Đáp án đề thi tuyển sinh lớp 10 môn Toán Bạc Liêu 2025
Mua tài khoản Hoatieu Pro để trải nghiệm website Hoatieu.vn KHÔNG quảng cáo & Tải nhanh File chỉ từ 99.000đ. Tìm hiểu thêm »
Đáp án đề thi tuyển sinh lớp 10 môn Toán 2025 Bạc Liêu
- 1. Đề thi tuyển sinh lớp 10 môn Toán Bạc Liêu 2025
- 2. Đáp án đề thi tuyển sinh lớp 10 môn Toán Bạc Liêu 2025
- 3. Đáp án đề thi vào 10 Bạc Liêu 2024 môn Toán
- 4. Đề thi tuyển sinh lớp 10 môn Toán Bạc Liêu 2024
- 5. Đáp án đề thi tuyển sinh lớp 10 môn Toán 2023 Bạc Liêu
- 6. Đề thi tuyển sinh lớp 10 môn Toán Bạc Liêu 2023
- 7. Đáp án đề thi vào 10 môn Toán Bạc Liêu 2022
- 8. Đề thi vào lớp 10 môn Toán Bạc Liêu 2022
- 9. Đáp án đề thi vào lớp 10 năm 2021 môn Toán tỉnh Bạc Liêu
Đề thi tuyển sinh lớp 10 môn Toán 2025 Bạc Liêu - Trong bài viết này Hoatieu xin chia sẻ đến các bạn đọc đề thi vào lớp 10 2025 môn Toán Bạc Liêu và gợi ý đáp án đề thi tuyển sinh lớp 10 Bạc Liêu môn Toán 2025 để các bạn cùng so sánh đối chiếu bài thi sau khi làm bài.
- Đáp án đề thi tuyển sinh lớp 10 môn Văn Bạc Liêu 2025
- Đáp án Đề thi tuyển sinh lớp 10 môn Anh Bạc Liêu năm 2025
Đáp án đề thi tuyển sinh lớp 10 môn Toán Bạc Liêu năm 2025 được cập nhật chi tiết, chính xác giúp thí sinh nhanh chóng đối chiếu kết quả sau kỳ thi. Đây là nguồn tham khảo hữu ích cho học sinh, giáo viên và phụ huynh trong việc đánh giá năng lực, đồng thời chuẩn bị tốt hơn cho kỳ thi vào lớp 10 những năm tiếp theo tại Bạc Liêu.

1. Đề thi tuyển sinh lớp 10 môn Toán Bạc Liêu 2025

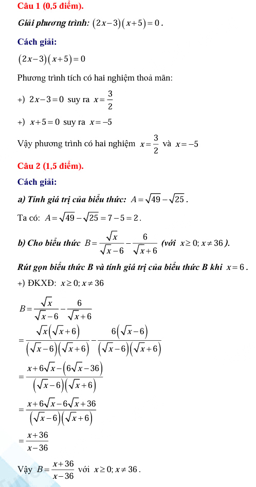
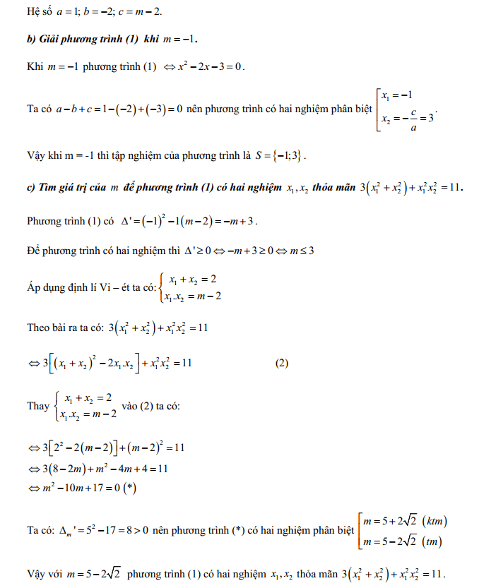
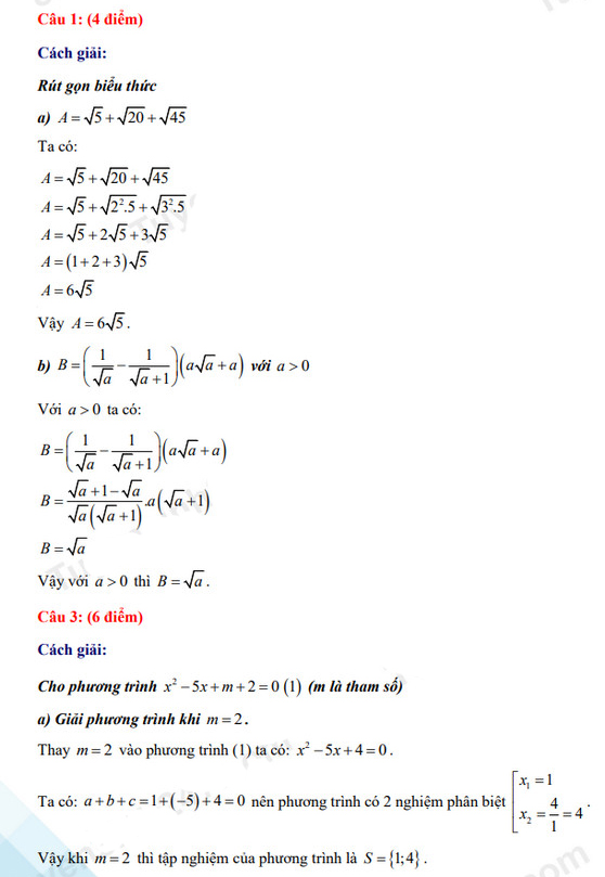
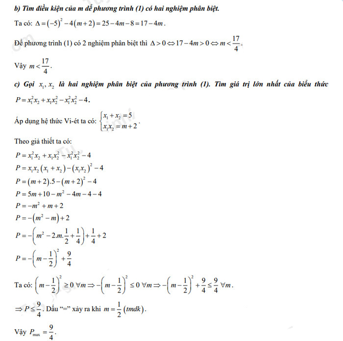
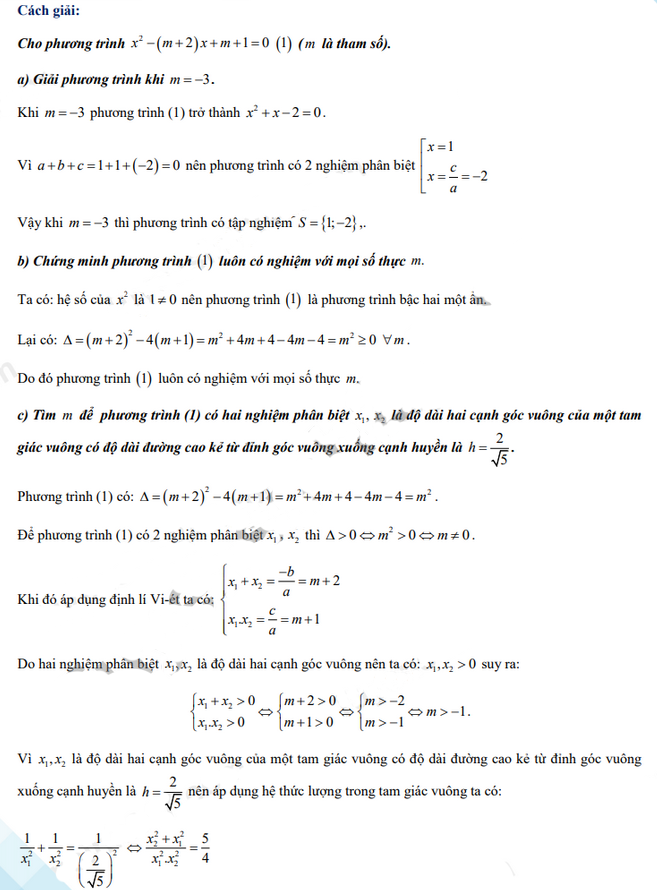
2. Đáp án đề thi tuyển sinh lớp 10 môn Toán Bạc Liêu 2025
Đáp án đề thi tuyển sinh lớp 10 môn Toán 2025 Bạc Liêu đang được các thầy cô giải. Các em nhấn F5 liên tục để xem thông tin mới nhất.




3. Đáp án đề thi vào 10 Bạc Liêu 2024 môn Toán




4. Đề thi tuyển sinh lớp 10 môn Toán Bạc Liêu 2024

5. Đáp án đề thi tuyển sinh lớp 10 môn Toán 2023 Bạc Liêu
Lưu ý: Nếu các em học sinh thấy chưa hiện đủ đáp án hãy nhấn F5.





Câu 4


6. Đề thi tuyển sinh lớp 10 môn Toán Bạc Liêu 2023

7. Đáp án đề thi vào 10 môn Toán Bạc Liêu 2022


Câu 2


Câu 4

8. Đề thi vào lớp 10 môn Toán Bạc Liêu 2022

9. Đáp án đề thi vào lớp 10 năm 2021 môn Toán tỉnh Bạc Liêu





Câu 3


Mời các bạn tham khảo thêm các thông tin hữu ích khác trên chuyên mục Tài liệu của HoaTieu.vn.
-
Chia sẻ:
Phương Hoa
- Ngày:
Đáp án đề thi tuyển sinh lớp 10 môn Toán Bạc Liêu 2025
1,1 MB 20/06/2021 11:53:00 SATham khảo thêm
-
Mẫu đơn xin phúc khảo bài thi tuyển sinh vào lớp 10 THPT
-
Điểm thi tuyển sinh lớp 10 năm 2025 Đắk Lắk
-
Đáp án môn thi tổ hợp vào lớp 10 Vĩnh Phúc 2024
-
Đáp án đề thi tuyển sinh lớp 10 môn Văn Kiên Giang 2025
-
Điểm thi tuyển sinh lớp 10 năm 2025 Yên Bái
-
Đáp án đề thi tuyển sinh lớp 10 môn Toán Nam Định 2025
-
Điểm thi tuyển sinh lớp 10 năm 2025 Vĩnh Phúc
-
Đáp án đề thi tuyển sinh lớp 10 môn Toán Vĩnh Phúc 2025
Theo Nghị định 147/2024/ND-CP, bạn cần xác thực tài khoản trước khi sử dụng tính năng này. Chúng tôi sẽ gửi mã xác thực qua SMS hoặc Zalo tới số điện thoại mà bạn nhập dưới đây:
-
Ngữ Văn
- Bộ đề ôn thi vào 10 Ngữ văn Từ sơn Bắc Ninh
- Tài liệu ôn chuyên sâu Ngữ văn thi vào 10
- Chuyên đề ôn thi vào 10 phần Tiếng Việt
- Đề thi vào lớp 10 môn Văn cả nước
- Tổng hợp đề thi chuyên Văn vào 10
- Đề thi Văn vào 10 chương trình mới
- Tuyển tập đề thi vào lớp 10 môn Văn Hà Nội các năm
- Bộ đề tham khảo ôn thi vào 10 môn Ngữ văn Hà Nội
- Đề thi văn Chuyên sư phạm
- Đề thi tuyển sinh lớp 10 môn Văn Bắc Giang
- Đề tham khảo Ngữ văn vào 10 TP HCM
- Đề thi thử vào lớp 10 chuyên Văn Lam Sơn
- Bộ đề nghị luận xã hội chủ đề gia đình
- Bộ đề nghị luận xã hội chủ đề phát triển bản thân
- 110 Đề nghị luận xã hội về một vấn đề cần giải quyết
- 12 Đề nghị luận xã hội về một vấn đề cần giải quyết
- Bộ đề phát triển năng lực Ngữ văn 9
- 185 Nhận định liên hệ mở rộng dành cho cả thơ và văn xuôi
- Cách viết bài văn nghị luận về một vấn đề cần giải quyết
- Cách viết đoạn văn ghi lại cảm nghĩ của em về đoạn thơ, bài thơ
- 7 chuyên đề ôn thi vào 10 môn Văn
- Chuyên đề Đoạn văn nghị luận xã hội hay gặp trong phần đọc hiểu
- Chuyên đề Viết truyện kể sáng tạo
- Chuyên đề Viết đoạn văn ghi lại cảm nghĩ về một bài thơ tám chữ
- Chuyên đề Viết bài văn thuyết minh về một danh lam thắng cảnh hay một di tích lịch sử
- Chuyên đề Viết bài văn nghị luận về một vấn đề cần giải quyết
- Chuyên đề Viết bài văn phân tích một tác phẩm văn học
- Chuyên đề Viết bài văn phân tích một tác phẩm văn học (Truyện, kịch)
-
Toán
- Tuyển tập đề thi vào 10 môn Toán các tỉnh
- Đề thi thử vào 10 môn Toán có đáp án
- Tổng hợp đề thi vào 10 chuyên Toán cả nước
- Đề thi thử vào 10 môn Toán Hà Nội
- Đề thi thử vào 10 môn Toán huyện Lương Tài Bắc Ninh
- Đề minh họa thi vào 10 môn Toán Bà Rịa Vũng Tàu có đáp án
- Đề thi vào 10 chuyên Toán Khoa học tự nhiên có đáp án
- Đáp án đề thi chuyên Toán Sư phạm
- Đề minh họa thi vào lớp 10 môn Toán
- Đề minh họa thi vào lớp 10 môn Toán Hà Nội
- Đề Toán thi vào lớp 10 THPT Nguyễn Tất Thành
- Đề tham khảo thi vào 10 môn Toán An Giang
- Đề tham khảo thi vào 10 môn Toán Quảng Nam
- Đề minh họa thi vào 10 môn Toán chuyên Quảng Ninh
- Đề thi thử vào 10 môn Toán Quảng Ninh
- Đề minh họa thi vào 10 môn Toán chung Quảng Ninh
- Đề tham khảo thi vào 10 môn Toán Hưng Yên
- 50 đề minh họa tuyển sinh 10 môn Toán chương trình mới
- Bộ đề ôn thi vào 10 môn Toán TP HCM
- Đề tham khảo thi vào 10 môn Toán Bắc Ninh
- Đề tham khảo thi vào 10 môn Toán Bắc Giang
- Đề thi thứ vào 10 môn Toán Vĩnh Phúc
- Đề tham khảo thi vào 10 môn Toán Hà Tĩnh
- Đề thi thử vào 10 môn Toán Hải Phòng cấu trúc mới
- Đề thi thử vào 10 môn Toán Nghệ An
- Đề thi thử vào 10 môn Toán Phú Thọ
- Đề tham khảo thi vào 10 môn Toán Phú Thọ
- Đề tham khảo thi vào 10 môn Toán chuyên Hùng Vương Phú Thọ
- Đề thi thử vào 10 môn Toán TP Nam Định
- Đề thi thử vào 10 môn Toán Trực Ninh Nam Định
- Đề minh họa thi vào 10 môn Toán Hà Nam
- Bộ đề ôn thi vào 10 môn Toán Ninh Bình
- Đề thi thử vào 10 môn Toán Yên Định Thanh Hóa
- Đề thi thử vào 10 môn Toán thành phố Thanh Hóa
- Đề thi thử vào 10 môn Toán Quảng Xương Thanh Hóa
- Đề thi thử vào 10 môn Toán Thọ Xuân Thanh Hóa
- Đề thi thử vào 10 môn Toán Thiệu Hóa Thanh Hóa
- Đề thi thử vào 10 môn Toán Hoằng Hóa Thanh Hóa
- Đề thi thử vào 10 môn Toán Hậu Lộc Thanh Hóa
- Đề thi thử vào 10 môn Toán Cẩm Thủy Thanh Hóa
- Đề thi thử vào 10 môn Toán Nga Sơn Thanh Hóa
- Đề thi thử vào 10 môn Toán Như Thanh Thanh Hóa
- Đề thi thử vào 10 môn Toán Nghi Sơn Thanh Hóa
- Đề thi thử vào 10 môn Toán Triệu Sơn Thanh Hóa
- Đề thi thử vào 10 môn Toán Thạch Thành Thanh Hóa
- Đề thi thử vào 10 môn Toán Hà Trung Thanh Hóa
-
Tiếng Anh
- Bộ đề thi thử vào 10 Tiếng Anh Hà Nội có đáp án
- Bộ đề thi vào 10 chuyên Anh toàn quốc chính thức
- Bộ đề minh họa Tiếng Anh vào 10 Hải Phòng
- Bộ đề thi thử vào lớp 10 môn Tiếng Anh Hội An có đáp án
- Đề minh họa thi vào 10 môn Tiếng Anh Hiệp Đức Quảng Nam
- Bộ đề tham khảo thi vào 10 môn Tiếng Anh Điện Bàn - Quảng Nam
- Bộ đề tham khảo thi vào 10 môn Tiếng Anh Tam Kỳ - Quảng Nam
- Bộ đề tham khảo thi vào 10 môn Tiếng Anh Tiên Phước - Quảng Nam
- Bộ đề tham khảo thi vào 10 môn Tiếng Anh Duy Xuyên - Quảng Nam
- Bộ đề tham khảo thi vào 10 môn Tiếng Anh Núi Thành - Quảng Nam
- Bộ đề tham khảo thi vào 10 môn Tiếng Anh Đại Lộc - Quảng Nam
- Bộ đề ôn thi vào 10 môn Tiếng Anh TP HCM
- Đề thi thử Tiếng Anh vào 10 TP HCM có đáp án
- Đề luyện thi vào lớp 10 môn Tiếng Anh Phú Thọ
- Chuyên đề đọc hiểu Tiếng Anh thi vào 10 có đáp án
- Bộ đề tham khảo thi vào 10 môn Tiếng Anh có đáp án
- Bộ đề tham khảo thi vào 10 chuyên Anh
- Đề thi vào 10 môn Tiếng Anh chuyên Sư phạm
- Đề thi chuyên Tin vào lớp 10 Hà Nội
- Đề tham khảo thi vào lớp 10 môn Tiếng Anh tỉnh Khánh Hòa
- An Giang
- Bà Rịa - Vũng Tàu
- Bạc Liêu
- Bắc Giang
- Bắc Kạn
- Bắc Ninh
- Bến Tre
- Bình Dương
- Bình Định
- Bình Phước
- Bình Thuận
- Cà Mau
- Cao Bằng
- Cần Thơ
- Đà Nẵng
- Đăk Lắk
- Đắk Nông
- Điện Biên
- Đồng Nai
- Đồng Tháp
- Gia Lai
- Hà Giang
- Hà Nam
- Hà Nội
- Hà Tĩnh
- Hải Dương
- Hải Phòng
- Hậu Giang
- Hòa Bình
- TP HCM
- Huế
- Hưng Yên
- Khánh Hòa
- Kiên Giang
- Kon Tum
- Lai Châu
- Lạng Sơn
- Lào Cai
- Lâm Đồng
- Long An
- Nam Định
- Nghệ An
- Ninh Bình
- Ninh Thuận
- Phú Thọ
- Phú Yên
- Quảng Bình
- Quảng Nam
- Quảng Ngãi
- Quảng Ninh
- Quảng Trị
- Sóc Trăng
- Sơn La
- Tây Ninh
- Thái Bình
- Thái Nguyên
- Thanh Hóa
- Tiền Giang
- Trà Vinh
- Tuyên Quang
- Vĩnh Long
- Vĩnh Phúc
- Yên Bái
Thi vào lớp 10 tải nhiều
-
Đề ôn tập thi vào lớp 10 môn Tiếng Anh
-
Đề luyện thi vào lớp 10 môn Tiếng Anh cấu trúc mới
-
Đáp án đề thi tuyển sinh lớp 10 môn Anh Bà Rịa - Vũng Tàu 2026
-
Đáp án đề thi thử vào lớp 10 chuyên Văn Lam Sơn 2026-2027
-
Đáp án đề thi thử vào lớp 10 chuyên Anh Lam Sơn 2026-2027
-
Bộ đề luyện thi Ngữ văn 9 vào 10 có đáp án
-
Bộ đề ôn tập môn Ngữ văn tuyển sinh vào lớp 10
-
Tài liệu ôn thi vào 10 Đọc hiểu và viết đoạn văn nghị luận về thơ
-
Tài liệu ôn thi vào 10 Đọc hiểu và viết đoạn văn nghị luận về thể loại truyền kì, truyện ngắn
-
Tài liệu ôn thi vào 10 Phương pháp viết đoạn văn nghị luận văn học
Bài viết hay Thi vào lớp 10
-
Đáp án đề thi tuyển sinh lớp 10 môn Văn Ninh Thuận 2025
-
Môn thi thứ 3 của tỉnh Hải Dương 2024
-
Đề tham khảo thi vào lớp 10 môn Tiếng Anh tỉnh Khánh Hòa 2026-2027
-
Chuyên đề Viết bài văn nghị luận về một vấn đề cần giải quyết
-
Đáp án đề thi tuyển sinh lớp 10 môn Văn Vĩnh Phúc 2025
-
Đáp án đề thi tuyển sinh lớp 10 môn Anh Tiền Giang 2025