Đáp án đề Toán vào lớp 10 Hà Tĩnh 2025
Mua tài khoản Hoatieu Pro để trải nghiệm website Hoatieu.vn KHÔNG quảng cáo & Tải nhanh File chỉ từ 99.000đ. Tìm hiểu thêm »
Đáp án đề thi vào lớp 10 môn Toán Hà Tĩnh 2025
- 1. Đáp án đề thi vào lớp 10 môn Toán Hà Tĩnh 2025
- 2. Đề thi vào lớp 10 môn Toán Hà Tĩnh 2025
- 3. Đáp án đề thi tuyển sinh lớp 10 môn Toán Hà Tĩnh 2024-2025
- 4. Đề thi tuyển sinh lớp 10 môn Toán Hà Tĩnh 2024
- 5. Đề thi tuyển sinh lớp 10 môn Toán Hà Tĩnh các năm
- Đáp án đề thi tuyển sinh môn Toán Hà Tĩnh 2023
- Đề thi vào lớp 10 môn Toán Hà Tĩnh 2023-2024
- Đề thi vào lớp 10 môn Toán Hà Tĩnh 2022
- Đáp án đề thi vào 10 môn Toán 2022 Hà Tĩnh
- Đáp án đề thi vào 10 Hà Tĩnh môn Toán 2022 mã đề 01
- Đáp án đề thi vào 10 Hà Tĩnh môn Toán 2022 mã đề 02
- Đề thi vào lớp 10 môn Toán 2021 Hà Tĩnh
- Đáp án đề thi tuyển sinh lớp 10 môn Toán 2021 Hà Tĩnh
- Đề thi tuyển sinh lớp 10 môn Toán Hà Tĩnh 2020
- Đáp án đề thi tuyển sinh lớp 10 môn Toán Hà Tĩnh 2020
- Đề thi vào lớp 10 môn Toán Hà Tĩnh 2017-2018
- Đáp án đề thi vào lớp 10 môn Toán Hà Tĩnh 2017-2018
Đáp án đề thi vào 10 môn Toán Hà Tĩnh 2025 - Mời các bạn cùng tham khảo đề thi vào lớp 10 môn Toán Hà Tĩnh 2025 có đáp án chi tiết giúp các bạn học sinh dễ dàng đối chiếu kết quả với bài thi của mình.
Kỳ thi tuyển sinh vào lớp 10 THPT và THPT Chuyên Hà Tĩnh sẽ chính thức được tổ chức vào ngày 3 và 4/6/2025. Buổi sáng thi môn Toán (thời gian làm bài 90 phút) và Tiếng Anh (thời gian làm bài 60 phút); buổi chiều thi môn Ngữ văn (thời gian làm bài 120 phút). Sau đây là nội dung chi tiết đáp án đề thi vào 10 môn Toán Hà Tĩnh 2025, mời các em cùng tham khảo.

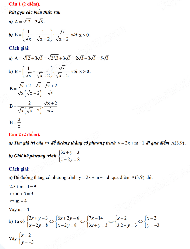
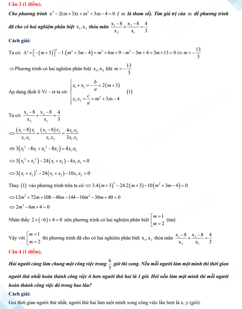
1. Đáp án đề thi vào lớp 10 môn Toán Hà Tĩnh 2025
Đáp án đề thi vào 10 môn Toán Hà Tĩnh 2025 đang được các thầy cô giải. Các em nhấn F5 để xem đáp án mới nhất.
2. Đề thi vào lớp 10 môn Toán Hà Tĩnh 2025


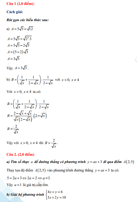
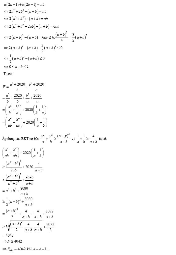
3. Đáp án đề thi tuyển sinh lớp 10 môn Toán Hà Tĩnh 2024-2025
Đáp án đề Toán vào 10 Hà Tĩnh 2024 đang được các thầy cô giải. Các em ấn F5 liên tục để cập nhật đáp án mới nhất...
Mã đề 01






4. Đề thi tuyển sinh lớp 10 môn Toán Hà Tĩnh 2024


5. Đề thi tuyển sinh lớp 10 môn Toán Hà Tĩnh các năm
Đáp án đề thi tuyển sinh môn Toán Hà Tĩnh 2023
Đáp án môn Toán vào 10 Hà Tĩnh đang được các thầy cô giải. Các em chờ 1 lúc rồi nhấn F5 xem đáp án.









Đề thi vào lớp 10 môn Toán Hà Tĩnh 2023-2024

Đề thi vào lớp 10 môn Toán Hà Tĩnh 2022


Đáp án đề thi vào 10 môn Toán 2022 Hà Tĩnh
Đáp án đề thi vào 10 Hà Tĩnh môn Toán 2022 mã đề 01



Câu 4

Câu 5

Tiếp tục cập nhật.....
Đáp án đề thi vào 10 Hà Tĩnh môn Toán 2022 mã đề 02



Còn tiếp.....
Đề thi vào lớp 10 môn Toán 2021 Hà Tĩnh

Đáp án đề thi tuyển sinh lớp 10 môn Toán 2021 Hà Tĩnh
Đáp án mã đề 01




Đề thi tuyển sinh lớp 10 môn Toán Hà Tĩnh 2020
Đề thi vào lớp 10 môn Toán Hà Tĩnh 2020 đề 1

Đề thi vào lớp 10 môn Toán Hà Tĩnh 2020 đề 2

Đáp án đề thi tuyển sinh lớp 10 môn Toán Hà Tĩnh 2020
Đáp án mã đề 02
Câu 1

Câu 2

Câu 3

Câu 4

Câu 5

Câu 6.

Đề thi vào lớp 10 môn Toán Hà Tĩnh 2017-2018
Mã đề 01
Mã đề 02

Đáp án đề thi vào lớp 10 môn Toán Hà Tĩnh 2017-2018


Mời các bạn tham khảo thêm các thông tin hữu ích khác trên chuyên mục Tài liệu của HoaTieu.vn.
-
Chia sẻ:
Nhung Nguyễn
- Ngày:
Đáp án đề Toán vào lớp 10 Hà Tĩnh 2025
336,3 KB 03/06/2021 9:06:00 SATham khảo thêm
-
Điểm thi tuyển sinh lớp 10 năm 2025 Thanh Hóa
-
Các trường hợp được tuyển thẳng vào lớp 10 2023
-
Điểm thi lớp 10 năm 2025 Đồng Nai
-
Đã có điểm chuẩn lớp 10 năm 2026 TP HCM
-
Điểm chuẩn lớp 10 năm 2025 Hà Tĩnh
-
Điểm chuẩn lớp 10 năm 2025 Hà Nội
-
Đề thi thử vào lớp 10 môn Văn 9 sách mới 2026
-
Công bố điểm chuẩn lớp 10 năm 2025 Khánh Hòa
Theo Nghị định 147/2024/ND-CP, bạn cần xác thực tài khoản trước khi sử dụng tính năng này. Chúng tôi sẽ gửi mã xác thực qua SMS hoặc Zalo tới số điện thoại mà bạn nhập dưới đây:
-
Ngữ Văn
- Bộ đề ôn thi vào 10 Ngữ văn Từ sơn Bắc Ninh
- Tài liệu ôn chuyên sâu Ngữ văn thi vào 10
- Chuyên đề ôn thi vào 10 phần Tiếng Việt
- Đề thi vào lớp 10 môn Văn cả nước
- Tổng hợp đề thi chuyên Văn vào 10
- Đề thi Văn vào 10 chương trình mới
- Tuyển tập đề thi vào lớp 10 môn Văn Hà Nội các năm
- Bộ đề tham khảo ôn thi vào 10 môn Ngữ văn Hà Nội
- Đề thi văn Chuyên sư phạm
- Đề thi tuyển sinh lớp 10 môn Văn Bắc Giang
- Đề tham khảo Ngữ văn vào 10 TP HCM
- Đề thi thử vào lớp 10 chuyên Văn Lam Sơn
- Bộ đề nghị luận xã hội chủ đề gia đình
- Bộ đề nghị luận xã hội chủ đề phát triển bản thân
- 110 Đề nghị luận xã hội về một vấn đề cần giải quyết
- 12 Đề nghị luận xã hội về một vấn đề cần giải quyết
- Bộ đề phát triển năng lực Ngữ văn 9
- 185 Nhận định liên hệ mở rộng dành cho cả thơ và văn xuôi
- Cách viết bài văn nghị luận về một vấn đề cần giải quyết
- Cách viết đoạn văn ghi lại cảm nghĩ của em về đoạn thơ, bài thơ
- 7 chuyên đề ôn thi vào 10 môn Văn
- Chuyên đề Đoạn văn nghị luận xã hội hay gặp trong phần đọc hiểu
- Chuyên đề Viết truyện kể sáng tạo
- Chuyên đề Viết đoạn văn ghi lại cảm nghĩ về một bài thơ tám chữ
- Chuyên đề Viết bài văn thuyết minh về một danh lam thắng cảnh hay một di tích lịch sử
- Chuyên đề Viết bài văn nghị luận về một vấn đề cần giải quyết
- Chuyên đề Viết bài văn phân tích một tác phẩm văn học
- Chuyên đề Viết bài văn phân tích một tác phẩm văn học (Truyện, kịch)
-
Toán
- Tuyển tập đề thi vào 10 môn Toán các tỉnh
- Đề thi thử vào 10 môn Toán có đáp án
- Tổng hợp đề thi vào 10 chuyên Toán cả nước
- Đề thi thử vào 10 môn Toán Hà Nội
- Đề thi thử vào 10 môn Toán huyện Lương Tài Bắc Ninh
- Đề minh họa thi vào 10 môn Toán Bà Rịa Vũng Tàu có đáp án
- Đề thi vào 10 chuyên Toán Khoa học tự nhiên có đáp án
- Đáp án đề thi chuyên Toán Sư phạm
- Đề minh họa thi vào lớp 10 môn Toán
- Đề minh họa thi vào lớp 10 môn Toán Hà Nội
- Đề Toán thi vào lớp 10 THPT Nguyễn Tất Thành
- Đề tham khảo thi vào 10 môn Toán An Giang
- Đề tham khảo thi vào 10 môn Toán Quảng Nam
- Đề minh họa thi vào 10 môn Toán chuyên Quảng Ninh
- Đề thi thử vào 10 môn Toán Quảng Ninh
- Đề minh họa thi vào 10 môn Toán chung Quảng Ninh
- Đề tham khảo thi vào 10 môn Toán Hưng Yên
- 50 đề minh họa tuyển sinh 10 môn Toán chương trình mới
- Bộ đề ôn thi vào 10 môn Toán TP HCM
- Đề tham khảo thi vào 10 môn Toán Bắc Ninh
- Đề tham khảo thi vào 10 môn Toán Bắc Giang
- Đề thi thứ vào 10 môn Toán Vĩnh Phúc
- Đề tham khảo thi vào 10 môn Toán Hà Tĩnh
- Đề thi thử vào 10 môn Toán Hải Phòng cấu trúc mới
- Đề thi thử vào 10 môn Toán Nghệ An
- Đề thi thử vào 10 môn Toán Phú Thọ
- Đề tham khảo thi vào 10 môn Toán Phú Thọ
- Đề tham khảo thi vào 10 môn Toán chuyên Hùng Vương Phú Thọ
- Đề thi thử vào 10 môn Toán TP Nam Định
- Đề thi thử vào 10 môn Toán Trực Ninh Nam Định
- Đề minh họa thi vào 10 môn Toán Hà Nam
- Bộ đề ôn thi vào 10 môn Toán Ninh Bình
- Đề thi thử vào 10 môn Toán Yên Định Thanh Hóa
- Đề thi thử vào 10 môn Toán thành phố Thanh Hóa
- Đề thi thử vào 10 môn Toán Quảng Xương Thanh Hóa
- Đề thi thử vào 10 môn Toán Thọ Xuân Thanh Hóa
- Đề thi thử vào 10 môn Toán Thiệu Hóa Thanh Hóa
- Đề thi thử vào 10 môn Toán Hoằng Hóa Thanh Hóa
- Đề thi thử vào 10 môn Toán Hậu Lộc Thanh Hóa
- Đề thi thử vào 10 môn Toán Cẩm Thủy Thanh Hóa
- Đề thi thử vào 10 môn Toán Nga Sơn Thanh Hóa
- Đề thi thử vào 10 môn Toán Như Thanh Thanh Hóa
- Đề thi thử vào 10 môn Toán Nghi Sơn Thanh Hóa
- Đề thi thử vào 10 môn Toán Triệu Sơn Thanh Hóa
- Đề thi thử vào 10 môn Toán Thạch Thành Thanh Hóa
- Đề thi thử vào 10 môn Toán Hà Trung Thanh Hóa
-
Tiếng Anh
- Bộ đề thi thử vào 10 Tiếng Anh Hà Nội có đáp án
- Bộ đề thi vào 10 chuyên Anh toàn quốc chính thức
- Bộ đề minh họa Tiếng Anh vào 10 Hải Phòng
- Bộ đề thi thử vào lớp 10 môn Tiếng Anh Hội An có đáp án
- Đề minh họa thi vào 10 môn Tiếng Anh Hiệp Đức Quảng Nam
- Bộ đề tham khảo thi vào 10 môn Tiếng Anh Điện Bàn - Quảng Nam
- Bộ đề tham khảo thi vào 10 môn Tiếng Anh Tam Kỳ - Quảng Nam
- Bộ đề tham khảo thi vào 10 môn Tiếng Anh Tiên Phước - Quảng Nam
- Bộ đề tham khảo thi vào 10 môn Tiếng Anh Duy Xuyên - Quảng Nam
- Bộ đề tham khảo thi vào 10 môn Tiếng Anh Núi Thành - Quảng Nam
- Bộ đề tham khảo thi vào 10 môn Tiếng Anh Đại Lộc - Quảng Nam
- Bộ đề ôn thi vào 10 môn Tiếng Anh TP HCM
- Đề thi thử Tiếng Anh vào 10 TP HCM có đáp án
- Đề luyện thi vào lớp 10 môn Tiếng Anh Phú Thọ
- Chuyên đề đọc hiểu Tiếng Anh thi vào 10 có đáp án
- Bộ đề tham khảo thi vào 10 môn Tiếng Anh có đáp án
- Bộ đề tham khảo thi vào 10 chuyên Anh
- Đề thi vào 10 môn Tiếng Anh chuyên Sư phạm
- Đề thi chuyên Tin vào lớp 10 Hà Nội
- Đề tham khảo thi vào lớp 10 môn Tiếng Anh tỉnh Khánh Hòa
- An Giang
- Bà Rịa - Vũng Tàu
- Bạc Liêu
- Bắc Giang
- Bắc Kạn
- Bắc Ninh
- Bến Tre
- Bình Dương
- Bình Định
- Bình Phước
- Bình Thuận
- Cà Mau
- Cao Bằng
- Cần Thơ
- Đà Nẵng
- Đăk Lắk
- Đắk Nông
- Điện Biên
- Đồng Nai
- Đồng Tháp
- Gia Lai
- Hà Giang
- Hà Nam
- Hà Nội
- Hà Tĩnh
- Hải Dương
- Hải Phòng
- Hậu Giang
- Hòa Bình
- TP HCM
- Huế
- Hưng Yên
- Khánh Hòa
- Kiên Giang
- Kon Tum
- Lai Châu
- Lạng Sơn
- Lào Cai
- Lâm Đồng
- Long An
- Nam Định
- Nghệ An
- Ninh Bình
- Ninh Thuận
- Phú Thọ
- Phú Yên
- Quảng Bình
- Quảng Nam
- Quảng Ngãi
- Quảng Ninh
- Quảng Trị
- Sóc Trăng
- Sơn La
- Tây Ninh
- Thái Bình
- Thái Nguyên
- Thanh Hóa
- Tiền Giang
- Trà Vinh
- Tuyên Quang
- Vĩnh Long
- Vĩnh Phúc
- Yên Bái
Thi vào lớp 10 tải nhiều
-
Đề ôn tập thi vào lớp 10 môn Tiếng Anh
-
Đề luyện thi vào lớp 10 môn Tiếng Anh cấu trúc mới
-
Đáp án đề thi tuyển sinh lớp 10 môn Anh Bà Rịa - Vũng Tàu 2026
-
Đáp án đề thi thử vào lớp 10 chuyên Văn Lam Sơn 2026-2027
-
Đáp án đề thi thử vào lớp 10 chuyên Anh Lam Sơn 2026-2027
-
Bộ đề luyện thi Ngữ văn 9 vào 10 có đáp án
-
Bộ đề ôn tập môn Ngữ văn tuyển sinh vào lớp 10
-
Tài liệu ôn thi vào 10 Đọc hiểu và viết đoạn văn nghị luận về thơ
-
Tài liệu ôn thi vào 10 Đọc hiểu và viết đoạn văn nghị luận về thể loại truyền kì, truyện ngắn
-
Tài liệu ôn thi vào 10 Phương pháp viết đoạn văn nghị luận văn học
Bài viết hay Thi vào lớp 10
-
Đáp án đề thi tuyển sinh lớp 10 bài tổ hợp Ninh Bình 2023
-
Đề thi thử vào 10 môn Toán 2025 Như Thanh Thanh Hóa
-
Đề thi vào 10 môn Văn Hải Phòng các năm 2024
-
Bộ đề tham khảo thi vào 10 môn Tiếng Anh tỉnh Tây Ninh
-
Đáp án Đề thi tuyển sinh lớp 10 môn Anh Hậu Giang năm 2025
-
Đề thi vào lớp 10 môn toán chuyên TP HCM 2021