Đáp án đề thi chuyên Toán Sư phạm 2025
Mua tài khoản Hoatieu Pro để trải nghiệm website Hoatieu.vn KHÔNG quảng cáo & Tải nhanh File chỉ từ 99.000đ. Tìm hiểu thêm »
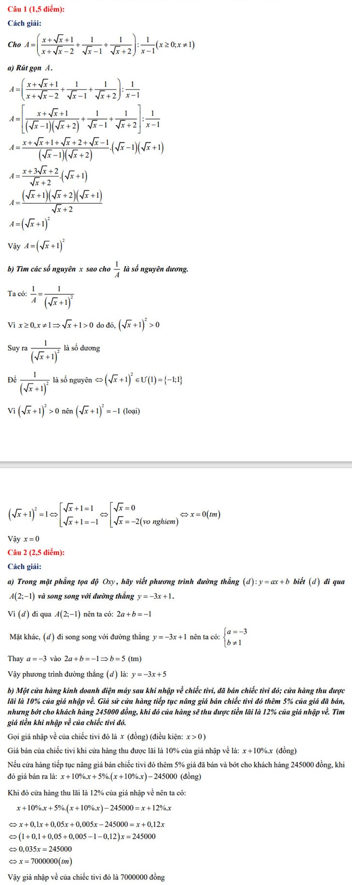
Đáp án đề thi vào 10 môn Toán chuyên Sư phạm
Đáp án đề thi chuyên Toán Sư phạm 2025 được cập nhật đầy đủ và chính xác, giúp thí sinh và phụ huynh đối chiếu kết quả nhanh chóng sau kỳ thi. Bài viết cung cấp đáp án từng câu hỏi trong đề thi chuyên Toán vào Trường THPT Chuyên thuộc Đại học Sư phạm năm 2025, hỗ trợ ôn luyện và đánh giá năng lực hiệu quả. Cùng tham khảo ngay để nắm bắt cấu trúc đề thi, mức độ phân hóa và chiến lược làm bài tối ưu trong các năm tiếp theo.
Lưu ý: Hiện tại đã có đề thi tham khảo cùng với đáp án của kì thi tuyển sinh năm học 2025-2026. Đề thi và đáp án của kì thi chính thức sẽ được Hoatieu cập nhật ngay sau khi hết thời gian làm bài.
Đề minh họa thi vào 10 môn Toán chuyên Sư phạm 2025
Đề Toán chuyên
Đề thi Toán điều kiện chuyên Sư phạm
Đáp án đề tham khảo thi chuyên Toán Sư phạm 2025
Xem trong file tải về.
Đề thi Toán chuyên Sư phạm các năm
Đề thi chuyên Toán Sư phạm 2022
Dành cho lớp chuyên Toán - Tin

Đề thi Toán chuyên Sư phạm 2022 (chung)

Đáp án đề thi Toán chuyên Sư phạm 2022




Đề Toán chung vào trường chuyên Sư phạm Hà Nội 2021

Đề thi tuyển sinh vào lớp 10 môn Toán 2021 (lớp chuyên Toán - Tin)

Đáp án đề thi chuyên Toán đại học Sư phạm 2021



Mời các bạn tham khảo thêm các thông tin hữu ích khác trên chuyên mục Tài liệu của HoaTieu.vn.
-
Chia sẻ:
Trần Thu Trang
- Ngày:
Đáp án đề thi chuyên Toán Sư phạm 2025
2,6 MB 01/06/2022 8:23:00 SATham khảo thêm
-
Đề thi môn Địa chuyên Khoa học xã hội và nhân văn 2022
-
Đáp án đề thi tuyển sinh lớp 10 môn Văn Nam Định 2025
-
Những bài văn thi vào lớp 10 2022
-
Lịch thi tuyển sinh lớp 10 năm 2024 Đà Nẵng
-
Đáp án đề thi tuyển sinh lớp 10 môn Toán Nam Định 2025
-
Lịch thi tuyển sinh lớp 10 năm 2023 Bình Dương
-
Đáp án Đề thi tuyển sinh lớp 10 môn Anh Nam Định năm 2025
-
Tỉ lệ chọi vào lớp 10 năm 2025 Hà Nội
Theo Nghị định 147/2024/ND-CP, bạn cần xác thực tài khoản trước khi sử dụng tính năng này. Chúng tôi sẽ gửi mã xác thực qua SMS hoặc Zalo tới số điện thoại mà bạn nhập dưới đây:
-
Ngữ Văn
- Bộ đề ôn thi vào 10 Ngữ văn Từ sơn Bắc Ninh
- Tài liệu ôn chuyên sâu Ngữ văn thi vào 10
- Chuyên đề ôn thi vào 10 phần Tiếng Việt
- Đề thi vào lớp 10 môn Văn cả nước
- Tổng hợp đề thi chuyên Văn vào 10
- Đề thi Văn vào 10 chương trình mới
- Tuyển tập đề thi vào lớp 10 môn Văn Hà Nội các năm
- Đề thi văn Chuyên sư phạm
- Đề thi tuyển sinh lớp 10 môn Văn Bắc Giang
- Đề tham khảo Ngữ văn vào 10 TP HCM
- Bộ đề nghị luận xã hội chủ đề gia đình
- Bộ đề nghị luận xã hội chủ đề phát triển bản thân
- 110 Đề nghị luận xã hội về một vấn đề cần giải quyết
- 12 Đề nghị luận xã hội về một vấn đề cần giải quyết
- Bộ đề phát triển năng lực Ngữ văn 9
- 185 Nhận định liên hệ mở rộng dành cho cả thơ và văn xuôi
- Cách viết bài văn nghị luận về một vấn đề cần giải quyết
- Cách viết đoạn văn ghi lại cảm nghĩ của em về đoạn thơ, bài thơ
- 7 chuyên đề ôn thi vào 10 môn Văn
- Chuyên đề Đoạn văn nghị luận xã hội hay gặp trong phần đọc hiểu
- Chuyên đề Viết truyện kể sáng tạo
- Chuyên đề Viết đoạn văn ghi lại cảm nghĩ về một bài thơ tám chữ
- Chuyên đề Viết bài văn thuyết minh về một danh lam thắng cảnh hay một di tích lịch sử
- Chuyên đề Viết bài văn nghị luận về một vấn đề cần giải quyết
- Chuyên đề Viết bài văn phân tích một tác phẩm văn học
- Chuyên đề Viết bài văn phân tích một tác phẩm văn học (Truyện, kịch)
-
Toán
- Tuyển tập đề thi vào 10 môn Toán các tỉnh
- Đề thi thử vào 10 môn Toán có đáp án
- Tổng hợp đề thi vào 10 chuyên Toán cả nước
- Đề thi thử vào 10 môn Toán Hà Nội
- Đề thi thử vào 10 môn Toán huyện Lương Tài Bắc Ninh
- Đề minh họa thi vào 10 môn Toán Bà Rịa Vũng Tàu có đáp án
- Đề thi vào 10 chuyên Toán Khoa học tự nhiên có đáp án
- Đáp án đề thi chuyên Toán Sư phạm
- Đề minh họa thi vào lớp 10 môn Toán
- Đề minh họa thi vào lớp 10 môn Toán Hà Nội
- Đề Toán thi vào lớp 10 THPT Nguyễn Tất Thành
- Đề tham khảo thi vào 10 môn Toán An Giang
- Đề tham khảo thi vào 10 môn Toán Quảng Nam
- Đề minh họa thi vào 10 môn Toán chuyên Quảng Ninh
- Đề thi thử vào 10 môn Toán Quảng Ninh
- Đề minh họa thi vào 10 môn Toán chung Quảng Ninh
- Đề tham khảo thi vào 10 môn Toán Hưng Yên
- 50 đề minh họa tuyển sinh 10 môn Toán chương trình mới
- Bộ đề ôn thi vào 10 môn Toán TP HCM
- Đề tham khảo thi vào 10 môn Toán Bắc Ninh
- Đề tham khảo thi vào 10 môn Toán Bắc Giang
- Đề thi thứ vào 10 môn Toán Vĩnh Phúc
- Đề tham khảo thi vào 10 môn Toán Hà Tĩnh
- Đề thi thử vào 10 môn Toán Hải Phòng cấu trúc mới
- Đề thi thử vào 10 môn Toán Nghệ An
- Đề thi thử vào 10 môn Toán Phú Thọ
- Đề tham khảo thi vào 10 môn Toán Phú Thọ
- Đề tham khảo thi vào 10 môn Toán chuyên Hùng Vương Phú Thọ
- Đề thi thử vào 10 môn Toán TP Nam Định
- Đề thi thử vào 10 môn Toán Trực Ninh Nam Định
- Đề minh họa thi vào 10 môn Toán Hà Nam
- Bộ đề ôn thi vào 10 môn Toán Ninh Bình
- Đề thi thử vào 10 môn Toán Yên Định Thanh Hóa
- Đề thi thử vào 10 môn Toán thành phố Thanh Hóa
- Đề thi thử vào 10 môn Toán Quảng Xương Thanh Hóa
- Đề thi thử vào 10 môn Toán Thọ Xuân Thanh Hóa
- Đề thi thử vào 10 môn Toán Thiệu Hóa Thanh Hóa
- Đề thi thử vào 10 môn Toán Hoằng Hóa Thanh Hóa
- Đề thi thử vào 10 môn Toán Hậu Lộc Thanh Hóa
- Đề thi thử vào 10 môn Toán Cẩm Thủy Thanh Hóa
- Đề thi thử vào 10 môn Toán Nga Sơn Thanh Hóa
- Đề thi thử vào 10 môn Toán Như Thanh Thanh Hóa
- Đề thi thử vào 10 môn Toán Nghi Sơn Thanh Hóa
- Đề thi thử vào 10 môn Toán Triệu Sơn Thanh Hóa
- Đề thi thử vào 10 môn Toán Thạch Thành Thanh Hóa
- Đề thi thử vào 10 môn Toán Hà Trung Thanh Hóa
-
Tiếng Anh
- Bộ đề thi thử vào 10 Tiếng Anh Hà Nội có đáp án
- Bộ đề thi vào 10 chuyên Anh toàn quốc chính thức
- Bộ đề minh họa Tiếng Anh vào 10 Hải Phòng
- Bộ đề thi thử vào lớp 10 môn Tiếng Anh Hội An có đáp án
- Đề minh họa thi vào 10 môn Tiếng Anh Hiệp Đức Quảng Nam
- Bộ đề tham khảo thi vào 10 môn Tiếng Anh Điện Bàn - Quảng Nam
- Bộ đề tham khảo thi vào 10 môn Tiếng Anh Tam Kỳ - Quảng Nam
- Bộ đề tham khảo thi vào 10 môn Tiếng Anh Tiên Phước - Quảng Nam
- Bộ đề tham khảo thi vào 10 môn Tiếng Anh Duy Xuyên - Quảng Nam
- Bộ đề tham khảo thi vào 10 môn Tiếng Anh Núi Thành - Quảng Nam
- Bộ đề tham khảo thi vào 10 môn Tiếng Anh Đại Lộc - Quảng Nam
- Bộ đề ôn thi vào 10 môn Tiếng Anh TP HCM
- Đề thi thử Tiếng Anh vào 10 TP HCM có đáp án
- Đề luyện thi vào lớp 10 môn Tiếng Anh Phú Thọ
- Chuyên đề đọc hiểu Tiếng Anh thi vào 10 có đáp án
- Bộ đề tham khảo thi vào 10 môn Tiếng Anh có đáp án
- Bộ đề tham khảo thi vào 10 chuyên Anh
- Đề thi vào 10 môn Tiếng Anh chuyên Sư phạm
- Đề thi chuyên Tin vào lớp 10 Hà Nội
- An Giang
- Bà Rịa - Vũng Tàu
- Bạc Liêu
- Bắc Giang
- Bắc Kạn
- Bắc Ninh
- Bến Tre
- Bình Dương
- Bình Định
- Bình Phước
- Bình Thuận
- Cà Mau
- Cao Bằng
- Cần Thơ
- Đà Nẵng
- Đăk Lắk
- Đắk Nông
- Điện Biên
- Đồng Nai
- Đồng Tháp
- Gia Lai
- Hà Giang
- Hà Nam
- Hà Nội
- Hà Tĩnh
- Hải Dương
- Hải Phòng
- Hậu Giang
- Hòa Bình
- TP HCM
- Huế
- Hưng Yên
- Khánh Hòa
- Kiên Giang
- Kon Tum
- Lai Châu
- Lạng Sơn
- Lào Cai
- Lâm Đồng
- Long An
- Nam Định
- Nghệ An
- Ninh Bình
- Ninh Thuận
- Phú Thọ
- Phú Yên
- Quảng Bình
- Quảng Nam
- Quảng Ngãi
- Quảng Ninh
- Quảng Trị
- Sóc Trăng
- Sơn La
- Tây Ninh
- Thái Bình
- Thái Nguyên
- Thanh Hóa
- Tiền Giang
- Trà Vinh
- Tuyên Quang
- Vĩnh Long
- Vĩnh Phúc
- Yên Bái
Học tập tải nhiều
-
Đề rèn cuối bài học Toán 11 Chương 4 Bài 3: Đường thẳng và mặt phẳng song song (Có đáp án)
-
Đề rèn cuối bài học Toán 11 Chương 4 Bài 4: Hai mặt phẳng song song (Có đáp án)
-
Đề rèn cuối bài học Toán 11 Chương 4 Bài 5: Phép chiếu song song (Có đáp án)
-
Đề rèn cuối bài học Toán 11 Chương 4 Bài 1: Điểm, đường thẳng và mặt phẳng (Có đáp án)
-
Đề rèn cuối bài học Toán 11 Chương 4 Bài 2: Hai đường thẳng song song (Có đáp án)
-
Đề rèn cuối bài học Toán 11 Bài Ôn tập Chương 4 (Có đáp án)
-
Phiếu bài tập cuối tuần lớp 3 môn Tiếng Việt Cánh diều - Tuần 34 (Cơ bản + Nâng cao)
-
Đề rèn cuối bài học Toán 11 Chương 3 Bài 1: Mẫu số liệu ghép nhóm (Có đáp án)
-
Đề rèn cuối bài học Toán 11 Chương 3 Bài 2: Các số đặc trưng đo xu thế trung tâm (Có đáp án)
-
Đề rèn cuối bài học Toán 11 Bài Ôn tập Chương 3 (Có đáp án)
Bài viết hay Học tập
-
Tài liệu tập huấn môn Tiếng Việt bộ sách Cánh diều
-
Đề thi học kì 1 Lịch sử Địa lí 9 Chân trời sáng tạo
-
Qua cách kể và miêu tả của tác giả em cảm nhận sức hấp dẫn của bánh khúc được tạo nên từ đâu
-
Sưu tầm tranh ảnh, giới thiệu về một công trình kiến trúc độc đáo của đất nước ta
-
Thực hành tiếng Việt 9 Kết nối tri thức trang 50
-
Đề thi giữa kì 1 Tiếng Anh 8 Global Success