Giáo án Toán lớp 4 sách Chân trời sáng tạo Học kì 2
Tài liệu này không áp dụng tải nhanh miễn phí cho thành viên gói Pro. Tìm hiểu thêm »
Giáo án Toán 4 Chân trời sáng tạo Học kì 2 là mẫu giáo án bài giảng theo chương trình mới giúp giáo viên tham khảo nhằm soạn giáo án tiết kiệm thời gian và công sức hơn.
Mẫu giáo án bản word gồm đủ các tuần từ 19 đến 35, biên soạn theo Công văn 2345, bám sát chương trình HK2 môn Toán lớp 4 bộ sách Chân trời sáng tạo, sử dụng cho năm học 2025-2026. Sau đây là nội dung chi tiết KHBD Toán 4 Chân trời sáng tạo HK2, mời các bạn tải file về máy để xem bản đầy đủ.
Giáo án Toán 4 Chân trời sáng tạo học kỳ 2
Ngày soạn: …/…/…
Ngày dạy: …/…/…
CHỦ ĐỀ 3: CÁC PHÉP TÍNH VỚI SỐ TỰ NHIÊN
BÀI 40: PHÉP CỘNG CÁC SỐ TỰ NHIÊN
(2 tiết)
I. MỤC TIÊU
1. Kiến thức, kĩ năng:
Sau bài học này, HS sẽ:
- HS thực hiện được phép cộng các số tự nhiên có nhiều chữ số; vận dụng được tính chất của phép cộng trong thực hành tính.
- Vận dụng để giải quyết các vấn đề đơn giản liên quan đến phép cộng các số tự nhiên có nhiều chữ số.
2. Năng lực
Năng lực chung:
- Năng lực giao tiếp, hợp tác: Trao đổi, thảo luận với giáo viên và bạn bè để thực hiện các nhiệm vụ học tập.
- Năng lực giải quyết vấn đề và sáng tạo: Sử dụng các kiến thức đã học ứng dụng vào thực tế, tìm tòi, phát hiện giải quyết các nhiệm vụ trong cuộc sống.
Năng lực riêng:
- HS có cơ hội phát triển năng lực tư duy và lập luận toán học, giao tiếp toán học, mô hình hoá toán học, giải quyết vấn đề toán học.
3. Phẩm chất
- Chăm chỉ: Chăm học, ham học, có tinh thần tự học; chịu khó đọc sách giáo khoa, tài liệu và thực hiện các nhiệm vụ cá nhân.
- Trung thực: trung thực trong thực hiện giải bài tập, thực hiện nhiệm vụ, ghi chép và rút ra kết luận.
- Yêu thích môn học, sáng tạo, có niềm hứng thú, say mê các con số để giải quyết bài toán.
- Rèn luyện tính cẩn thận, chính xác, phát huy ý thức chủ động, trách nhiệm và bồi dưỡng sự tự tin, hứng thú trong việc học.
II. PHƯƠNG PHÁP VÀ THIẾT BỊ DẠY HỌC
1. Phương pháp dạy học
- Vấn đáp, động não, trực quan, hoạt động nhóm.
- Nêu vấn đề, giải quyết vấn đề.
2. Thiết bị dạy học
Đối với giáo viên
- Giáo án.
- Bộ đồ dùng dạy, học Toán 4.
- Máy tính, máy chiếu.
- Bảng phụ.
- Tranh ảnh cần thiết, hình vẽ tóm tắt bài Luyện tập 3, số liệu Thử thách (nếu cần).
Đối với học sinh
- Vở ghi, dụng cụ học tập theo yêu cầu của GV (bút, thước, tẩy,..)
III. CÁC HOẠT ĐỘNG DẠYHỌC
|
HOẠT ĐỘNG CỦA GIÁO VIÊN |
HOẠT ĐỘNG CỦA HỌC SINH |
|
A. HOẠT ĐỘNG KHỞI ĐỘNG a. Mục tiêu: Tạo tâm thế hứng thú, kích thích sự tò mò của HS trước khi vào bài học. b. Cách thức tiến hành: - GV tổ chức cho HS chơi trò chơi "Đố bạn": GV: - Đố bạn, đố bạn! HS: - Đố gì, đố gì? GV: - Cả thành phố Hồ Chí Minh và tỉnh Nghệ An có 156 482 con bò sữa. Tỉnh Sơn La có 26 156 con bò sữa. Hỏi cả ba địa phương này có bao nhiêu con bò sữa? HS: ……………
- GV đặt vấn đề và dẫn dắt HS vào bài học: Làm thế nào để tính tổng của 156 482 và 26 156 nhỉ? Cô trò mình cùng đi tìm hiểu bài học ngày hôm nay "PHÉP CỘNG CÁC SỐ TỰ NHIÊN". B. HOẠT ĐỘNG HÌNH THÀNH KIẾN THỨC I. KHÁM PHÁ a. Mục tiêu: HS thực hiện được phép cộng các số tự nhiên có nhiều chữ số; vận dụng được tính chất của phép cộng trong thực hành tính. b. Cách thức tiến hành - GV chiếu lại hình ảnh phần Khởi động, giới thiệu tình huống trong khám phá:
và dẫn dắt: “Các em hãy nêu cách đặt tính cho phép tính ?” và nêu bài toán: "Làm sao để thực hiện phép cộng 156 482 và 26 156?" Thông qua tình huống, GV chia lớp thành các nhóm và yêu cầu các nhóm thảo luận trình bày việc thực hiện phép tính, giải thích tại sao thực hiện như vậy. - GV viết lên bảng phép tính dọc:
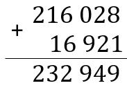
- GV dẫn dắt, đặt câu hỏi: "Các em hãy quan sát phép tính và cho cô biết cách cộng như thế nào trong phép cộng đó?” - GV dẫn dắt và làm rõ trình tự: Đặt tính → Tính → Thử lại - GV tổ chức cho HS trao đổi thông tin về những lưu ý khi thực hiện bước Tính. - GV dẫn dắt, đặt câu hỏi: “Ở bước Thử lại trong trình tự thực hiện phép tính cộng chúng ta cần làm gì?” - GV khái quát hóa lại cách cộng các số tự nhiên: + Đặt tính: Các chữ số cùng hàng đặt thẳng cột với nhau. + Tính: · Từ phải sang trái. · Nếu phép cộng ở một hàng là có nhớ thì nhớ 1 sang hàng cao hơn, liền nó. + Thử lại · Kiểm tra lại các số hạng khi viết ở hàng dọc. · Kiểm tra lại cách đặt tính. · Dò lại các phép tính cộng ở từng hàng. - GV tổ chức cho HS trao đổi về cách người ta sử dụng phép tính cộng trong thực tế. Ví dụ: Bác A đi siêu thị mua một bó rau có giá 16 921 đồng, sau đó bác ra mua thêm 216 028 đồng tiền thịt. Hỏi tổng số tiền bác A phải trả? II. HOẠT ĐỘNG a. Mục tiêu: - Thực hiện các phép tính cộng. - Rèn kĩ năng tính. b. Cách thức tiến hành: Nhiệm vụ 1: Hoàn thành BT1 Đặt tính rồi tính.
- GV hướng dẫn HS nhận biết yêu cầu, thực hiện từng phép tính (bảng con): + Đặt phép tính theo chiều dọc + Thực hiện tính cộng từ phải sang trái + Thử lại Kết quả - GV tổ chức cho HS hoạt động cặp đôi chia sẻ theo các bước khi cộng hai số tự nhiên. - GV mời 2 nhóm trình bày kết quả.
- GV lưu ý và rút kinh nghiệm cho HS ở các bài tập sau. Nhiệm vụ 2: Hoàn thành BT2 Tính nhẩm.
- GV dẫn dắt HS nhận biết yêu cầu đề bài. - GV đặt câu hỏi: “Chúng ta đã học cách thực hiện phép tính cộng bằng cách đặt tính, vậy còn tính nhẩm là gì, có khác với cách đặt tính đã học?”
- GV yêu cầu HS hoạt động cá nhân, thực hiện và trình bày kết quả vào vở. - GV mời 4 HS lên bảng trình bày kết quả và cách cộng nhẩm. - GV cho lớp nhận xét, chữa bài, sau đó GV giúp HS giải thích việc vận dụng phép tính. Ví dụ: d) + Lấy 2 chục nghìn cộng với 8 chục nghìn được 10 chục nghìn, tức là 1 trăm nghìn. + Lấy 1 chục nghìn cộng với 9 chục nghìn được 10 chục nghìn, tức là 1 trăm nghìn. + Lấy 1 trăm nghìn cộng với 1 trăm nghìn được 2 trăm nghìn. + Viết kết quả: 200 000. - GV đặt các câu hỏi: + Việc đổi chỗ các số hạng áp dụng tính chất gì của phép cộng? + Việc bắt cặp để cộng các số hạng đã áp dụng tính chất nào? + Việc tính toán này thuận tiện như thế nào? - GV cho HS chữa bài, chốt đáp án. Nhiệm vụ 3: Hoàn thành các câu hỏi trắc nghiệm - GV đưa ra 5 câu hỏi trắc nghiệm và yêu cầu HS suy nghĩ trải lời các câu hỏi Câu 1: Chọn đáp án đúng cho phép tính sau
A. 784 216 B. 784 206 C. 684 206 D. 684 106 Câu 2: Chọn đáp án đúng cho phép tính sau:
A. 1 900 000 B. 2 008 000 C. 1 980 000 D. 2 000 000
Câu 3: Số?
A. 6 008 000 B. 6 080 000 C. 8 600 000 D. 6 800 000 Câu 4: So sánh?
A. > B. < C. = D. Không xác định được Câu 5: Tổng của số liền trước và số liền sau của 1 234? A. 1 234 B. 2 448 C. 2468 D. 2 648 |
- Cả lớp tích cực tham gia trò chơi. + GV: Đố bạn, đố bạn! + HS: Đố gì, đố gì? + GV: Cả thành phố Hồ Chí Minh và tỉnh Nghệ An có 156 482 con bò sữa. Tỉnh Sơn La có 26 156 con bò sữa. Hỏi cả ba địa phương này có bao nhiêu con bò sữa? + HS: Tổng của 156 482 và 26 156.
- HS chú ý quan sát, lắng nghe và tiếp nhận thông tin
- HS chú ý lắng nghe và hình thành động cơ học tập. - HS thảo luận cặp đôi, trao đổi và trả lời các câu hỏi.
+ Để thực hiện phép tính cộng ta cần đặt tính rồi thực hiện cộng theo hàng dọc lần lượt từ phải sang trái. - HS chú ý nghe, quan sát, ghi vở, đồng thanh. + 2 cộng 6 bằng 8, viết 8. + 8 cộng 5 bằng 13, viết 3, nhớ 1. + 4 cộng 1 bằng 5, thêm 1 bằng 6, viết 6. + 6 cộng 6 bằng 12, viết 2, nhớ 1. + 5 cộng 2 bằng 7, thêm 1 bằng 8, viết 8. + Hạ 1, viết 1. - HS chú ý lắng nghe, tiếp nhận kiến thức. - HS trao đổi cặp đôi và đưa ra câu trả lời: + Tính từ phải sang trái + Nếu phép cộng ở một hàng là có nhớ thì nhớ 1 sang hàng cao hơn, liền nó. - HS trao đổi cặp đôi và đưa ra câu trả lời: + Các số hạng viết theo hàng dọc đã chính xác chưa? + Đặt phép tính đúng chưa? + Dò lại phép tính ở từng hàng, đặc biệt lưu ý trường hợp có nhớ. + Có thể thử lại bằng cách cộng từ dưới lên. - HS chú ý lắng nghe, tiếp nhận kiến thức, ghi vở.
- HS thảo luận cặp đôi, trao đổi và trả lời câu hỏi.
+ Số tiền bác A phải trả là 16 921 + 216 028 (đồng)
Vậy bác A phải trả 232 949 đồng.
- HS tìm hiểu đề, trao đổi cặp đôi hoàn thành yêu cầu. - Kết quả:
- HS trao đổi, thảo luận theo yêu cầu của GV và trả lời. + Nhẩm tính (không cần viết các bước) rồi viết kết quả. + Nhẩm sao cho nhanh? (Dùng các tính chất của phép cộng để tính toán thuận tiện) - Kết quả: a)
b)
c)
d)
- Kết quả: + Áp dụng tính chất giao hoán để đổi chỗ các số hạng. + Áp dụng tính chất kết hợp để cộng các cặp số hạng + Việc tính toán này thuận tiện vì kết quả mỗi bước tính là số tròn trăm nghìn.
- HS chú ý lắng nghe và thực hiện theo yêu cầu của GV. - Kết quả: Câu 1:
Vậy đáp án đúng là A.
Câu 2:
Vậy đáp án đúng là D. Câu 3:
Vậy đáp án đúng là D.
Câu 4:
Vậy đáp án đúng là B.
|
...
>> Tải file về máy để xem trọn bộ Giáo án Toán lớp 4 sách Chân trời sáng tạo HK2.
Mời các bạn tham khảo thêm tài liệu - giáo án khác trên chuyên mục Giáo án lớp 4 của HoaTieu.vn.
-
Chia sẻ:
Nguyễn Thị Hải Yến
- Ngày:
Giáo án Toán lớp 4 sách Chân trời sáng tạo Học kì 2
17,4 MB 03/12/2025 4:41:00 CHNhiều người quan tâm
Thông tin thanh toán nhanh
Giáo án Toán lớp 4 sách Chân trời sáng tạo Học kì 2
100.000đ
Vui lòng nhập số điện thoại hoặc email.
KH khi chuyển khoảnTham khảo thêm
Theo Nghị định 147/2024/ND-CP, bạn cần xác thực tài khoản trước khi sử dụng tính năng này. Chúng tôi sẽ gửi mã xác thực qua SMS hoặc Zalo tới số điện thoại mà bạn nhập dưới đây:
-
Toán
- (Word) Giáo án Toán 4 KNTT
- (Word) Giáo án Toán 4 KNTT Học kì 1
- (Word) Giáo án Toán 4 KNTT Học kì 2
- (Word) Giáo án Toán 4 CTST
- (Word) Giáo án Toán 4 CTST Học kì 1
- (Word) Giáo án Toán 4 CTST Học kì 2
- (Word) Giáo án buổi chiều Toán 4 CTST Học kì 1
- (Word) Giáo án Toán 4 Cánh Diều
- (PPT) PowerPoint Toán 4 KNTT
- (PPT) PowerPoint Toán 4 KNTT Học kì 1
- (PPT) PowerPoint Toán 4 KNTT Học kì 2
- (PPT) Powerpoint Toán 4 CTST
- (PPT) Powerpoint Toán 4 CTST Học kì 2
- (PPT) Powerpoint Toán 4 CTST Học kì 1
- (PPT) PowerPoint Toán 4 Cánh Diều
- (PPT) PowerPoint Toán 4 Cánh Diều Học kì 1
- (PPT) PowerPoint Toán 4 Cánh Diều Học kì 2
-
Tiếng Việt
- (Word) Giáo án Tiếng Việt 4 KNTT
- (Word) Giáo án Tiếng Việt 4 CTST
- (Word) Giáo án Tiếng Việt 4 Cánh Diều
- (PPT) PowerPoint Tiếng Việt 4 KNTT
- (PPT) PowerPoint Tiếng Việt 4 KNTT Học kì 1
- (PPT) PowerPoint Tiếng Việt 4 KNTT Học kì 2
- (PPT) Powerpoint Tiếng Việt 4 CTST
- (PPT) Powerpoint Tiếng Việt 4 CTST Học kì 1
- (PPT) Powerpoint Tiếng Việt 4 CTST Học kì 2
- (PPT) PowerPoint Tiếng Việt 4 Cánh Diều
- (PPT) PowerPoint Tiếng Việt 4 Cánh diều Học kì 1
- (PPT) PowerPoint Tiếng Việt 4 Cánh diều Học kì 2
-
Khoa học
- (Word) Giáo án Khoa học 4 KNTT
- (Word) Giáo án Khoa học 4 CTST
- (Word) Giáo án Khoa học 4 Cánh Diều
- (Word) Giáo án Khoa học 4 Cánh diều Học kì 1
- (Word) Giáo án Khoa học 4 Cánh diều Học kì 2
- (PPT) PowerPoint Khoa học 4 KNTT
- (PPT) Powerpoint Khoa học lớp 4 KNTT Học kì 1
- (PPT) Powerpoint Khoa học lớp 4 KNTT Học kì 2
- (PPT) Powerpoint Khoa học lớp 4 CTST
- (PPT) Powerpoint Khoa học 4 CTST Học kì 1
- (PPT) Powerpoint Khoa học 4 CTST Học kì 2
- (PPT) PowerPoint Khoa học 4 Cánh Diều
-
Sử - Địa
- (Word) Giáo án Lịch sử & Địa lí 4 KNTT
- (Word) Giáo án Lịch sử & Địa lí 4 CTST
- (Word) Giáo án Lịch sử & Địa lí 4 Cánh Diều
- (PPT) PowerPoint Lịch sử & Địa lí 4 KNTT
- (PPT) Powerpoint Lịch sử Địa lý lớp 4 KNTT Học kì 1
- (PPT) Powerpoint Lịch sử Địa lý lớp 4 KNTT Học kì 2
- (PPT) PowerPoint Lịch sử & Địa lí 4 CTST
- (PPT) Powerpoint Lịch sử Địa lí 4 CTST Học kì 1
- (PPT) Powerpoint Lịch sử Địa lí 4 CTST Học kì 2
- (PPT) PowerPoint Lịch sử & Địa lí 4 Cánh Diều
-
HĐTN
- (Word) Giáo án Hoạt động trải nghiệm 4 KNTT
- (Word) Giáo án Hoạt động trải nghiệm 4 CTST
- (Word) Giáo án Hoạt động trải nghiệm 4 CTST Học kì 1
- (Word) Giáo án Hoạt động trải nghiệm 4 CTST Học kì 2
- (Word) Giáo án Hoạt động trải nghiệm 4 Cánh Diều
- (PPT) PowerPoint Hoạt động trải nghiệm 4 KNTT
- (PPT) Powerpoint Hoạt động trải nghiệm 4 KNTT Học kì 1
- (PPT) Powerpoint Hoạt động trải nghiệm 4 KNTT Học kì 2
- (PPT) PowerPoint Hoạt động trải nghiệm CTST
- (PPT) Powerpoint Hoạt động trải nghiệm 4 CTST Bản 1 Học kì 1
- (PPT) Powerpoint Hoạt động trải nghiệm 4 CTST Bản 1 Học kì 2
- (PPT) PowerPoint Hoạt động trải nghiệm 4 Cánh Diều
-
Đạo đức
- (Word) Giáo án Đạo đức 4 KNTT
- (Word) Giáo án Đạo đức 4 CTST
- (Word) Giáo án Đạo đức 4 Cánh Diều
- (PPT) PowerPoint Đạo đức 4 KNTT
- (PPT) Powerpoint Đạo đức lớp 4 KNTT Học kì 1
- (PPT) Powerpoint Đạo đức lớp 4 KNTT Học kì 2
- (PPT) PowerPoint Đạo đức 4 CTST
- (PPT) Powerpoint Đạo đức 4 CTST Học kì 1
- (PPT) Powerpoint Đạo đức 4 CTST Học kì 2
- (PPT) PowerPoint Đạo đức 4 Cánh Diều
-
Tin học
- (Word) Giáo án Tin học 4 KNTT
- (Word) Giáo án Tin học 4 CTST
- (Word) Giáo án Tin học 4 Cánh Diều
- (Word) Giáo án Tin học 4 Cánh diều Học kì 1
- (Word) Giáo án Tin học 4 Cánh diều Học kì 2
- (PPT) PowerPoint Tin học 4 KNTT
- (PPT) PowerPoint Tin học 4 KNTT Học kì 1
- (PPT) PowerPoint Tin học 4 KNTT Học kì 2
- (PPT) PowerPoint Tin học 4 Cánh Diều
-
Công nghệ
- (Word) Giáo án Công nghệ 4 KNTT
- (Word) Giáo án Công nghệ 4 KNTT Học kì 1
- (Word) Giáo án Công nghệ 4 KNTT Học kì 2
- (Word) Giáo án Công nghệ 4 CTST
- (Word) Giáo án Công nghệ 4 CTST Học kì 1
- (Word) Giáo án Công nghệ 4 CTST Học kì 2
- (Word) Giáo án Công nghệ 4 Cánh Diều
- (Word) Giáo án Công nghệ 4 Cánh Diều Học kì 1
- (Word) Giáo án Công nghệ 4 Cánh Diều Học kì 2
- (PPT) PowerPoint Công nghệ 4 KNTT
- (PPT) Powerpoint Công nghệ 4 KNTT Học kì 1
- (PPT) Powerpoint Công nghệ 4 KNTT Học kì 2
- (PPT) PowerPoint Công nghệ 4 Cánh Diều
- (PPT) PowerPoint Công nghệ 4 Cánh Diều Học kì 1
- (PPT) PowerPoint Công nghệ 4 Cánh Diều Học kì 2
- Mĩ thuật
- Âm nhạc
- GD Thể chất
- Tiếng Anh
- Công dân số
-
Tích hợp
- (Word) Giáo án tích hợp lớp 4 KNTT
- (Word) Giáo án tích hợp Tiếng Việt 4 KNTT
- (Word) Giáo án tích hợp Công nghệ 4 KNTT
- (Word) Giáo án tích hợp Đạo đức 4 KNTT
- (Word) Giáo án tích hợp HĐTN 4 KNTT
- (Word) Giáo án tích hợp Khoa học 4 KNTT
- (Word) Giáo án tích hợp Lịch sử Địa lí 4 KNTT
- (Word) Giáo án tích hợp AI Tin học 4
-
Dạy thêm
- (Word) Giáo án dạy thêm Toán 4 KNTT
- (Word) Giáo án dạy thêm Toán 4 KNTT Học kì 1
- (Word) Giáo án dạy thêm Toán 4 KNTT Học kì 2
- (Word) Giáo án dạy thêm Toán 4 CTST Học kì 1
- (Word) Giáo án dạy thêm Toán 4 Cánh Diều
- (Word) Giáo án dạy thêm Toán 4 Cánh Diều Học kì 1
- (Word) Giáo án dạy thêm Tiếng Việt 4 KNTT
- (Word) Giáo án dạy thêm Tiếng Việt lớp 4 KNTT Học kì 1
- (Word) Giáo án dạy thêm Tiếng Việt lớp 4 KNTT Học kì 2
- (Word) Giáo án dạy thêm Tiếng Việt 4 Cánh Diều
- (Word) Giáo án dạy thêm Tiếng Việt 4 Cánh Diều Học kì 1
- (Word) Giáo án dạy thêm Tiếng Việt lớp 4 CTST
- (Word) Giáo án dạy thêm Tiếng Việt lớp 4 CTST Học kì 1
- (Word) Giáo án dạy thêm Tiếng Việt lớp 4 CTST Học kì 2
- (PPT) Powerpoint dạy thêm Tiếng Việt 4 CTST
- (PPT) Powerpoint dạy thêm Tiếng Việt 4 CTST Học kì 1
- (PPT) Powerpoint dạy thêm Tiếng Việt 4 CTST Học kì 2
- Trọn bộ
- Giáo án an toàn giao thông lớp 4
- Giáo án kĩ năng sống lớp 4
Giáo án lớp 4 tải nhiều
-
Video AI khởi động Khoa học 4
-
Video AI khởi động Mĩ thuật 4 (Cả năm)
-
Video AI khởi động Mĩ thuật 4 Chủ đề 4: Vẻ đẹp trong cuộc sống
-
Video AI khởi động Mĩ thuật 4 Chủ đề 3: Cảnh đẹp quê hương
-
Video AI khởi động Mĩ thuật 4 Chủ đề 2: Một số dạng không gian trong tranh dân gian Việt Nam
-
Video AI khởi động Mĩ thuật 4 Chủ đề 1: Vẻ đẹp trong điêu khắc đình làng Việt Nam
-
Giáo án Hoạt động trải nghiệm lớp 4 sách Chân Trời Sáng Tạo (Trọn bộ cả năm)
-
PowerPoint Lịch sử - Địa lí 4 Bài 29: Ôn tập
-
PowerPoint Lịch sử - Địa lí 4 Bài 28: Địa đạo Củ Chi
-
PowerPoint Lịch sử - Địa lí 4 Bài 27: Thành phố Hồ Chí Minh
Tải nhanh tài liệu
Giáo án Toán lớp 4 sách Chân trời sáng tạo Học kì 2
Thông tin thanh toán nhanh
Giáo án Toán lớp 4 sách Chân trời sáng tạo Học kì 2
100.000đ
Vui lòng nhập số điện thoại hoặc email.
KH khi chuyển khoản
Bài viết hay Giáo án lớp 4
-
Giáo án Sinh hoạt dưới cờ lớp 4 chủ đề: Làm việc khoa học tuần 10
-
Giáo án Sinh hoạt dưới cờ lớp 4 chủ đề: Tự lực thực hiện nhiệm vụ lớp tuần 15
-
Giáo án PowerPoint Toán 4 Cánh Diều Học kì 2
-
PowerPoint Tiếng Việt 4 Cánh Diều Bài 19: Ôn tập cuối năm Tiết 4, 5
-
PowerPoint Khoa học 4 Bài 22: Ôn tập chủ đề Nấm
-
PowerPoint Tiếng Việt 4 Bài 4: Luyện tập về chủ ngữ




