Điểm thi tuyển sinh lớp 10 năm 2025 Hải Dương
Mua tài khoản Hoatieu Pro để trải nghiệm website Hoatieu.vn KHÔNG quảng cáo & Tải nhanh File chỉ từ 99.000đ. Tìm hiểu thêm »
Điểm tuyển sinh lớp 10 năm 2025 Hải Dương
- 1. Lịch công bố điểm thi vào 10 Hải Dương 2025
- 2. Tra cứu điểm thi vào lớp 10 tỉnh Hải Dương 2025
- 3. Điểm chuẩn vào 10 Hải Dương 2024
- 4. Điểm chuẩn tuyển sinh lớp 10 Hải Dương 2023
- 5. Điểm chuẩn vào lớp 10 2022 Hải Dương
- 6. Điểm chuẩn vào lớp 10 Hải Dương 2021
- 7. Điểm chuẩn vào lớp 10 Hải Dương 2020
Điểm thi tuyển sinh lớp 10 năm 2025 Hải Dương - Kì thi tuyển sinh lớp 10 Hải Dương 2025 đã chính thức kết thúc. Trong bài viết này Hoatieu sẽ chia sẻ tổng hợp các thông tin mới nhất để các em nắm được cách tra cứu điểm thi vào 10 Hải Dương 2025 cũng như điểm chuẩn tuyển sinh lớp 10 Hải Dương 2025, mời các bạn cùng tham khảo.
1. Lịch công bố điểm thi vào 10 Hải Dương 2025
Kì thi tuyển sinh vào lớp 10 tỉnh Hải Dương đã chính thức kết thúc. Theo Sở Giáo dục và Đào tạo Hải Dương, một trong những điểm mới đáng chú ý của kỳ thi tuyển sinh vào lớp 10 THPT năm học 2025 - 2026 là thí sinh sẽ biết điểm thi, điểm chuẩn trúng tuyển cùng thời điểm. Việc này giúp thí sinh và phụ huynh không phải thấp thỏm chờ đợi điểm chuẩn vào các trường THPT sau nhiều ngày công bố điểm thi của thí sinh.
Dự kiến, Sở Giáo dục và Đào tạo sẽ công bố điểm thi và điểm chuẩn các trường THPT công lập trước ngày 23/6. Từ ngày 23 - 25/6, thí sinh nộp đơn phúc khảo (nếu có). Ngày 30/6, Sở Giáo dục và Đào tạo sẽ công bố kết quả phúc khảo bài thi và hoàn thành tuyển sinh lớp 10 THPT trước ngày 1/8.
2. Tra cứu điểm thi vào lớp 10 tỉnh Hải Dương 2025
Trong trường hợp website của Sở Giáo dục và Đào tạo Hải Dương bị quá tải, thí sinh có thể gọi điện đến tổng đài để kiểm tra kết quả:
- 0220.1080
- 0220.801188
- 0220.80115678
- 0220.8011333
3. Điểm chuẩn vào 10 Hải Dương 2024


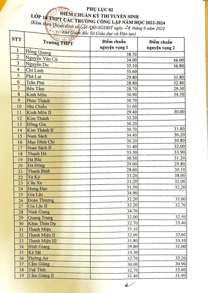
4. Điểm chuẩn tuyển sinh lớp 10 Hải Dương 2023
Chiều 24.6, Sở Giáo dục và Đào tạo (GDĐT) tỉnh Hải Dương công bố điểm chuẩn vào lớp 10 THPT năm học 2023 - 2024.
Theo đó, điểm chuẩn nguyện vọng 1 dao động từ 28,6 - 38,5 điểm. Trường THPT Hồng Quang có điểm chuẩn cao nhất. Trường THPT Thanh Bình có điểm chuẩn thấp nhất.

Điểm chuẩn tuyển sinh lớp 10 chuyên Nguyễn Trãi Hải Dương 2023

5. Điểm chuẩn vào lớp 10 2022 Hải Dương
Điểm chuẩn vào lớp 10 công lập Hải Dương 2022

Điểm chuẩn vào lớp 10 chuyên nguyễn Trãi Hải Dương 2022

6. Điểm chuẩn vào lớp 10 Hải Dương 2021


7. Điểm chuẩn vào lớp 10 Hải Dương 2020
Điểm chuẩn vào lớp 10 Công lập Hải Dương 2020

Điểm chuẩn Chuyên Nguyễn Trãi 2020

Mời các bạn tham khảo thêm các thông tin hữu ích khác trên chuyên mục Tuyển sinh - Tra cứu điểm thi của HoaTieu.vn.
-
Chia sẻ:
Trần Thu Trang
- Ngày:
Tham khảo thêm
-
Đáp án đề thi tuyển sinh lớp 10 môn Văn Hải Dương 2025
-
Điểm thi tuyển sinh lớp 10 năm 2025 Thái Nguyên
-
Đáp án Đề thi tuyển sinh lớp 10 môn Anh Bắc Kạn năm 2025
-
Đáp án đề thi tuyển sinh lớp 10 môn Toán Bắc Kạn 2025
-
Điểm tuyển sinh lớp 10 năm 2025 Tiền Giang
-
Đáp án đề thi tuyển sinh lớp 10 môn Toán Hải Dương 2025
-
Điểm chuẩn lớp 10 năm 2025 Thừa Thiên Huế
-
Đáp án Đề thi tuyển sinh lớp 10 môn Anh Hải Dương năm 2025
Theo Nghị định 147/2024/ND-CP, bạn cần xác thực tài khoản trước khi sử dụng tính năng này. Chúng tôi sẽ gửi mã xác thực qua SMS hoặc Zalo tới số điện thoại mà bạn nhập dưới đây:
-
Ngữ Văn
- Bộ đề ôn thi vào 10 Ngữ văn Từ sơn Bắc Ninh
- Tài liệu ôn chuyên sâu Ngữ văn thi vào 10
- Chuyên đề ôn thi vào 10 phần Tiếng Việt
- Đề thi vào lớp 10 môn Văn cả nước
- Tổng hợp đề thi chuyên Văn vào 10
- Đề thi Văn vào 10 chương trình mới
- Tuyển tập đề thi vào lớp 10 môn Văn Hà Nội các năm
- Bộ đề tham khảo ôn thi vào 10 môn Ngữ văn Hà Nội
- Đề thi văn Chuyên sư phạm
- Đề thi tuyển sinh lớp 10 môn Văn Bắc Giang
- Đề tham khảo Ngữ văn vào 10 TP HCM
- Đề thi thử vào lớp 10 chuyên Văn Lam Sơn
- Bộ đề nghị luận xã hội chủ đề gia đình
- Bộ đề nghị luận xã hội chủ đề phát triển bản thân
- 110 Đề nghị luận xã hội về một vấn đề cần giải quyết
- 12 Đề nghị luận xã hội về một vấn đề cần giải quyết
- Bộ đề phát triển năng lực Ngữ văn 9
- 185 Nhận định liên hệ mở rộng dành cho cả thơ và văn xuôi
- Cách viết bài văn nghị luận về một vấn đề cần giải quyết
- Cách viết đoạn văn ghi lại cảm nghĩ của em về đoạn thơ, bài thơ
- 7 chuyên đề ôn thi vào 10 môn Văn
- Chuyên đề Đoạn văn nghị luận xã hội hay gặp trong phần đọc hiểu
- Chuyên đề Viết truyện kể sáng tạo
- Chuyên đề Viết đoạn văn ghi lại cảm nghĩ về một bài thơ tám chữ
- Chuyên đề Viết bài văn thuyết minh về một danh lam thắng cảnh hay một di tích lịch sử
- Chuyên đề Viết bài văn nghị luận về một vấn đề cần giải quyết
- Chuyên đề Viết bài văn phân tích một tác phẩm văn học
- Chuyên đề Viết bài văn phân tích một tác phẩm văn học (Truyện, kịch)
-
Toán
- Tuyển tập đề thi vào 10 môn Toán các tỉnh
- Đề thi thử vào 10 môn Toán có đáp án
- Tổng hợp đề thi vào 10 chuyên Toán cả nước
- Đề thi thử vào 10 môn Toán Hà Nội
- Đề thi thử vào 10 môn Toán huyện Lương Tài Bắc Ninh
- Đề minh họa thi vào 10 môn Toán Bà Rịa Vũng Tàu có đáp án
- Đề thi vào 10 chuyên Toán Khoa học tự nhiên có đáp án
- Đáp án đề thi chuyên Toán Sư phạm
- Đề minh họa thi vào lớp 10 môn Toán
- Đề minh họa thi vào lớp 10 môn Toán Hà Nội
- Đề Toán thi vào lớp 10 THPT Nguyễn Tất Thành
- Đề tham khảo thi vào 10 môn Toán An Giang
- Đề tham khảo thi vào 10 môn Toán Quảng Nam
- Đề minh họa thi vào 10 môn Toán chuyên Quảng Ninh
- Đề thi thử vào 10 môn Toán Quảng Ninh
- Đề minh họa thi vào 10 môn Toán chung Quảng Ninh
- Đề tham khảo thi vào 10 môn Toán Hưng Yên
- 50 đề minh họa tuyển sinh 10 môn Toán chương trình mới
- Bộ đề ôn thi vào 10 môn Toán TP HCM
- Đề tham khảo thi vào 10 môn Toán Bắc Ninh
- Đề tham khảo thi vào 10 môn Toán Bắc Giang
- Đề thi thứ vào 10 môn Toán Vĩnh Phúc
- Đề tham khảo thi vào 10 môn Toán Hà Tĩnh
- Đề thi thử vào 10 môn Toán Hải Phòng cấu trúc mới
- Đề thi thử vào 10 môn Toán Nghệ An
- Đề thi thử vào 10 môn Toán Phú Thọ
- Đề tham khảo thi vào 10 môn Toán Phú Thọ
- Đề tham khảo thi vào 10 môn Toán chuyên Hùng Vương Phú Thọ
- Đề thi thử vào 10 môn Toán TP Nam Định
- Đề thi thử vào 10 môn Toán Trực Ninh Nam Định
- Đề minh họa thi vào 10 môn Toán Hà Nam
- Bộ đề ôn thi vào 10 môn Toán Ninh Bình
- Đề thi thử vào 10 môn Toán Yên Định Thanh Hóa
- Đề thi thử vào 10 môn Toán thành phố Thanh Hóa
- Đề thi thử vào 10 môn Toán Quảng Xương Thanh Hóa
- Đề thi thử vào 10 môn Toán Thọ Xuân Thanh Hóa
- Đề thi thử vào 10 môn Toán Thiệu Hóa Thanh Hóa
- Đề thi thử vào 10 môn Toán Hoằng Hóa Thanh Hóa
- Đề thi thử vào 10 môn Toán Hậu Lộc Thanh Hóa
- Đề thi thử vào 10 môn Toán Cẩm Thủy Thanh Hóa
- Đề thi thử vào 10 môn Toán Nga Sơn Thanh Hóa
- Đề thi thử vào 10 môn Toán Như Thanh Thanh Hóa
- Đề thi thử vào 10 môn Toán Nghi Sơn Thanh Hóa
- Đề thi thử vào 10 môn Toán Triệu Sơn Thanh Hóa
- Đề thi thử vào 10 môn Toán Thạch Thành Thanh Hóa
- Đề thi thử vào 10 môn Toán Hà Trung Thanh Hóa
-
Tiếng Anh
- Bộ đề thi thử vào 10 Tiếng Anh Hà Nội có đáp án
- Bộ đề thi vào 10 chuyên Anh toàn quốc chính thức
- Bộ đề minh họa Tiếng Anh vào 10 Hải Phòng
- Bộ đề thi thử vào lớp 10 môn Tiếng Anh Hội An có đáp án
- Đề minh họa thi vào 10 môn Tiếng Anh Hiệp Đức Quảng Nam
- Bộ đề tham khảo thi vào 10 môn Tiếng Anh Điện Bàn - Quảng Nam
- Bộ đề tham khảo thi vào 10 môn Tiếng Anh Tam Kỳ - Quảng Nam
- Bộ đề tham khảo thi vào 10 môn Tiếng Anh Tiên Phước - Quảng Nam
- Bộ đề tham khảo thi vào 10 môn Tiếng Anh Duy Xuyên - Quảng Nam
- Bộ đề tham khảo thi vào 10 môn Tiếng Anh Núi Thành - Quảng Nam
- Bộ đề tham khảo thi vào 10 môn Tiếng Anh Đại Lộc - Quảng Nam
- Bộ đề ôn thi vào 10 môn Tiếng Anh TP HCM
- Đề thi thử Tiếng Anh vào 10 TP HCM có đáp án
- Đề luyện thi vào lớp 10 môn Tiếng Anh Phú Thọ
- Chuyên đề đọc hiểu Tiếng Anh thi vào 10 có đáp án
- Bộ đề tham khảo thi vào 10 môn Tiếng Anh có đáp án
- Bộ đề tham khảo thi vào 10 chuyên Anh
- Đề thi vào 10 môn Tiếng Anh chuyên Sư phạm
- Đề thi chuyên Tin vào lớp 10 Hà Nội
- Đề tham khảo thi vào lớp 10 môn Tiếng Anh tỉnh Khánh Hòa
- An Giang
- Bà Rịa - Vũng Tàu
- Bạc Liêu
- Bắc Giang
- Bắc Kạn
- Bắc Ninh
- Bến Tre
- Bình Dương
- Bình Định
- Bình Phước
- Bình Thuận
- Cà Mau
- Cao Bằng
- Cần Thơ
- Đà Nẵng
- Đăk Lắk
- Đắk Nông
- Điện Biên
- Đồng Nai
- Đồng Tháp
- Gia Lai
- Hà Giang
- Hà Nam
- Hà Nội
- Hà Tĩnh
- Hải Dương
- Hải Phòng
- Hậu Giang
- Hòa Bình
- TP HCM
- Huế
- Hưng Yên
- Khánh Hòa
- Kiên Giang
- Kon Tum
- Lai Châu
- Lạng Sơn
- Lào Cai
- Lâm Đồng
- Long An
- Nam Định
- Nghệ An
- Ninh Bình
- Ninh Thuận
- Phú Thọ
- Phú Yên
- Quảng Bình
- Quảng Nam
- Quảng Ngãi
- Quảng Ninh
- Quảng Trị
- Sóc Trăng
- Sơn La
- Tây Ninh
- Thái Bình
- Thái Nguyên
- Thanh Hóa
- Tiền Giang
- Trà Vinh
- Tuyên Quang
- Vĩnh Long
- Vĩnh Phúc
- Yên Bái
Tuyển sinh tải nhiều
-
Mã trường Đại học Quốc gia Hà Nội 2026
-
Điểm chuẩn Đại học Khoa học Xã hội và Nhân văn Hà Nội 2026 cập nhật nhanh nhất
-
Trượt lớp 10 nên làm gì?
-
Điểm thi tuyển sinh lớp 10 năm 2025 Thanh Hóa
-
(Mới) Điểm thi tuyển sinh lớp 10 năm 2025 Bạc Liêu
-
Điểm chuẩn Học viện Hành chính quốc gia 2026
-
(Mới) Đại học Thủ đô Hà Nội điểm chuẩn 2024
-
Điểm chuẩn đại học Quy Nhơn 2026 mới cập nhật
-
Đã có điểm chuẩn Đại học Thủy lợi 2026 cập nhật nhanh nhất
-
Đã có điểm chuẩn Đại học Huế 2024 chính thức
Bài viết hay Tuyển sinh
-
(Mới) Điểm chuẩn Đại học Luật Hà Nội 2024 nhanh nhất
-
Tuyển sinh Đại học Bách khoa Tp HCM 2023
-
Đại học Kinh tế - Tài chính thành phố Hồ Chí Minh điểm chuẩn 2024
-
Phương thức tuyển sinh Đại học ngoại thương 2024 mới nhất
-
Điểm chuẩn lớp 10 năm 2025 Bắc Kạn
-
(Chính thức) Điểm chuẩn Đại học Sư phạm Hà Nội 2024