PowerPoint Toán 8 bài tập cuối chương II
Mua tài khoản Hoatieu Pro để trải nghiệm website Hoatieu.vn KHÔNG quảng cáo & Tải nhanh File chỉ từ 99.000đ. Tìm hiểu thêm »
Giáo án PowerPoint Toán 8 bài tập cuối chương II được thiết kế hiện đại, tích hợp hình ảnh, hiệu ứng trình chiếu đẹp mắt với nhiều bài tập ôn tập, mở rộng kiến thức cho học sinh.
Kế hoạch bài dạy toán 8 Kết nối tri thức Bài tập cuối chương II
Bài giảng PowerPoint Toán 8 Kết nối tri thức Bài tập cuối chương II




Giáo án Bài tập cuối chương II Toán 8 KNTT
BÀI TẬP CUỐI CHƯƠNG II
(01 tiết)
I. Mục tiêu: Sau khi học xong bài này học sinh có khả năng:
1. Về kiến thức:
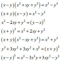
- Hệ thống lại 7 hằng đẳng thức đáng nhớ đã học
- Vận dụng được 7 hằng đẳng thức đáng nhớ để tính nhanh, rút gọn biểu thức , phân tích đa thức thành nhân tử.
-Vận dụng thành thạo 3 cách phân tích đa thức thành nhân tử: đặt nhân tử chung, dùng hằng đẳng thức nhóm hạng tử.
- Giải quyết được một số vấn đề thực tiễn gắn với các 7 hằng đẳng thức đáng nhớ
2. Về năng lực:
* Năng lực chung:
- Năng lực tự chủ và tự học: Hs tự đọc, nghiên cứu sách giáo khoa và hoàn thành được các nhiệm vụ học tập chuẩn bị ở nhà và tại lớp.
- Năng lực giao tiếp và hợp tác: HS biết hỗ trợ nhau, trao đổi, thảo luận, thống nhất được ý kiến trong nhóm để hoàn thành nhiệm vụ.
- Năng lực giải quyết vấn đề và sáng tạo: HS biết vận dụng các tính chất của các phép tính để tính toán một cách linh hoạt, sáng tạo, trình bày bài giải ngắn gọn, hợp lí.
* Năng lực đặc thù:
- Năng lực giao tiếp toán học, sử dụng ngôn ngữ toán: HS chuyển đổi ngôn ngữ, từ ngôn ngữ thông thường sang đọc (nói), viết.
- Năng lực mô hình hóa toán học: Vận dụng hằng đẳng thức đáng nhớ vào tính diện tích hình vuông
- Năng lực sử dụng công cụ và phương tiện toán học cho học sinh: Thông qua những bài toán tính nhanh, tính hợp lí, tính giá trị biểu thức.
3. Về phẩm chất:
- Chăm chỉ: Miệt mài, chú ý lắng nghe, đọc, làm bài tập, vận dụng kiến thức vào thực hiện.
- Trung thực: Trung thực trong hoạt động nhóm và báo cáo kết quả.
- Trách nhiệm: Trách nhiệm của học sinh khi thực hiện hoạt động nhóm, báo cáo kết quả hoạt động nhóm.
II. Thiết bị dạy học và học liệu
1. Giáo viên:
- Giáo án, thước thẳng, máy chiếu.
2. Học sinh:
- Dụng cụ học tập, sách giáo khoa, chuẩn bị bài trước khi đến lớp.
III. Tiến trình dạy học
1. Hoạt động 1: Khởi động (8 phút)
a) Mục tiêu:
- Hệ thống lại 7 hằng đẳng thức đáng nhớ
b) Nội dung:
- Nối 1 ý ở cột 1 và 1 ý ở cột 2 để được hằng đẳng thức đúng
- Làm bài tập trắc nghiệm 2.29 và 2.30 – SGK tr47
c) Sản phẩm:
Câu trả lời của học sinh
d) Tổ chức thực hiện:
|
Hoạt động của GV- HS |
Tiến trình nội dung |
|
* GV giao nhiệm vụ học tập - GV yêu cầu HS thảo luận nhóm bàn để nối 1 câu ở cột 1 và 1 câu ở cột 2 để được hằng đẳng thức đúng Làm bài tập trắc nghiệm 2.29 và 2.30 – SGK tr47 * HS thực hiện nhiệm vụ - HS lắng nghe, quan sát và thực hiện các yêu cầu của giáo viên. - Phương thức hoạt động: HS thảo luận nhóm bàn. * Báo cáo, thảo luận - HS lên thực hiện thao tác ghép câu trên máy tính. - HS cả lớp quan sát, nhận xét câu trả lời của bạn. * Kết luận, nhận định - GV theo dõi, hướng dẫn, giúp đỡ HS thực hiện nhiệm vụ. - GV đánh giá kết quả thực hiện nhiệm vụ của HS. - GV chốt lại kiến thức. - GV đặt vấn đề vào bài. |
Bài 2.29 – SGK tr47 Đáp án D Bài 2.30 – SGK tr47 Đáp án D |
Mời các bạn sử dụng file tải về để xem đầy đủ nội dung chi tiết.
-
Chia sẻ:
Mediterranean sea
- Ngày:
PowerPoint Toán 8 bài tập cuối chương II
2,5 MB 18/12/2024 2:31:00 CH-
Tải giáo án Toán 8 bài tập cuối chương II
Nhiều người quan tâm
Tham khảo thêm
-
PowerPoint Toán 8 bài 6: Hiệu hai bình phương. Bình phương của một tổng hay một hiệu
-
PowerPoint Toán 8 bài 7: Lập phương của một tổng hay một hiệu
-
PowerPoint Toán 8 bài 9: Phân tích đa thức thành nhân tử
-
PowerPoint Toán 8 bài 8: Tổng và hiệu hai lập phương
-
PowerPoint Toán 8 Bài Luyện tập chung trang 25
Theo Nghị định 147/2024/ND-CP, bạn cần xác thực tài khoản trước khi sử dụng tính năng này. Chúng tôi sẽ gửi mã xác thực qua SMS hoặc Zalo tới số điện thoại mà bạn nhập dưới đây:
- Chương 1: Đa thức
- Chương 2: Hằng đẳng thức đáng nhớ và ứng dụng
- Chương 3: Tứ giác
- Chương 4: Định lí Thalès
- Chương 5: Dữ liệu và biểu đồ
- Hoạt động thực hành trải nghiệm
- Chương 6: Phân thức đại số
- Chương 7: Phương trình bậc nhất và hàm số bậc nhất
- Chương 8: Mở đầu về tính xác suất của biến cố
- Chương 9: Tam giác đồng dạng
- Chương 10: Một số hình khối trong thực tiễn
Giáo án lớp 8 tải nhiều
-
Giáo án Khoa học tự nhiên 8 Kết nối tri thức cả năm
-
PowerPoint Lịch sử và Địa lí 8 Chủ đề chung 1: Văn minh châu thổ sông Hồng và sông Cửu Long
-
PowerPoint Lịch sử và Địa lí 8 Chủ đề chung 2: Bảo vệ chủ quyền, các quyền và lợi ích hợp pháp của Việt Nam ở Biển Đông
-
PowerPoint Lịch sử 8 Bài 15: Ấn độ và Đông Nam Á từ nửa sau thế kỉ XIX đến đầu thế kỉ XX
-
PowerPoint Lịch sử 8 Bài 16: Việt Nam dưới thời Nguyễn
-
PowerPoint Lịch sử 8 Bài 17: Cuộc kháng chiến chống thực dân Pháp xâm lược từ năm 1858 đến năm 1884
-
PowerPoint Lịch sử 8 Bài 18: Phong trào chống Pháp trong những năm 1885 - 1896
-
PowerPoint Lịch sử 8 Bài 19: Phong trào yêu nước chống Pháp ở Việt Nam từ đầu thế kỉ XX đến năm 1917
-
PowerPoint Lịch sử 8 Bài 11: Phong trào công nhân từ cuối thế kỉ XVIII đến đầu thế kỉ XX và sự ra đời của chủ nghĩa xã hội khoa học
-
PowerPoint Lịch sử 8 Bài 14: Trung Quốc và Nhật Bản từ nửa sau thế kỉ XIX đến đầu thế kỉ XX
Bài viết hay Giáo án lớp 8
-
PowerPoint Ngữ Văn 8 Bài 9: Viết bài văn kể lại một chuyến đi
-
PowerPoint Ngữ Văn 8 Bài 1: Viết đoạn văn ghi lại cảm nghĩ về một bài thơ tự do
-
PowerPoint Ngữ Văn 8 Bài 3: Tri thức Ngữ Văn
-
(Bài 1-12) Giáo án dạy thêm Hóa học 8 Kết nối tri thức
-
PowerPoint Tiếng Anh 8 Unit 7: A Closer Look 1
-
PowerPoint Toán 8 Bài 2: Các trường hợp đồng dạng của hai tam giác
