Đáp án Đề thi tuyển sinh lớp 10 môn Anh Tp HCM 2026
Mua tài khoản Hoatieu Pro để trải nghiệm website Hoatieu.vn KHÔNG quảng cáo & Tải nhanh File chỉ từ 99.000đ. Tìm hiểu thêm »
Đáp án đề thi tuyển sinh lớp 10 môn Anh 2026 TP HCM
Đề thi tuyển sinh lớp 10 môn Anh 2026 Tp HCM - Trong bài viết này Hoatieu sẽ cập nhật các thông tin mới nhất về đáp án đề thi vào 10 môn Anh TP HCM 2026 cùng với đề thi tuyển sinh lớp 10 môn Tiếng Anh 2026-2027 TP HCM chính thức để các em cùng thm khảo, đối chiếu với bài thi sau khi kết thúc thời gian làm bài.
- Đáp án đề văn tuyển sinh lớp 10 năm 2026 TP HCM
- Mới: Đã có đáp án chính thức tuyển sinh 10 TP HCM 2026

Lịch thi tuyển sinh vào lớp 10 TP.HCM năm học 2026-2027 sẽ chính thức diễn ra trong hai ngày 1/6 và 2/6/2026. Theo đó, thí sinh dự tuyển vào các trường THPT công lập sẽ tham gia 3 môn thi bắt buộc gồm Ngữ văn, Toán và Ngoại ngữ. Ngoài ra, những học sinh đăng ký nguyện vọng vào lớp chuyên hoặc lớp tích hợp sẽ dự thi thêm môn chuyên hoặc bài thi tích hợp tương ứng vào chiều ngày 2/6/2026. Mọi thông tin mới nhất về đề thi, đáp án môn Tiếng Anh tuyển sinh lớp 10 TP.HCM năm 2026 sẽ được cập nhật liên tục trong bài viết này. Mời quý phụ huynh và các em học sinh theo dõi.
1. Đáp án đề thi vào lớp 10 môn Tiếng Anh TP HCM 2026
Hoatieu sẽ chia sẻ đáp án đề thi tuyển sinh lớp 10 môn Anh TP HCM 2026 ngay sau khi kết thúc thời gian làm bài thi chính thức.
2. Đề thi vào lớp 10 môn Tiếng Anh TP HCM 2026
Đang cập nhật...
3. Đáp án đề thi vào lớp 10 môn Anh TP HCM 2025
1D - attacked
2C lack
3A answer
4B tradition
5B look them up
6A on
7C went
8B prefer
9C but
10C that
11D
12A
13A
14C
15A
16C
17B
18C
19A
20D
21C
22B
23 True
24 False
25 False
26 True
27B
28A
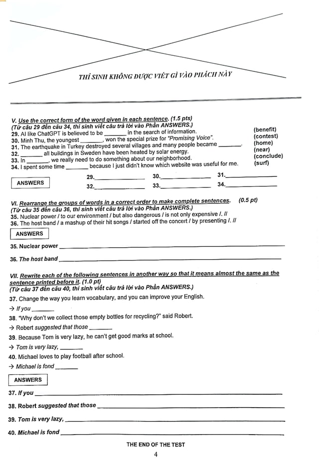
29. attraction
30. pleasant
31. preparing
32. Amazingly
33. scientists
34. damaging
35. provide information
36. provides an opportunity
37. Our car broke down on the way to the beach.
38. Unless he catches the first metro, he will be late for the conference.
39. She hasn’t written to her grandparents since last April.
40. It was such awful weather that we couldn’t go picnicking as planned.
4. Đề thi vào lớp 10 môn Anh TP HCM 2025
5. Đề thi tuyển sinh vào lớp 10 môn Anh TP HCM các năm
Đáp án đề thi vào lớp 10 tiếng Anh TP HCM 2024-2025

Đề tuyển sinh 10 môn Anh TPHCM 2024




Đáp án đề thi tuyển sinh lớp 10 môn Anh TPHCM 2023

Đề thi tuyển sinh lớp 10 môn Anh TPHCM 2023




Đáp án đề thi vào lớp 10 2022 Tp HCM môn tiếng Anh chính thức

| 1.D | .2.C | 3.C | 4.D | 5.C | 6.A | 7.B | 8.B | 9.C | 10.A |
| 11.B | 12.B | 13.A | 14.B | 15.D | 16.B | 17.True | 18.True | 19.False | 20.False |
| 21.C | 22.B | 23.C | 24.B | 25.A | 26.D | 27.D | 28.A |
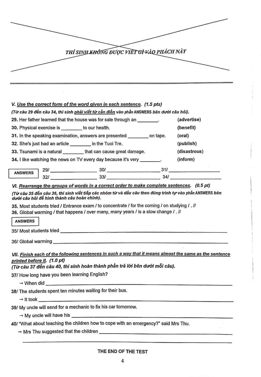
29. advertisement.
30. beneficial
31. orally
32. published
33. disaster
34. informative
35. Most students tried to concentrate on studying for the coming Entrance exam.
36. Global warming is a slow change that happens over many, many years.
37. When did you start learning English?
38. It took the students 10 minutes to wait for their bus.
39. My uncle will have his car fixed by a mechanic tomorrow.
40. Mrs Thu suggested that the children (should) be taught how to cope with an emergency.
Đề thi vào lớp 10 năm 2022 môn Anh Tp HCM




Mời các bạn tham khảo thêm các thông tin hữu ích khác trên chuyên mục Tài liệu của HoaTieu.vn.
-
Chia sẻ:
Trần Thu Trang
- Ngày:
Đáp án Đề thi tuyển sinh lớp 10 môn Anh Tp HCM 2026
506,8 KB 30/05/2026 8:30:00 SATham khảo thêm
-
Đáp án đề thi tuyển sinh lớp 10 môn Anh Gia Lai 2026
-
Đáp án Đề thi tuyển sinh lớp 10 môn Anh Đà Nẵng năm 2026
-
Đáp án đề thi vào 10 môn Toán TP HCM 2026
-
Đáp án đề thi tuyển sinh lớp 10 môn Toán Thừa Thiên Huế 2026
-
Đáp án đề thi tuyển sinh lớp 10 môn Toán Bình Định 2025
-
Đáp án đề thi tuyển sinh lớp 10 môn Toán Đà Nẵng 2026
-
Đáp án đề thi vào lớp 10 môn Văn Lào Cai 2026
Theo Nghị định 147/2024/ND-CP, bạn cần xác thực tài khoản trước khi sử dụng tính năng này. Chúng tôi sẽ gửi mã xác thực qua SMS hoặc Zalo tới số điện thoại mà bạn nhập dưới đây:
-
Ngữ Văn
- Bộ đề ôn thi vào 10 Ngữ văn Từ sơn Bắc Ninh
- Tài liệu ôn chuyên sâu Ngữ văn thi vào 10
- Chuyên đề ôn thi vào 10 phần Tiếng Việt
- Đề thi vào lớp 10 môn Văn cả nước
- Tổng hợp đề thi chuyên Văn vào 10
- Đề thi Văn vào 10 chương trình mới
- Tuyển tập đề thi vào lớp 10 môn Văn Hà Nội các năm
- Bộ đề tham khảo ôn thi vào 10 môn Ngữ văn Hà Nội
- Đề thi văn Chuyên sư phạm
- Đề thi tuyển sinh lớp 10 môn Văn Bắc Giang
- Đề tham khảo Ngữ văn vào 10 TP HCM
- Đề thi thử vào lớp 10 chuyên Văn Lam Sơn
- Bộ đề nghị luận xã hội chủ đề gia đình
- Bộ đề nghị luận xã hội chủ đề phát triển bản thân
- 110 Đề nghị luận xã hội về một vấn đề cần giải quyết
- 12 Đề nghị luận xã hội về một vấn đề cần giải quyết
- Bộ đề phát triển năng lực Ngữ văn 9
- 185 Nhận định liên hệ mở rộng dành cho cả thơ và văn xuôi
- Cách viết bài văn nghị luận về một vấn đề cần giải quyết
- Cách viết đoạn văn ghi lại cảm nghĩ của em về đoạn thơ, bài thơ
- 7 chuyên đề ôn thi vào 10 môn Văn
- Chuyên đề Đoạn văn nghị luận xã hội hay gặp trong phần đọc hiểu
- Chuyên đề Viết truyện kể sáng tạo
- Chuyên đề Viết đoạn văn ghi lại cảm nghĩ về một bài thơ tám chữ
- Chuyên đề Viết bài văn thuyết minh về một danh lam thắng cảnh hay một di tích lịch sử
- Chuyên đề Viết bài văn nghị luận về một vấn đề cần giải quyết
- Chuyên đề Viết bài văn phân tích một tác phẩm văn học
- Chuyên đề Viết bài văn phân tích một tác phẩm văn học (Truyện, kịch)
-
Toán
- Tuyển tập đề thi vào 10 môn Toán các tỉnh
- Đề thi thử vào 10 môn Toán có đáp án
- Tổng hợp đề thi vào 10 chuyên Toán cả nước
- Đề thi thử vào 10 môn Toán Hà Nội
- Đề thi thử vào 10 môn Toán huyện Lương Tài Bắc Ninh
- Đề minh họa thi vào 10 môn Toán Bà Rịa Vũng Tàu có đáp án
- Đề thi vào 10 chuyên Toán Khoa học tự nhiên có đáp án
- Đáp án đề thi chuyên Toán Sư phạm
- Đề minh họa thi vào lớp 10 môn Toán
- Đề minh họa thi vào lớp 10 môn Toán Hà Nội
- Đề Toán thi vào lớp 10 THPT Nguyễn Tất Thành
- Đề tham khảo thi vào 10 môn Toán An Giang
- Đề tham khảo thi vào 10 môn Toán Quảng Nam
- Đề minh họa thi vào 10 môn Toán chuyên Quảng Ninh
- Đề thi thử vào 10 môn Toán Quảng Ninh
- Đề minh họa thi vào 10 môn Toán chung Quảng Ninh
- Đề tham khảo thi vào 10 môn Toán Hưng Yên
- 50 đề minh họa tuyển sinh 10 môn Toán chương trình mới
- Bộ đề ôn thi vào 10 môn Toán TP HCM
- Đề tham khảo thi vào 10 môn Toán Bắc Ninh
- Đề tham khảo thi vào 10 môn Toán Bắc Giang
- Đề thi thứ vào 10 môn Toán Vĩnh Phúc
- Đề tham khảo thi vào 10 môn Toán Hà Tĩnh
- Đề thi thử vào 10 môn Toán Hải Phòng cấu trúc mới
- Đề thi thử vào 10 môn Toán Nghệ An
- Đề thi thử vào 10 môn Toán Phú Thọ
- Đề tham khảo thi vào 10 môn Toán Phú Thọ
- Đề tham khảo thi vào 10 môn Toán chuyên Hùng Vương Phú Thọ
- Đề thi thử vào 10 môn Toán TP Nam Định
- Đề thi thử vào 10 môn Toán Trực Ninh Nam Định
- Đề minh họa thi vào 10 môn Toán Hà Nam
- Bộ đề ôn thi vào 10 môn Toán Ninh Bình
- Đề thi thử vào 10 môn Toán Yên Định Thanh Hóa
- Đề thi thử vào 10 môn Toán thành phố Thanh Hóa
- Đề thi thử vào 10 môn Toán Quảng Xương Thanh Hóa
- Đề thi thử vào 10 môn Toán Thọ Xuân Thanh Hóa
- Đề thi thử vào 10 môn Toán Thiệu Hóa Thanh Hóa
- Đề thi thử vào 10 môn Toán Hoằng Hóa Thanh Hóa
- Đề thi thử vào 10 môn Toán Hậu Lộc Thanh Hóa
- Đề thi thử vào 10 môn Toán Cẩm Thủy Thanh Hóa
- Đề thi thử vào 10 môn Toán Nga Sơn Thanh Hóa
- Đề thi thử vào 10 môn Toán Như Thanh Thanh Hóa
- Đề thi thử vào 10 môn Toán Nghi Sơn Thanh Hóa
- Đề thi thử vào 10 môn Toán Triệu Sơn Thanh Hóa
- Đề thi thử vào 10 môn Toán Thạch Thành Thanh Hóa
- Đề thi thử vào 10 môn Toán Hà Trung Thanh Hóa
-
Tiếng Anh
- Bộ đề thi thử vào 10 Tiếng Anh Hà Nội có đáp án
- Bộ đề thi vào 10 chuyên Anh toàn quốc chính thức
- Bộ đề minh họa Tiếng Anh vào 10 Hải Phòng
- Bộ đề thi thử vào lớp 10 môn Tiếng Anh Hội An có đáp án
- Đề minh họa thi vào 10 môn Tiếng Anh Hiệp Đức Quảng Nam
- Bộ đề tham khảo thi vào 10 môn Tiếng Anh Điện Bàn - Quảng Nam
- Bộ đề tham khảo thi vào 10 môn Tiếng Anh Tam Kỳ - Quảng Nam
- Bộ đề tham khảo thi vào 10 môn Tiếng Anh Tiên Phước - Quảng Nam
- Bộ đề tham khảo thi vào 10 môn Tiếng Anh Duy Xuyên - Quảng Nam
- Bộ đề tham khảo thi vào 10 môn Tiếng Anh Núi Thành - Quảng Nam
- Bộ đề tham khảo thi vào 10 môn Tiếng Anh Đại Lộc - Quảng Nam
- Bộ đề ôn thi vào 10 môn Tiếng Anh TP HCM
- Đề thi thử Tiếng Anh vào 10 TP HCM có đáp án
- Đề luyện thi vào lớp 10 môn Tiếng Anh Phú Thọ
- Chuyên đề đọc hiểu Tiếng Anh thi vào 10 có đáp án
- Bộ đề tham khảo thi vào 10 môn Tiếng Anh có đáp án
- Bộ đề tham khảo thi vào 10 chuyên Anh
- Đề thi vào 10 môn Tiếng Anh chuyên Sư phạm
- Đề thi chuyên Tin vào lớp 10 Hà Nội
- Đề tham khảo thi vào lớp 10 môn Tiếng Anh tỉnh Khánh Hòa
- An Giang
- Bà Rịa - Vũng Tàu
- Bạc Liêu
- Bắc Giang
- Bắc Kạn
- Bắc Ninh
- Bến Tre
- Bình Dương
- Bình Định
- Bình Phước
- Bình Thuận
- Cà Mau
- Cao Bằng
- Cần Thơ
- Đà Nẵng
- Đăk Lắk
- Đắk Nông
- Điện Biên
- Đồng Nai
- Đồng Tháp
- Gia Lai
- Hà Giang
- Hà Nam
- Hà Nội
- Hà Tĩnh
- Hải Dương
- Hải Phòng
- Hậu Giang
- Hòa Bình
- TP HCM
- Huế
- Hưng Yên
- Khánh Hòa
- Kiên Giang
- Kon Tum
- Lai Châu
- Lạng Sơn
- Lào Cai
- Lâm Đồng
- Long An
- Nam Định
- Nghệ An
- Ninh Bình
- Ninh Thuận
- Phú Thọ
- Phú Yên
- Quảng Bình
- Quảng Nam
- Quảng Ngãi
- Quảng Ninh
- Quảng Trị
- Sóc Trăng
- Sơn La
- Tây Ninh
- Thái Bình
- Thái Nguyên
- Thanh Hóa
- Tiền Giang
- Trà Vinh
- Tuyên Quang
- Vĩnh Long
- Vĩnh Phúc
- Yên Bái
Thi vào lớp 10 tải nhiều
-
Đáp án đề thi vào lớp 10 môn Toán tỉnh Thanh Hóa năm 2026
-
Đáp án đề thi vào 10 môn Văn Hà Nội 2026
-
Đáp án đề thi tuyển sinh lớp 10 môn Văn Sơn La 2026
-
Đáp án đề thi tuyển sinh lớp 10 môn Toán Sơn La 2026
-
Đáp án Đề thi tuyển sinh lớp 10 môn Anh Sơn La 2026
-
Đáp án đề thi tuyển sinh lớp 10 môn Anh An Giang 2026
-
Đề thi tuyển sinh lớp 10 môn Văn An Giang 2026
-
Đáp án đề thi tuyển sinh lớp 10 môn Toán An Giang 2026
-
Đáp án đề thi tuyển sinh lớp 10 môn Văn Tây Ninh 2026
-
Đáp án đề thi tuyển sinh lớp 10 môn Anh Tây Ninh 2026