Đáp án đề thi tuyển sinh lớp 10 môn Toán Đồng Nai 2025
Mua tài khoản Hoatieu Pro để trải nghiệm website Hoatieu.vn KHÔNG quảng cáo & Tải nhanh File chỉ từ 99.000đ. Tìm hiểu thêm »
Đáp án đề thi tuyển sinh lớp 10 môn Toán 2025 Đồng Nai
- 1. Đề thi tuyển sinh lớp 10 môn Toán Đồng Nai 2025
- 2. Đáp án đề Toán vào 10 Đồng Nai 2025-2026
- 3. Đáp án đề thi tuyển sinh lớp 10 môn Toán Đồng Nai 2024-2025
- 4. Đề thi tuyển sinh lớp 10 môn Toán Đồng Nai 2024-2025
- 5. Đáp án đề thi tuyển sinh lớp 10 môn Toán 2023 Đồng Nai
- 6. Đề thi tuyển sinh lớp 10 môn Toán 2023 Đồng Nai
- 7. Đáp án đề thi vào 10 2022 môn Toán Đồng Nai
- 8. Đề thi tuyển sinh lớp 10 2022 Đồng Nai môn Toán
- 9. Đề thi vào lớp 10 năm 2021 môn Toán tỉnh Đồng Nai
- 10. Đáp án đề thi vào lớp 10 năm 2021 môn Toán tỉnh Đồng Nai
Đề thi tuyển sinh lớp 10 năm 2025-2026 Đồng Nai môn Toán - Kỳ thi vào lớp 10 năm 2025 của tỉnh Đồng Nai đã cận kề. Để tiện cho các em học sinh có thêm tài liệu so sánh và đối chiếu với kết quả bài làm sau khi kì thi kết thúc. Trong bài viết này Hoatieu xin chia sẻ đề thi tuyển sinh lớp 10 môn Toán Đồng Nai 2025 cùng với đáp án đề thi vào 10 môn Toán Đồng Nai 2025, mời các bạn cùng tham khảo.
Kỳ thi tuyển sinh lớp 10 tỉnh Đồng Nai năm học 2025-2026 sẽ diễn ra trong 02 ngày từ ngày 29/5/2025 đến ngày 30/5/2025. Theo đó, kỳ thi tuyển sinh vào lớp 10 THPT sẽ diễn ra trong 2 ngày 29 và 30-5 với 3 môn là Toán, Ngữ văn và môn tự chọn là tiếng Anh. So với năm trước, kỳ thi năm nay sớm hơn 1 tuần.

Lưu ý: Đáp án đề thi tuyển sinh lớp 10 môn Toán Đồng Nai 2025 sẽ được Hoatieu cập nhật ngay sau khi kì thi kết thúc.
1. Đáp án đề Toán vào 10 Đồng Nai 2025-2026

Câu 2.







2. Đề thi tuyển sinh lớp 10 môn Toán Đồng Nai 2025


3. Đáp án đề thi tuyển sinh lớp 10 môn Toán Đồng Nai 2024-2025
Đáp án đề thi tuyển sinh lớp 10 môn Toán 2024 Đồng Nai đang được các thầy cô giải. Các em nhấn F5 liên tục để xem đáp án mới nhất.


Câu 5




4. Đề thi tuyển sinh lớp 10 môn Toán Đồng Nai 2024-2025

5. Đáp án đề thi tuyển sinh lớp 10 môn Toán 2023 Đồng Nai
Đáp án đề thi vào lớp 10 môn Toán Đồng Nai đang được các thầy cô giải. Các em mở sẵn bài viết, chờ 1 lúc rồi nhấn F5 để xem đáp án.









6. Đề thi tuyển sinh lớp 10 môn Toán 2023 Đồng Nai

7. Đáp án đề thi vào 10 2022 môn Toán Đồng Nai









8. Đề thi tuyển sinh lớp 10 2022 Đồng Nai môn Toán

9. Đề thi vào lớp 10 năm 2021 môn Toán tỉnh Đồng Nai

10. Đáp án đề thi vào lớp 10 năm 2021 môn Toán tỉnh Đồng Nai
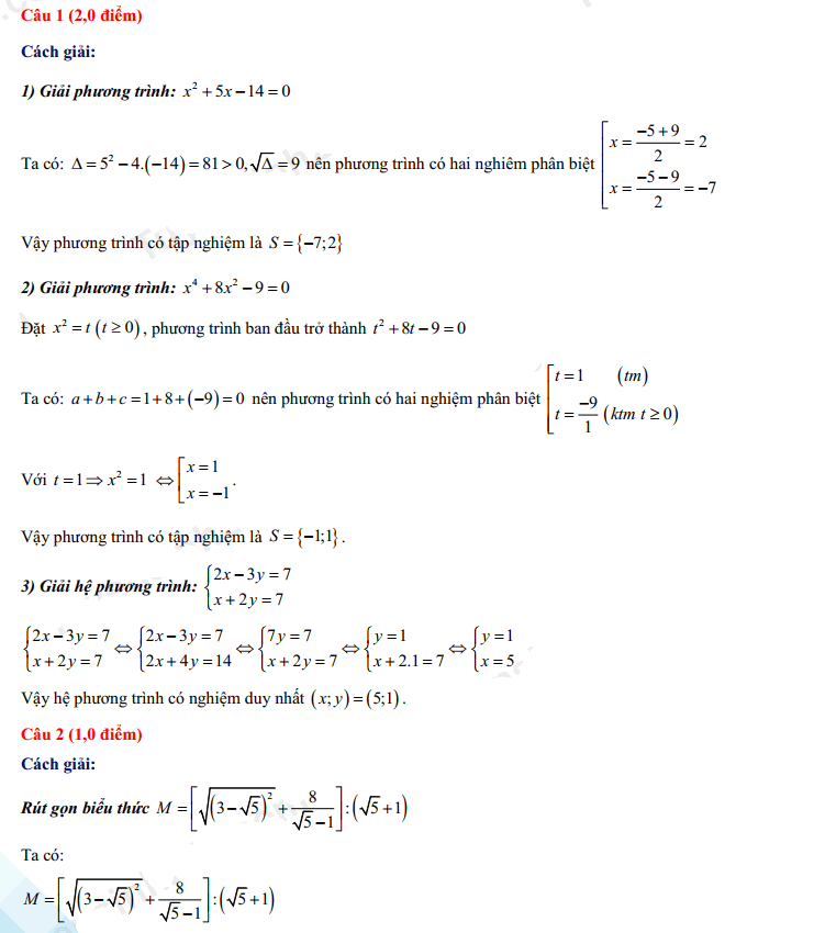
Câu 1: (2 điểm)
1) Giải phương trinh
\(x^{2}+3 x-10=0\)
Ta có:
\(\Delta=3^{2}-4 \cdot(-10)=49>0\) nên phương trình có 2 nghiệm phân biệt
\(\left[\begin{array}{l}x_{1}=\frac{-3+\sqrt{49}}{2}=2 \\ x_{2}=\frac{-3-\sqrt{49}}{2}=-5\end{array}\right.\)
Vậy tập nghiệm của bất phương trình là
\(S=\{2 ;-5\}\).
2) Giải phương trình
\(3 x^{4}+2 x^{2}-5=0\)
Đặt
\(t=x^{2}(t \geq 0)\), phương trình đã cho trở thành
\(3 t^{2}+2 t-5=0\).
Ta có
\(a+b+c=2+3-5=0\) nên phương trình có 2 nghiệm phân biệt
\(\left[\begin{array}{l}t_{1}=1(\mathrm{tm}) \\ t_{2}=\frac{c}{a}=-\frac{5}{3}(\mathrm{ktm})\end{array}\right.\).
Với
\(t=1 \Rightarrow x^{2}=1 \Leftrightarrow x=\pm 1\).
Vậy tập nghiệm của phương trình .
3) Giải hệ phương trình
\(\left\{\begin{array}{l}2 x-3 y=1 \\ x+2 y=4\end{array}\right.\)
Ta có:
\(\left\{\begin{array}{l}2 x-3 y=1 \\ x+2 y=4\end{array} \Leftrightarrow\left\{\begin{array}{l}2 x-3 y=1 \\ 2 x+4 y=8\end{array} \Leftrightarrow\left\{\begin{array}{l}7 y=7 \\ x=4-2 y\end{array} \Leftrightarrow\left\{\begin{array}{l}y=1 \\ x=2\end{array}\right.\right.\right.\right.\)
Vậy hệ phương trình có nghiệm
\((x ; y)=(2 ; 1)\).
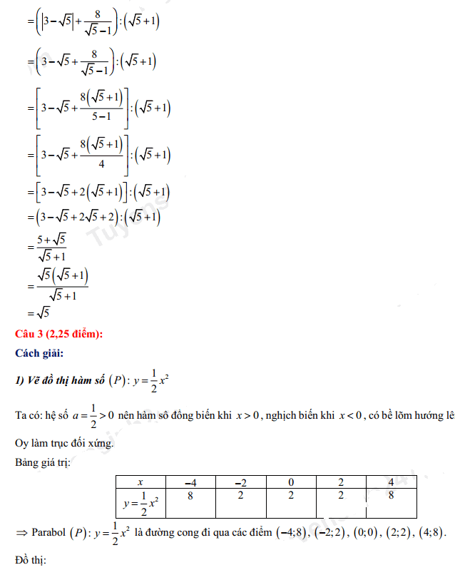
Câu 2: (2,25 điểm)
1. Vẽ đồ thị hàm số (P): y = x2
Parabol (P): y = x2 có bề lõm hướng lên và nhận Oy làm trục đối xứng
Ta có bảng giá trị sau:
| x | -2 | -1 | 0 | 1 | 2 |
| y = x2 | 4 | 1 | 0 | 1 | 4 |
⇒ Parabol (P): y = x2 đi qua các điểm (-2;4), (-1,1); (0;0), (1;1), (2,4)
Đồ thị Parabol (P): y = x2:

2) Tìm giá trị của tham số thực m để Parabol (P): y = x2 và đường thẳng
\((d): y=2 x-3 m\) có đúng một điểm chung.
Xét phương trình hoành độ giao điểm của (P), (d) ta được:
\(x^{2}=2 x-3 m \Leftrightarrow x^{2}-2 x+3 m=0 \text { (1) }\)
Để (P) cắt (d) có đúng một điểm chung khi và chi khi (1) có nghiệm kép
\(\Leftrightarrow \Delta^{\prime}=0 \Leftrightarrow 1-3 m=0 \Leftrightarrow m=\frac{1}{3}\)
Vậy
\(m=\frac{1}{3}\) thỏa mãn yêu cầu bài toán.
3) Cho phương trình
\(x^{2}+5 x-4\). Gọi
\(x_{1}, x_{2}\) là hai nghiệm phân biệt của phương trình, hãy tinh giả trị của biểu thức
\(Q=x_{1}^{2}+x_{2}^{2}+6 x_{1} x_{2}\)
Vì
\(x_{1}, x_{2}\) là hai nghiệm phân biệt của phương trình đã cho nên áp dụng hệ thức Vi-et với phương trình
\(x^{2}+5 x-4=0\) ta có:
\(\left\{\begin{array}{l}x_{1}+x_{2}=-5 \\ x_{1} x_{2}=-4\end{array}\right.\).
Ta có:
\(Q=x_{1}^{2}+x_{2}^{2}+6 x_{1} x_{2}=\left(x_{1}+x_{2}\right)^{2}-2 x_{1} x_{2}+6 x_{1} x_{2}=\left(x_{1}+x_{2}\right)^{2}+4 x_{1} x_{2}\)
\(\Rightarrow Q=(-5)^{2}+4(-4)=9\)
Vậy Q=9.
Câu 3: (1 điểm)
\(A=\left(\frac{x-4}{\sqrt{x}-2}+\frac{x-2 \sqrt{x}}{\sqrt{x}}\right): \sqrt{x}\) với
\((\left.x>0, x \neq 4\right)\)
Với
\(x>0, x \neq 4\) ta có:
\(A=\left(\frac{x-4}{\sqrt{x}-2}+\frac{x-2 \sqrt{x}}{\sqrt{x}}\right): \sqrt{x}\)
\(A=\left(\frac{(\sqrt{x}+2)(\sqrt{x}-2)}{\sqrt{x}-2}+\frac{\sqrt{x}(\sqrt{x}-2)}{\sqrt{x}}\right): \sqrt{x}\)
\(A=(\sqrt{x}+2+\sqrt{x}-2) \cdot \frac{1}{\sqrt{x}}\)
\(A=2 \sqrt{x} \cdot \frac{1}{\sqrt{x}}=2\)
Vậy với
\(x>0, x \neq 4\) thì A=2.
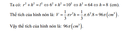
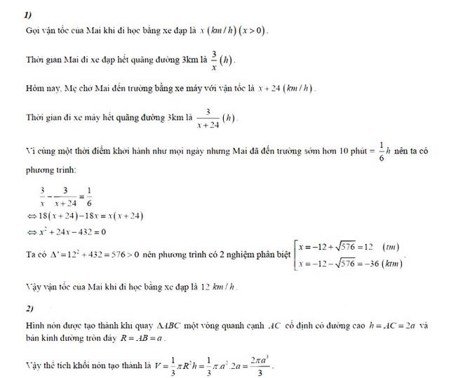
Câu 4:

Câu 5


Mời các bạn tham khảo thêm các thông tin hữu ích khác trên chuyên mục Tài liệu của HoaTieu.vn.
-
Chia sẻ:
Nhung Nguyễn
- Ngày:
Tham khảo thêm
-
Đáp án đề thi vào lớp 10 môn Toán Lào Cai 2025
-
Đáp án đề thi vào lớp 10 môn Văn Lai Châu 2025
-
Đáp án đề thi tuyển sinh lớp 10 môn Anh Lai Châu 2025
-
Đáp án đề thi tuyển sinh lớp 10 môn Anh Trà Vinh 2025
-
Đáp án đề thi tuyển sinh lớp 10 môn Toán Khánh Hòa 2025
-
Đáp án đề thi tuyển sinh lớp 10 môn Anh Lào Cai 2025
-
Đáp án đề thi tuyển sinh lớp 10 môn Toán Lai Châu 2025
Theo Nghị định 147/2024/ND-CP, bạn cần xác thực tài khoản trước khi sử dụng tính năng này. Chúng tôi sẽ gửi mã xác thực qua SMS hoặc Zalo tới số điện thoại mà bạn nhập dưới đây:
-
Ngữ Văn
- Bộ đề ôn thi vào 10 Ngữ văn Từ sơn Bắc Ninh
- Tài liệu ôn chuyên sâu Ngữ văn thi vào 10
- Chuyên đề ôn thi vào 10 phần Tiếng Việt
- Đề thi vào lớp 10 môn Văn cả nước
- Tổng hợp đề thi chuyên Văn vào 10
- Đề thi Văn vào 10 chương trình mới
- Tuyển tập đề thi vào lớp 10 môn Văn Hà Nội các năm
- Bộ đề tham khảo ôn thi vào 10 môn Ngữ văn Hà Nội
- Đề thi văn Chuyên sư phạm
- Đề thi tuyển sinh lớp 10 môn Văn Bắc Giang
- Đề tham khảo Ngữ văn vào 10 TP HCM
- Bộ đề nghị luận xã hội chủ đề gia đình
- Bộ đề nghị luận xã hội chủ đề phát triển bản thân
- 110 Đề nghị luận xã hội về một vấn đề cần giải quyết
- 12 Đề nghị luận xã hội về một vấn đề cần giải quyết
- Bộ đề phát triển năng lực Ngữ văn 9
- 185 Nhận định liên hệ mở rộng dành cho cả thơ và văn xuôi
- Cách viết bài văn nghị luận về một vấn đề cần giải quyết
- Cách viết đoạn văn ghi lại cảm nghĩ của em về đoạn thơ, bài thơ
- 7 chuyên đề ôn thi vào 10 môn Văn
- Chuyên đề Đoạn văn nghị luận xã hội hay gặp trong phần đọc hiểu
- Chuyên đề Viết truyện kể sáng tạo
- Chuyên đề Viết đoạn văn ghi lại cảm nghĩ về một bài thơ tám chữ
- Chuyên đề Viết bài văn thuyết minh về một danh lam thắng cảnh hay một di tích lịch sử
- Chuyên đề Viết bài văn nghị luận về một vấn đề cần giải quyết
- Chuyên đề Viết bài văn phân tích một tác phẩm văn học
- Chuyên đề Viết bài văn phân tích một tác phẩm văn học (Truyện, kịch)
-
Toán
- Tuyển tập đề thi vào 10 môn Toán các tỉnh
- Đề thi thử vào 10 môn Toán có đáp án
- Tổng hợp đề thi vào 10 chuyên Toán cả nước
- Đề thi thử vào 10 môn Toán Hà Nội
- Đề thi thử vào 10 môn Toán huyện Lương Tài Bắc Ninh
- Đề minh họa thi vào 10 môn Toán Bà Rịa Vũng Tàu có đáp án
- Đề thi vào 10 chuyên Toán Khoa học tự nhiên có đáp án
- Đáp án đề thi chuyên Toán Sư phạm
- Đề minh họa thi vào lớp 10 môn Toán
- Đề minh họa thi vào lớp 10 môn Toán Hà Nội
- Đề Toán thi vào lớp 10 THPT Nguyễn Tất Thành
- Đề tham khảo thi vào 10 môn Toán An Giang
- Đề tham khảo thi vào 10 môn Toán Quảng Nam
- Đề minh họa thi vào 10 môn Toán chuyên Quảng Ninh
- Đề thi thử vào 10 môn Toán Quảng Ninh
- Đề minh họa thi vào 10 môn Toán chung Quảng Ninh
- Đề tham khảo thi vào 10 môn Toán Hưng Yên
- 50 đề minh họa tuyển sinh 10 môn Toán chương trình mới
- Bộ đề ôn thi vào 10 môn Toán TP HCM
- Đề tham khảo thi vào 10 môn Toán Bắc Ninh
- Đề tham khảo thi vào 10 môn Toán Bắc Giang
- Đề thi thứ vào 10 môn Toán Vĩnh Phúc
- Đề tham khảo thi vào 10 môn Toán Hà Tĩnh
- Đề thi thử vào 10 môn Toán Hải Phòng cấu trúc mới
- Đề thi thử vào 10 môn Toán Nghệ An
- Đề thi thử vào 10 môn Toán Phú Thọ
- Đề tham khảo thi vào 10 môn Toán Phú Thọ
- Đề tham khảo thi vào 10 môn Toán chuyên Hùng Vương Phú Thọ
- Đề thi thử vào 10 môn Toán TP Nam Định
- Đề thi thử vào 10 môn Toán Trực Ninh Nam Định
- Đề minh họa thi vào 10 môn Toán Hà Nam
- Bộ đề ôn thi vào 10 môn Toán Ninh Bình
- Đề thi thử vào 10 môn Toán Yên Định Thanh Hóa
- Đề thi thử vào 10 môn Toán thành phố Thanh Hóa
- Đề thi thử vào 10 môn Toán Quảng Xương Thanh Hóa
- Đề thi thử vào 10 môn Toán Thọ Xuân Thanh Hóa
- Đề thi thử vào 10 môn Toán Thiệu Hóa Thanh Hóa
- Đề thi thử vào 10 môn Toán Hoằng Hóa Thanh Hóa
- Đề thi thử vào 10 môn Toán Hậu Lộc Thanh Hóa
- Đề thi thử vào 10 môn Toán Cẩm Thủy Thanh Hóa
- Đề thi thử vào 10 môn Toán Nga Sơn Thanh Hóa
- Đề thi thử vào 10 môn Toán Như Thanh Thanh Hóa
- Đề thi thử vào 10 môn Toán Nghi Sơn Thanh Hóa
- Đề thi thử vào 10 môn Toán Triệu Sơn Thanh Hóa
- Đề thi thử vào 10 môn Toán Thạch Thành Thanh Hóa
- Đề thi thử vào 10 môn Toán Hà Trung Thanh Hóa
-
Tiếng Anh
- Bộ đề thi thử vào 10 Tiếng Anh Hà Nội có đáp án
- Bộ đề thi vào 10 chuyên Anh toàn quốc chính thức
- Bộ đề minh họa Tiếng Anh vào 10 Hải Phòng
- Bộ đề thi thử vào lớp 10 môn Tiếng Anh Hội An có đáp án
- Đề minh họa thi vào 10 môn Tiếng Anh Hiệp Đức Quảng Nam
- Bộ đề tham khảo thi vào 10 môn Tiếng Anh Điện Bàn - Quảng Nam
- Bộ đề tham khảo thi vào 10 môn Tiếng Anh Tam Kỳ - Quảng Nam
- Bộ đề tham khảo thi vào 10 môn Tiếng Anh Tiên Phước - Quảng Nam
- Bộ đề tham khảo thi vào 10 môn Tiếng Anh Duy Xuyên - Quảng Nam
- Bộ đề tham khảo thi vào 10 môn Tiếng Anh Núi Thành - Quảng Nam
- Bộ đề tham khảo thi vào 10 môn Tiếng Anh Đại Lộc - Quảng Nam
- Bộ đề ôn thi vào 10 môn Tiếng Anh TP HCM
- Đề thi thử Tiếng Anh vào 10 TP HCM có đáp án
- Đề luyện thi vào lớp 10 môn Tiếng Anh Phú Thọ
- Chuyên đề đọc hiểu Tiếng Anh thi vào 10 có đáp án
- Bộ đề tham khảo thi vào 10 môn Tiếng Anh có đáp án
- Bộ đề tham khảo thi vào 10 chuyên Anh
- Đề thi vào 10 môn Tiếng Anh chuyên Sư phạm
- Đề thi chuyên Tin vào lớp 10 Hà Nội
- Đề tham khảo thi vào lớp 10 môn Tiếng Anh tỉnh Khánh Hòa
- An Giang
- Bà Rịa - Vũng Tàu
- Bạc Liêu
- Bắc Giang
- Bắc Kạn
- Bắc Ninh
- Bến Tre
- Bình Dương
- Bình Định
- Bình Phước
- Bình Thuận
- Cà Mau
- Cao Bằng
- Cần Thơ
- Đà Nẵng
- Đăk Lắk
- Đắk Nông
- Điện Biên
- Đồng Nai
- Đồng Tháp
- Gia Lai
- Hà Giang
- Hà Nam
- Hà Nội
- Hà Tĩnh
- Hải Dương
- Hải Phòng
- Hậu Giang
- Hòa Bình
- TP HCM
- Huế
- Hưng Yên
- Khánh Hòa
- Kiên Giang
- Kon Tum
- Lai Châu
- Lạng Sơn
- Lào Cai
- Lâm Đồng
- Long An
- Nam Định
- Nghệ An
- Ninh Bình
- Ninh Thuận
- Phú Thọ
- Phú Yên
- Quảng Bình
- Quảng Nam
- Quảng Ngãi
- Quảng Ninh
- Quảng Trị
- Sóc Trăng
- Sơn La
- Tây Ninh
- Thái Bình
- Thái Nguyên
- Thanh Hóa
- Tiền Giang
- Trà Vinh
- Tuyên Quang
- Vĩnh Long
- Vĩnh Phúc
- Yên Bái
Thi vào lớp 10 tải nhiều
-
Đáp án đề thi vào 10 môn Toán Quảng Ngãi 2025
-
Đề tham khảo thi vào lớp 10 môn Tiếng Anh tỉnh Khánh Hòa 2026-2027
-
Đáp án đề thi thử vào 10 môn Ngữ văn 2026 chuyên Sư phạm
-
Đề thi vào lớp 10 môn Văn năm 2025
-
Bộ đề tham khảo thi vào 10 môn Tiếng Anh tỉnh Tây Ninh
-
Tài liệu ôn thi vào lớp 10 môn Tiếng Anh tỉnh Tây Ninh 2026-2027
-
Bộ đề tham khảo ôn thi vào 10 môn Ngữ văn Hà Nội
-
Bộ đề ôn thi vào 10 môn Tiếng Anh 2026 Hà Nội
-
Bộ đề thi vào lớp 10 môn tiếng Anh cả nước 2026 (có đáp án)
-
Tuyển tập đề thi tuyển sinh lớp 10 môn Anh TP HCM pdf 2023
Bài viết hay Thi vào lớp 10
-
50 đề minh họa tuyển sinh 10 môn Toán 2025 chương trình mới
-
Bộ đề ôn thi vào 10 môn Toán Ninh Bình 2025
-
Đáp án đề thi tuyển sinh lớp 10 môn Anh tỉnh Bình Dương 2025
-
Đáp án đề thi tuyển sinh lớp 10 môn Anh Bình Định 2025
-
Chuyên đề Viết truyện kể sáng tạo
-
Đáp án đề thi vào lớp 10 môn Toán chuyên Khoa học tự nhiên 2023