Đề cương ôn tập học kì 2 Toán 8 Kết nối tri thức 2026
Mua tài khoản Hoatieu Pro để trải nghiệm website Hoatieu.vn KHÔNG quảng cáo & Tải nhanh File chỉ từ 99.000đ. Tìm hiểu thêm »
Đề cương ôn tập cuối kì 2 Toán 8 KNTT
Đề cương ôn tập cuối học kì 2 Toán 8 KNTT được Hoatieu chia sẻ trong bài viết sau đây bao gồm tổng hợp các câu hỏi trắc nghiệm Toán 8 học kì 2 sách Kết nối kèm theo các câu hỏi tự luận môn Toán 8 của các dạng bài trong chương trình học kì 2 môn Toán 8 KNTT sẽ giúp các em củng cố kiến thức thật tốt để đạt kết quả cao trong kì thi học kì 2 sắp tới. Sau đây là nội dung chi tiết đề cương ôn tập cuối kì 2 Toán 8 KNTT, mời các em cùng tham khảo.
1. Nội dung câu hỏi ôn tập Toán 8 học kì 2 KNTT

......................
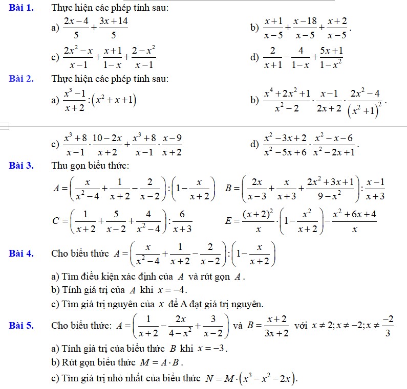
BÀI TẬP TỰ LUẬN
DẠNG 1. CÁC PHÉP TOÁN VỀ PHÂN THỨC

DẠNG 2. GIẢI PHƯƠNG TRÌNH

.............................
Chi tiết 78 câu hỏi đề cương ôn tập cuối kì 2 Toán 8 KNTT mời các bạn xem trong file tải về.
2. Đề thi cuối kì 2 Toán 8 Kết nối tri thức 2024 có đáp án
Mời các bạn tham khảo thêm các thông tin hữu ích khác trên chuyên mục Lớp 8 của HoaTieu.vn.
-
Chia sẻ:
Trần Thu Trang
- Ngày:
Đề cương ôn tập học kì 2 Toán 8 Kết nối tri thức 2026
856,4 KB 19/04/2024 4:31:00 CHNhiều người quan tâm
Tham khảo thêm
-
Đề thi học kì 2 Anh 8 sách mới có đáp án 2026
-
Đề thi Khoa học tự nhiên 8 học kì 2 Kết nối tri thức 2026
-
Đề thi cuối kì 2 Lịch sử Địa lí 8 Kết nối tri thức 2026
-
Đề thi cuối kì 2 tiếng Anh 8 Global Success
-
Đề thi cuối kì 2 Giáo dục công dân 8 sách Kết nối CV 7991
-
(2 đề) Đề thi học kì 2 Lịch sử Địa lí 8 Chân trời sáng tạo có ma trận, đáp án
-
Đề thi cuối kì 2 Giáo dục công dân 8 Chân trời sáng tạo CV 7991
-
Đề ôn thi cuối năm Lịch sử Địa lí 8 sách mới (có đáp án)
Theo Nghị định 147/2024/ND-CP, bạn cần xác thực tài khoản trước khi sử dụng tính năng này. Chúng tôi sẽ gửi mã xác thực qua SMS hoặc Zalo tới số điện thoại mà bạn nhập dưới đây:
-
Ngữ văn
- Đề đọc hiểu
- Giữa học kì 1
-
Cuối học kì 1
- Đề thi cuối kì 1 Ngữ văn 8 Kết nối tri thức
- Đề thi học kì 1 Ngữ văn 8 Chân trời sáng tạo
- Đề thi cuối kì 1 Văn 8 Cánh Diều
- Đề thi cuối kì 1 Văn 8 Kết nối CV7991 - Đề 2
- Đề thi cuối kì 1 Văn 8 Chân trời CV7991 - Đề 2
- Đề thi cuối kì 1 Văn 8 Cánh Diều CV7991 - Đề 2
- Đề thi cuối kì 1 Văn 8 Sách Mới CV7991 - Đề 2
- Giữa học kì 2
- Cuối học kì 2
- Đề cương
-
Toán
- Giữa học kì 1
-
Cuối học kì 1
- Đề thi học kì 1 Toán lớp 8 Cánh Diều
- Bộ đề ôn tập cuối kì 1 Toán 8 Cánh Diều CV 7991
- Đề thi học kì 1 Toán 8 Kết nối tri thức
- Bộ đề ôn tập cuối kì 1 Toán 8 Kết nối tri thức CV 7991
- Đề thi học kì 1 Toán 8 Chân trời sáng tạo
- Bộ đề ôn tập cuối kì 1 Toán 8 Chân trời sáng tạo CV 7991
- Đề thi học kì 1 Toán 8 sách mới
- Giữa học kì 2
- Cuối học kì 2
- Đề cương
- Thi HSG
-
KHTN
-
Giữa học kì 1
- Bộ đề kiểm tra Khoa học tự nhiên 8 sách mới cả năm
- Đề ôn tập giữa kì 1 Khoa học tự nhiên 8 Kết nối tri thức
- Đề kiểm tra giữa kì 1 Khoa học tự nhiên 8 sách mới
- Đề kiểm tra giữa học kì 1 Khoa học tự nhiên 8 Cánh Diều
- Đề thi giữa học kì 1 Khoa học tự nhiên 8 Kết nối tri thức
- Bộ đề thi giữa học kì 1 KHTN 8 Theo CV 7991 (Có đáp án + Ma trận)
-
Cuối học kì 1
- Đề thi học kì 1 Khoa học tự nhiên 8 mới nhất
- Đề thi học kì 1 Khoa học tự nhiên 8 Kết nối tri thức
- Đề thi cuối kì 1 Khoa học tự nhiên 8 Cánh Diều
- Đề cương ôn tập cuối kì 1 Khoa học tự nhiên 8 Kết nối tri thức
- Đề cương - phân môn Vật lý (Theo CV 7991)
- Bộ đề thi học kì 1 Khoa học tự nhiên 8 Theo CV 7991
- Giữa học kì 2
-
Cuối học kì 2
- Đề thi cuối học kì 2 Khoa học tự nhiên 8 sách mới
- Đề thi Khoa học tự nhiên 8 học kì 2 Kết nối tri thức
- Đề thi cuối kì 2 Khoa học tự nhiên 8 Cánh Diều
- Đề thi học kì 2 lớp 8 môn KHTN Kết nối tri thức (Theo CV 7991) - Đề 1
- Đề thi học kì 2 lớp 8 môn KHTN Kết nối tri thức (Theo CV 7991) - Đề 2
- Đề thi học kì 2 lớp 8 môn KHTN Cánh diều (Theo CV 7991)
- Đề cương
- Thi HSG
-
Giữa học kì 1
-
Lịch sử Địa lí
-
Giữa học kì 1
- Đề thi giữa kì 1 Lịch sử Địa lí 8 Kết nối tri thức
- Đề thi giữa kì 1 Lịch sử Địa lí 8 Chân trời sáng tạo
- Đề kiểm tra giữa kì 1 Lịch sử - Địa lí 8 Cánh Diều
- Ma trận đề thi giữa kì 1 Lịch sử Địa lí 8 CV 7991
- Đề ôn thi giữa kì 1 lớp 8 môn Địa có đáp án
- Đề thi giữa kì 1 Địa lý 8 Kết nối tri thức
- Đề thi giữa kì 1 Địa lí 8 Cánh Diều
- Đề thi giữa kì 1 Địa lí 8 Chân trời sáng tạo
- Đề thi giữa kì 1 Lịch sử lớp 8 Kết nối tri thức
- Đề tham khảo ôn thi giữa kì 1 Lịch sử Địa lí 8 sách mới
- Đề thi giữa kỳ 1 lớp 8 môn Lịch sử có đáp án
- Ma trận đề thi giữa kì 1 Địa lí 8 Kết nối tri thức CV 7991
-
Cuối học kì 1
- Đề thi học kì 1 Lịch sử Địa lí 8 Chân trời sáng tạo
- Đề thi học kì 1 Lịch sử Địa lí 8 Cánh Diều
- Đề thi học kì 1 Lịch sử Địa lí 8 Kết nối tri thức
- Đề ôn tập cuối kì 1 Lịch sử Địa lí 8 sách mới có đáp án
- Đề thi cuối kì 1 Lịch sử 8 Cánh Diều
- Đề thi cuối kì 1 Lịch sử 8 Kết nối tri thức
- Đề thi cuối kì 1 Địa lí 8 Kết nối tri thức
- Đề thi cuối kì 1 Địa lí 8 Chân trời sáng tạo
- Ma trận đề thi cuối kì 1 Địa lí 8 CV 7991
-
Giữa học kì 2
- Đề thi giữa kì 2 Lịch sử Địa lí 8 Chân trời sáng tạo
- Đề thi giữa kì 2 Lịch sử Địa lý 8 Kết nối tri thức
- Đề thi giữa kì 2 Lịch sử 8 Kết nối tri thức
- Đề thi giữa kì 2 Lịch sử 8 Chân trời sáng tạo
- Đề thi giữa kì 2 Địa lí 8 Kết nối tri thức
- Đề thi giữa kì 2 Địa lí 8 Chân trời sáng tạo
- Đề thi giữa học kì 2 Địa lí 8 Cánh Diều
- Ma trận đề thi giữa kì 2 Địa lí 8 CV 7991
-
Cuối học kì 2
- Đề thi học kì 2 Lịch sử Địa lí 8 Chân trời sáng tạo
- Đề kiểm tra học kì 2 Lịch sử Địa lí 8 Kết nối tri thức
- Đề thi cuối kì 2 Địa lí 8 Cánh Diều
- Đề thi cuối kì 2 Địa lí 8 Chân trời sáng tạo
- Đề thi học kì 2 Địa lí 8 Kết nối tri thức
- Đề ôn thi cuối năm Lịch sử Địa lí 8 sách mới
- Đề thi cuối học kì 2 Sử 8 Kết nối tri thức có đáp án
- Đề thi cuối kì 2 Lịch sử 8 Chân trời sáng tạo
- Đề thi cuối kì 2 Lịch sử 8 Cánh Diều
- Ma trận đề thi cuối kì 2 Địa lí 8 CV 7991
- Đề cương
- Thi HSG
-
Giữa học kì 1
- GDCD
- Tin học
- Công nghệ
-
HĐTN
-
Cuối học kì 1
- Đề thi giữa kì 1 Hoạt động trải nghiệm 8 Kết nối tri thức
- Đề thi giữa kì 1 Hoạt động trải nghiệm 8 Chân trời sáng tạo
- Đề thi giữa kì 1 Hoạt động trải nghiệm 8 Cánh Diều
- Ma trận đề thi giữa kì 1 Hoạt động trải nghiệm 8
- Đề thi học kì 1 Hoạt động trải nghiệm 8 Kết nối tri thức
- Bộ đề kiểm tra Hoạt động trải nghiệm 8 Kết nối tri thức cả năm
- Đề thi cuối kì 1 Hoạt động trải nghiệm 8 Cánh Diều
- Đề thi cuối kì 1 Hoạt động trải nghiệm 8 Chân trời sáng tạo
- Đề thi học kì 1 Hoạt động trải nghiệm 8 sách mới
- Giữa học kì 2
- Cuối học kì 2
- Đề cương
-
Cuối học kì 1
- GD địa phương
-
Tiếng anh
- Giữa học kì 1
- Cuối học kì 1
- Giữa học kì 2
- Cuối học kì 2
-
Đề cương
- Đề cương ôn tập tiếng Anh 8 i-Learn Smart World học kì 2
- Đề cương ôn thi học kì 1 tiếng Anh 8 i-Learn Smart World (có đáp án)
- Đề cương ôn thi giữa kì 1 Tiếng Anh 8 I Learn Smart World
- Đề cương ôn thi giữa kì 1 Tiếng Anh 8 Global Success
- Đề cương ôn thi giữa kì 2 Tiếng Anh 8 Global Success
- Đề cương ôn tập cuối kì 2 tiếng Anh 8 Global Success
- Đề cương ôn thi học kì 2 tiếng Anh 8 chương trình mới file word
- Đề thi HSG
- Âm nhạc
Đề thi lớp 8 tải nhiều
-
Đề thi học sinh giỏi môn Lịch sử Địa lí 8 cấp xã
-
Đề thi học sinh giỏi Hóa THCS cấp tỉnh An Giang
-
Bộ đề thi Văn lớp 8 học kì 2 năm 2026 có đáp án
-
Đề ôn thi cuối năm Lịch sử Địa lí 8 sách mới (có đáp án)
-
Đề thi cuối học kì 2 môn Giáo dục thể chất 8
-
Đề thi học kì 2 Địa lí 8 Kết nối tri thức CV 7991
-
Đề thi cuối kì 2 Địa lí 8 Cánh Diều CV 7991
-
Đề thi cuối kì 2 Địa lí 8 Chân trời sáng tạo (có ma trận, đáp án)
-
Đề thi cuối kì 2 Hoạt động trải nghiệm 8 Kết nối tri thức
-
Đề thi cuối kì 2 Hoạt động trải nghiệm 8 Cánh Diều
Bài viết hay Đề thi lớp 8
-
Ma trận đề thi giữa kì 2 Địa lí 8 CV 7991
-
Đề thi học sinh giỏi Khoa học tự nhiên lớp 8 cấp huyện
-
Bộ đề thi cuối học kì 2 môn Khoa học tự nhiên lớp 6, 7, 8, 9 Kết nối tri thức
-
Đề thi cuối học kì 2 Lịch sử 8 Kết nối tri thức CV 7991
-
Tài liệu ôn thi giữa kì 1 lớp 8 môn Toán cấu trúc mới
-
Đề thi cuối kì 1 Lịch sử 8 Cánh Diều CV 7991