Đề thi học kì 1 Toán 8 sách mới CV 7991 có đáp án
Tài liệu này không áp dụng tải nhanh miễn phí cho thành viên gói Pro. Tìm hiểu thêm »
Đề kiểm tra Toán 8 học kì 1 chương trình mới
Đề thi học kì 1 Toán 8 sách mới 2025-2026 được Hoatieu chia sẻ trong bài viết này là mẫu đề kiểm tra cuối học kì 1 môn Toán lớp 8 vừa được các thầy cô biên soạn theo đúng cấu trúc của chương trình giáo dục phổ thông mới 2018. Bộ đề thi Toán 8 học kì 1 có đầy đủ ma trận đề thi, bản đặc tả cùng với gợi ý đáp án chi tiết sẽ là tài liệu tham khảo bổ ích cho các em học sinh ôn tập cuối kì 1 Toán lớp 8.
- Đề thi học kì 1 Toán 8 Chân trời sáng tạo có đáp án
- Đề thi học kì 1 Toán 8 Kết nối tri thức mới nhất (có ma trận, đáp án)
Mô tả tài liệu: File tải về bao gồm:
5 đề thi cuối kì 1 Toán 8 KNTT cấu trúc 4 phần theo CV 7991 có đáp án.
5 đề thi cuối kì 1 Toán 8 CTST cấu trúc 4 phần theo CV 7991 có đáp án.
5 đề thi cuối kì 1 Toán 8 Cánh Diều cấu trúc 4 phần theo CV 7991 có đáp án.
2 mẫu đề thi cuối kì 1 Toán 8 cấu trúc cũ có đáp án.
1. Bộ đề ôn thi cuối kì 1 Toán 8 sách mới CV 7991
Đề thi cuối kì 1 Toán 8 KNTT CV 7991
Đề thi cuối kì 1 Toán 8 CTST CV 7991
Đề thi cuối kì 1 Toán 8 Cánh Diều CV 7991
2. Đề tham khảo thi học kì 1 Toán lớp 8
PHẦN 1. PHẦN TRẮC NGHIỆM (3 điểm).
Câu 1. Biểu thức x2 + 2xy + y2 viết gọn là
A. x2 + y2
B. (x + y)2
C. x2 - y2
D. (x - y)2
Câu 2. Biểu thức x3 -3x2y + 3xy2 - y3 viết gọn là
A. (x - y)3
B. (x + y)3
C. x3 + y3
D. x3 - y3
Câu 3. Khi phân tích x3 + y3 ta được:
A. (x + y)3
B. (x + y)(x2- xy + y2)
C. (x + y)( x2 + xy + y2)
D. (x – y)(x + y)
Biểu đồ cột dưới đây cho biết thông tin về kết quả học lực của học sinh khối 6 trường THCS Nguyễn Bỉnh Khiêm

Câu 4. Số lượng học sinh trung bình ít hơn số lượng học sinh khá là
A. 88 học sinh
B. 90 học sinh
C. 102 học sinh
D. 140 học sinh
Câu 5. Số học sinh trên trung bình là
A. 140 học sinh
B. 178 học sinh
C. 180 học sinh
D. 38 học sinh
Câu 6. Số học sinh dưới trung bình là:
A. 38
B. 52
C. 140
D. 13
Câu 7. Khẳng định nào sau đây là sai ?
- Hình thang cân có hai đường chéo bằng nhau.
- Hình thang có hai cạnh bên bằng nhau là hình thang cân.
- Hình thang cân có hai cạnh bên bằng nhau.
- Hình thang có hai góc kề một đáy bằng nhau là hình thang cân.
Câu 8: Tìm câu sai trong các câu sau:
- Trong hình chữ nhật có hai đường chéo bằng nhau.
- Tứ giác có ba góc vuông là hình chữ nhật.
- Trong hình chữ nhật có hai đường chéo cắt nhau tại trung điểm mỗi đường.
- Trong hình chữ nhật có hai cạnh kề bằng nhau.
Câu 9. Số đường trung bình của một tam giác là:
A. 1 đường
B. 2 đường.
C. 3 đường.
D. 4 đường.

Câu 12: Cho hình vẽ, trong đó DE // BC, AD = 12, DB = 18, CE = 30. Độ dài AC bằng:

A. 20
B. 7,2
C. 36
D. 50
PHẦN 2. PHẦN TỰ LUẬN (7 điểm).
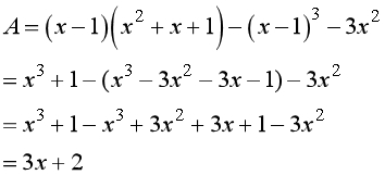
Câu 13: (1,5 điểm) Bạn Sơn rút gọn biểu thức:

Em hãy kiểm tra xem bạn làm đúng hay sai. Nếu lời giải sai hãy sửa lại cho đúng.
Câu 14: (1,5 điểm)
a) (0,75đ)Khi thảo luận nhóm, một bạn ra đề bài: Hãy phân tích đa thức x4 - 9x3 + x2 - 9x thành nhân tử.
Bạn Thái làm như sau: x4 - 9x3 + x2 – 9x = x(x3 - 9x2 + x – 9).
Bạn Hà làm như sau: x4 - 9x3 + x2 – 9x = (x4 - 9x3) + (x2 – 9x) = x3(x – 9) + x(x – 9) = (x – 9)(x3 + x).
Bạn An làm như sau: x4 - 9x3 + x2 – 9x = (x4 + x2) - (9x3 + 9x) = x2(x2 + 1) – 9x(x2 + 1)
= (x2 – 9x) (x2 + 1)= x(x – 9)(x2 + 1).
Hãy cho biết lời giải của các bạn đã thoả mãn yêu cầu của đề bài chưa, lời giải của bạn nào tốt nhất. Hãy giúp các bạn còn lại hoàn thiện bài phân tích trên.
b) (0,75 đ) Tìm x: x3– 2x2+ x = 0
Câu 15: (1 điểm) Cho bảng số liệu sau:
|
Học sinh |
Dũng |
Thắm |
Trọng |
Huế |
Linh |
Khôi |
Cương |
|
Chiều cao |
148 |
127 |
155 |
112 |
115 |
120 |
124 |
Lựa chọn biểu đồ phù hợp biểu diễn bảng thông kê này. Vẽ biểu đồ đó.

Câu 18: (1 điểm) Tìm GTNN của biểu thức sau: A = 2x2 + y2 + 2xy + 2x – 2y + 2027
3. Đáp án đề thi cuối học kì 1 Toán 8
TRẮC NGHIỆM: (3 điểm). Mỗi ý đúng được 0,25 điểm
|
CÂU |
1 |
2 |
3 |
4 |
5 |
6 |
7 |
8 |
9 |
10 |
11 |
12 |
|
Đáp án |
B |
A |
B |
A |
B |
D |
B |
D |
C |
A |
B |
D |
TỰ LUẬN(7 điểm).




.....................................
Mời các bạn sử dụng file tải về để xem chi tiết toàn bộ các đề thi học kì 1 Toán 8.
Mời các bạn tham khảo thêm các thông tin hữu ích khác trên chuyên mục Lớp 8 của HoaTieu.vn.
-
Chia sẻ:
Trần Thu Trang
- Ngày:
Đề thi học kì 1 Toán 8 sách mới CV 7991 có đáp án
12,2 MB 22/12/2025 10:07:00 SA-
Xem Đề thi học kì 1 Toán 8 sách mới CV 7991
1,4 MB Xem thử
Nhiều người quan tâm
Thông tin thanh toán nhanh
Đề thi học kì 1 Toán 8 sách mới CV 7991 có đáp án
149.000đ
Vui lòng nhập số điện thoại hoặc email.
KH khi chuyển khoảnTham khảo thêm
-
Đề thi học kì 1 Lịch sử Địa lí 8 Cánh Diều (có ma trận, đáp án)
-
Đề thi cuối kì 1 Giáo dục công dân 8 Kết nối tri thức (CV 7991)
-
Top 8 đề thi Văn lớp 8 giữa học kì 1 năm 2023 - 2024
-
Đề thi học kì 1 Lịch sử 8 Chân trời sáng tạo (có ma trận, đáp án)
-
Top 10 Đề kiểm tra giữa kì 1 môn Ngữ văn lớp 8 sách mới
-
Đề thi cuối kì 1 Lịch sử 8 Kết nối tri thức CV 7991
-
Đề thi cuối kì 1 Hoạt động trải nghiệm 8 Chân trời sáng tạo
-
Đề thi học kì 1 Khoa học tự nhiên 8 Kết nối tri thức CV 7991
Theo Nghị định 147/2024/ND-CP, bạn cần xác thực tài khoản trước khi sử dụng tính năng này. Chúng tôi sẽ gửi mã xác thực qua SMS hoặc Zalo tới số điện thoại mà bạn nhập dưới đây:
-
Ngữ văn
- Đề đọc hiểu
- Giữa học kì 1
-
Cuối học kì 1
- Đề thi cuối kì 1 Ngữ văn 8 Kết nối tri thức
- Đề thi học kì 1 Ngữ văn 8 Chân trời sáng tạo
- Đề thi cuối kì 1 Văn 8 Cánh Diều
- Đề thi cuối kì 1 Văn 8 Kết nối CV7991 - Đề 2
- Đề thi cuối kì 1 Văn 8 Chân trời CV7991 - Đề 2
- Đề thi cuối kì 1 Văn 8 Cánh Diều CV7991 - Đề 2
- Đề thi cuối kì 1 Văn 8 Sách Mới CV7991 - Đề 2
- Giữa học kì 2
- Cuối học kì 2
- Đề cương
-
Toán
- Giữa học kì 1
-
Cuối học kì 1
- Đề thi học kì 1 Toán lớp 8 Cánh Diều
- Bộ đề ôn tập cuối kì 1 Toán 8 Cánh Diều CV 7991
- Đề thi học kì 1 Toán 8 Kết nối tri thức
- Bộ đề ôn tập cuối kì 1 Toán 8 Kết nối tri thức CV 7991
- Đề thi học kì 1 Toán 8 Chân trời sáng tạo
- Bộ đề ôn tập cuối kì 1 Toán 8 Chân trời sáng tạo CV 7991
- Đề thi học kì 1 Toán 8 sách mới
- Giữa học kì 2
- Cuối học kì 2
- Đề cương
- Thi HSG
-
KHTN
-
Giữa học kì 1
- Bộ đề kiểm tra Khoa học tự nhiên 8 sách mới cả năm
- Đề ôn tập giữa kì 1 Khoa học tự nhiên 8 Kết nối tri thức
- Đề kiểm tra giữa kì 1 Khoa học tự nhiên 8 sách mới
- Đề kiểm tra giữa học kì 1 Khoa học tự nhiên 8 Cánh Diều
- Đề thi giữa học kì 1 Khoa học tự nhiên 8 Kết nối tri thức
- Bộ đề thi giữa học kì 1 KHTN 8 Theo CV 7991 (Có đáp án + Ma trận)
-
Cuối học kì 1
- Đề thi học kì 1 Khoa học tự nhiên 8 mới nhất
- Đề thi học kì 1 Khoa học tự nhiên 8 Kết nối tri thức
- Đề thi cuối kì 1 Khoa học tự nhiên 8 Cánh Diều
- Đề cương ôn tập cuối kì 1 Khoa học tự nhiên 8 Kết nối tri thức
- Đề cương - phân môn Vật lý (Theo CV 7991)
- Bộ đề thi học kì 1 Khoa học tự nhiên 8 Theo CV 7991
- Giữa học kì 2
-
Cuối học kì 2
- Đề thi cuối học kì 2 Khoa học tự nhiên 8 sách mới
- Đề thi Khoa học tự nhiên 8 học kì 2 Kết nối tri thức
- Đề thi cuối kì 2 Khoa học tự nhiên 8 Cánh Diều
- Đề thi học kì 2 lớp 8 môn KHTN Kết nối tri thức (Theo CV 7991) - Đề 1
- Đề thi học kì 2 lớp 8 môn KHTN Kết nối tri thức (Theo CV 7991) - Đề 2
- Đề thi học kì 2 lớp 8 môn KHTN Cánh diều (Theo CV 7991)
- Đề cương
- Thi HSG
-
Giữa học kì 1
-
Lịch sử Địa lí
-
Giữa học kì 1
- Đề thi giữa kì 1 Lịch sử Địa lí 8 Kết nối tri thức
- Đề thi giữa kì 1 Lịch sử Địa lí 8 Chân trời sáng tạo
- Đề kiểm tra giữa kì 1 Lịch sử - Địa lí 8 Cánh Diều
- Ma trận đề thi giữa kì 1 Lịch sử Địa lí 8 CV 7991
- Đề ôn thi giữa kì 1 lớp 8 môn Địa có đáp án
- Đề thi giữa kì 1 Địa lý 8 Kết nối tri thức
- Đề thi giữa kì 1 Địa lí 8 Cánh Diều
- Đề thi giữa kì 1 Địa lí 8 Chân trời sáng tạo
- Đề thi giữa kì 1 Lịch sử lớp 8 Kết nối tri thức
- Đề tham khảo ôn thi giữa kì 1 Lịch sử Địa lí 8 sách mới
- Đề thi giữa kỳ 1 lớp 8 môn Lịch sử có đáp án
- Ma trận đề thi giữa kì 1 Địa lí 8 Kết nối tri thức CV 7991
-
Cuối học kì 1
- Đề thi học kì 1 Lịch sử Địa lí 8 Chân trời sáng tạo
- Đề thi học kì 1 Lịch sử Địa lí 8 Cánh Diều
- Đề thi học kì 1 Lịch sử Địa lí 8 Kết nối tri thức
- Đề ôn tập cuối kì 1 Lịch sử Địa lí 8 sách mới có đáp án
- Đề thi cuối kì 1 Lịch sử 8 Cánh Diều
- Đề thi cuối kì 1 Lịch sử 8 Kết nối tri thức
- Đề thi cuối kì 1 Địa lí 8 Kết nối tri thức
- Đề thi cuối kì 1 Địa lí 8 Chân trời sáng tạo
- Ma trận đề thi cuối kì 1 Địa lí 8 CV 7991
-
Giữa học kì 2
- Đề thi giữa kì 2 Lịch sử Địa lí 8 Chân trời sáng tạo
- Đề thi giữa kì 2 Lịch sử Địa lý 8 Kết nối tri thức
- Đề thi giữa kì 2 Lịch sử 8 Kết nối tri thức
- Đề thi giữa kì 2 Lịch sử 8 Chân trời sáng tạo
- Đề thi giữa kì 2 Địa lí 8 Kết nối tri thức
- Đề thi giữa kì 2 Địa lí 8 Chân trời sáng tạo
- Đề thi giữa học kì 2 Địa lí 8 Cánh Diều
- Ma trận đề thi giữa kì 2 Địa lí 8 CV 7991
-
Cuối học kì 2
- Đề thi học kì 2 Lịch sử Địa lí 8 Chân trời sáng tạo
- Đề kiểm tra học kì 2 Lịch sử Địa lí 8 Kết nối tri thức
- Đề thi cuối kì 2 Địa lí 8 Cánh Diều
- Đề thi cuối kì 2 Địa lí 8 Chân trời sáng tạo
- Đề thi học kì 2 Địa lí 8 Kết nối tri thức
- Đề ôn thi cuối năm Lịch sử Địa lí 8 sách mới
- Đề thi cuối học kì 2 Sử 8 Kết nối tri thức có đáp án
- Đề thi cuối kì 2 Lịch sử 8 Chân trời sáng tạo
- Đề thi cuối kì 2 Lịch sử 8 Cánh Diều
- Ma trận đề thi cuối kì 2 Địa lí 8 CV 7991
- Đề cương
- Thi HSG
-
Giữa học kì 1
- GDCD
- Tin học
- Công nghệ
-
HĐTN
-
Cuối học kì 1
- Đề thi giữa kì 1 Hoạt động trải nghiệm 8 Kết nối tri thức
- Đề thi giữa kì 1 Hoạt động trải nghiệm 8 Chân trời sáng tạo
- Đề thi giữa kì 1 Hoạt động trải nghiệm 8 Cánh Diều
- Ma trận đề thi giữa kì 1 Hoạt động trải nghiệm 8
- Đề thi học kì 1 Hoạt động trải nghiệm 8 Kết nối tri thức
- Bộ đề kiểm tra Hoạt động trải nghiệm 8 Kết nối tri thức cả năm
- Đề thi cuối kì 1 Hoạt động trải nghiệm 8 Cánh Diều
- Đề thi cuối kì 1 Hoạt động trải nghiệm 8 Chân trời sáng tạo
- Đề thi học kì 1 Hoạt động trải nghiệm 8 sách mới
- Giữa học kì 2
- Cuối học kì 2
- Đề cương
-
Cuối học kì 1
- GD địa phương
-
Tiếng anh
- Giữa học kì 1
- Cuối học kì 1
- Giữa học kì 2
- Cuối học kì 2
-
Đề cương
- Đề cương ôn tập tiếng Anh 8 i-Learn Smart World học kì 2
- Đề cương ôn thi học kì 1 tiếng Anh 8 i-Learn Smart World (có đáp án)
- Đề cương ôn thi giữa kì 1 Tiếng Anh 8 I Learn Smart World
- Đề cương ôn thi giữa kì 1 Tiếng Anh 8 Global Success
- Đề cương ôn thi giữa kì 2 Tiếng Anh 8 Global Success
- Đề cương ôn tập cuối kì 2 tiếng Anh 8 Global Success
- Đề cương ôn thi học kì 2 tiếng Anh 8 chương trình mới file word
- Đề thi HSG
- Âm nhạc
Đề thi lớp 8 tải nhiều
-
Đề thi học sinh giỏi môn Lịch sử Địa lí 8 cấp xã
-
Đề thi học sinh giỏi Hóa THCS cấp tỉnh An Giang
-
Bộ đề thi Văn lớp 8 học kì 2 năm 2026 có đáp án
-
Đề ôn thi cuối năm Lịch sử Địa lí 8 sách mới (có đáp án)
-
Đề thi cuối học kì 2 môn Giáo dục thể chất 8
-
Đề thi học kì 2 Địa lí 8 Kết nối tri thức CV 7991
-
Đề thi cuối kì 2 Địa lí 8 Cánh Diều CV 7991
-
Đề thi cuối kì 2 Địa lí 8 Chân trời sáng tạo (có ma trận, đáp án)
-
Đề thi cuối kì 2 Hoạt động trải nghiệm 8 Kết nối tri thức
-
Đề thi cuối kì 2 Hoạt động trải nghiệm 8 Cánh Diều
Tải nhanh tài liệu
Đề thi học kì 1 Toán 8 sách mới CV 7991 có đáp án
Thông tin thanh toán nhanh
Đề thi học kì 1 Toán 8 sách mới CV 7991 có đáp án
149.000đ
Vui lòng nhập số điện thoại hoặc email.
KH khi chuyển khoản
Bài viết hay Đề thi lớp 8
-
Đề cương ôn tập giữa kì 1 Văn 8 Kết nối tri thức
-
Đề thi giữa kì 2 Địa lí 8 Chân trời sáng tạo CV 7991
-
(Mới) Đề khảo sát chất lượng đầu năm môn Ngữ Văn 8
-
Top 9 Đề thi giữa học kì 2 GDCD 8 năm 2023-2024 có đáp án
-
Bộ đề thi giữa học kì 2 môn Toán lớp 6, 7, 8, 9 Cánh Diều CV 7991
-
Bộ đề thi giữa học kì 1 KHTN 8 Theo CV 7991 (Có đáp án + Ma trận)