nghệ 8 Ôn tập chương 5
-
Trò chơi khởi động Công nghệ 8 Bài 18: Giới thiệu về thiết kế kĩ thuật
-
Giáo án Vật lí 8 Kết nối tri thức cả năm
-
Giáo án minh họa tích hợp AI môn Mĩ thuật 6, 7, 8, 9 Chân trời sáng tạo
-
Giáo án minh họa tích hợp AI môn Mĩ thuật 8 Chân trời sáng tạo
-
Giáo án minh họa tích hợp AI môn Lịch sử 8 Chân trời sáng tạo
-
Video AI khởi động Lịch sử 8 Bài 18: Phong trào chống Pháp trong những năm 1885 - 1896
Bài viết hay Giáo án lớp 8
-
PowerPoint Ngữ Văn 8 Bài 7: Nghe và tóm tắt nội dung thuyết trình về một tác phẩm thơ
-
PowerPoint Ngữ Văn 8 Bài 6: Viết bài phân tích một tác phẩm (truyện)
-
PowerPoint Ngữ Văn 8 Bài 6: Chiếc lá cuối cùng
-
Giáo án Sinh hoạt dưới cờ lớp 8 chủ đề: Khám phá một số đặc điểm của bản thân tuần 1
-
PowerPoint Hoạt động trải nghiệm 8 Chủ đề 7 Bài 1: Cảnh quan thiên nhiên quê hương tôi
-
Giáo án Sinh hoạt lớp 8 Rèn luyện bản thân tuần 16
