Đề cương ôn tập giữa kì 2 Toán 6 Kết nối tri thức 2025
Mua tài khoản Hoatieu Pro để trải nghiệm website Hoatieu.vn KHÔNG quảng cáo & Tải nhanh File chỉ từ 99.000đ. Tìm hiểu thêm »
Hỗ trợ tư vấn nhanh
Tư vấn Tài liệu
Đề cương ôn tập giữa kì 2 Toán 6 Kết nối tri thức được HoaTieu.vn chia sẻ sau đây là tài liệu tổng hợp kiến thức trọng tâm cần nhớ và các dạng bài tập trắc nghiệm + tự luận Toán lớp 6 giữa HK2, kèm bộ Đề thi giữa kì 2 Toán 6 Kết nối tri thức có đáp án chi tiết giúp học sinh hệ thống lại kiến thức và ôn thi hiệu quả. Sau đây là nội dung chi tiết.
Đề cương ôn thi giữa học kì 2 Toán 6 Kết nối tri thức
I. KIẾN THỨC TRỌNG TÂM
1. PHÂN SỐ
1. Khái niệm phân số
\(\frac{a}{b}\)với a,b ∈ Z, b ≠ 0 là một phân số; a là tử số (tử), b là mẫu số (mẫu) của phân số.
Chú ý: Số nguyên a có thể viết là
\(\frac{a}{1}\).
2. Định nghĩa hai phân số bằng nhau
Hai phân số
\(\frac{a}{b}\) và
\(\frac{m}{n}\) gọi là bằng nhau nếu an = bm
3. Tính chất cơ bản của phân số
a) Nếu ta nhân cả tử và mẫu của một phân số với cùng một số nguyên khác 0 thì ta được một phân số bằng phân số đã cho.
\(\frac{a}{b}=\frac{a\times m}{b\times m}\), với m ∈ Z và m ≠ 0
b) Nếu ta chia cả tử và mẫu của một phân số cho cùng một ước chung của chúng thì ta được một phân số bằng phân số đã cho.
4. Rút gọn phân số
· Muốn rút gọn một phân số, ta chia cả tử số và mẫu số của phân số cho một uớc chung (khác 1 và -1) của chúng.
· Phân số tối giản (hay phân số không rút gọn được nữa) là phân số mà cả tử và mẫu chỉ có ước chung là 1 và .
· Khi rút gọn một phân số ta thường rút gọn phân số đó đến tối giản. Phân số tối giản thu được phải có mẫu số dương.
5. Quy đồng mẫu số nhiều phân số
Muốn quy đồng mẫu nhiều phân số với mẫu dương ta làm như sau:
Bước 1. Tìm một bội chung của các mẫu (thường là ) để làm mẫu chung;
Bước 2. Tìm thừa số phụ của mỗi mẫu (bằng cách chia mẫu chung cho từng mẫu);
Bước 3. Nhân tử và mẫu của mỗi phân số với thừa số phụ tương ứng.
6. So sánh phân số
a) So sánh hai phân số cùng mẫu: Trong hai phân số có cùng một mẫu dương, phân số nào có tử lớn hơn thì lớn hơn.
b) So sánh hai phân số không cùng mẫu: Muốn so sánh hai phân số không cùng mẫu, ta viết chúng dưới dạng hai phân số có cùng một mẫu dương rồi so sánh các tử với nhau: Phân số nào có tử lớn hơn thì lớn hơn.
c) Chú ý:
· Phân số có tử và mẫu là hai số nguyên cùng dấu thì lớn hơn 0.
· Phân số có tử và mẫu là hai số nguyên khác dấu thì nhỏ hơn 0.
· Trong hai phân số có cùng tử dương, với điều kiện mẫu số dương, phân số nào có mẫu lớn hơn thì phân số đó nhỏ hơn. - Trong hai phân số có cùng tử âm, với điều kiện mẫu số dương, phân số nào có mẫu lớn hơn thì phân số đó lớn hơn.
7. Hỗn số
Hỗn số là một số, gồm hai thành phần: phần nguyên và phần phân số.
Lưu ý: Phần phân số của hỗn số luôn luôn nhỏ hơn 1.
8. Phép cộng phân số
· Quy tắc hai phân số cùng mẫu:
\(\frac{a}{m}+\frac{b}{m}=\frac{a+b}{m}\)
· Hai phân số không cùng mẫu: ta quy đồng mẫu những phân số đó rồi cộng các tử giữ nguyên mẫu chung.
· Các tính chất: giao hoán, kết hợp, cộng với số 0 .
9. Phép trừ phân số
· Số đối của phân số
\(\frac{a}{b}\) kí hiệu là
\(-\frac{a}{b}\). Ta có:
\(\frac{a}{b}+\ \left(-\frac{a}{b}\right)=0\).
· Quy tắc:
\(\frac{a}{b}-\frac{c}{d}=\frac{a}{b}+\left(-\frac{c}{d}\right)\)

2. HÌNH HỌC PHẲNG
1. Điểm và đường thẳng.
a) Điểm thuộc đường thẳng.
|
Ta thường dùng chữ cái in hoa để đặt tên điểm và chữ cái thường để đặt tên đường thẳng; chẳng hạn như điểm M và đường thẳng d. Điểm M thuộc đường thẳng d. Ký hiệu: M ∈ d. Điểm N không thuộc đường thẳn d g. Ký hiệu N ∉ d. |
![]() ![]() |
b) Ba điểm thẳng hàng.
|
Ba điểm thẳng hàng là 3 điểm cùng thuộc một đường thẳng. |
|
Xem tiếp trong file tải về.
III. MỘT SỐ DẠNG BÀI TẬP
*DẠNG 1: BÀI THỰC HIỆN PHÉP TÍNH:

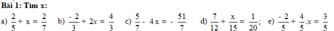
*DẠNG 2: TOÁN TÌM X

*DẠNG 3: BÀI TOÁN LỜI VĂN (HAI BÀI TOÁN VỀ PHÂN SỐ, TOÁN VỀ TỈ SỐ - TỈ SỐ PHẦN TRĂM)

Em hãy kiểm tra xem người bán hàng tính giá mới đúng không?
*DẠNG 4: BÀI TOÁN HÌNH (ĐIỂM, ĐƯỜNG THẲNG, ĐOẠN THẲNG, TIA..)

*DẠNG 5: MỘT SỐ BÀI TOÁN NÂNG CAO PHẦN SỐ HỌC

*DẠNG 6: MỘT SỐ BÀI TẬP TRẮC NGHIỆM

IV. Đề ôn tập giữa kì 2 Toán 6 Kết nối tri thức
V. Đề thi giữa kì 2 Toán 6 Kết nối tri thức
Mời các em học sinh truy cập group Bạn Đã Học Bài Chưa? để đặt câu hỏi và chia sẻ những kiến thức học tập chất lượng nhé. Group là cơ hội để các bạn học sinh trên mọi miền đất nước cùng giao lưu, trao đổi học tập, kết bạn, hướng dẫn nhau kinh nghiệm học,...
Mời các bạn tham khảo thêm các thông tin hữu ích khác trên chuyên mục Đề thi, đề kiểm tra - Đề thi lớp 6 góc Học tập của HoaTieu.vn.
-
Chia sẻ:
Ngọc Anh
- Ngày:
Đề cương ôn tập giữa kì 2 Toán 6 Kết nối tri thức 2025
296,1 KB 13/03/2025 2:07:00 CHNhiều người quan tâm
Tham khảo thêm
Theo Nghị định 147/2024/ND-CP, bạn cần xác thực tài khoản trước khi sử dụng tính năng này. Chúng tôi sẽ gửi mã xác thực qua SMS hoặc Zalo tới số điện thoại mà bạn nhập dưới đây:
Hướng dẫn & Hỗ trợ
Chọn một tùy chọn bên dưới để được giúp đỡ
- Toán
-
Ngữ văn
-
Giữa kì 1
- Bộ đề thi giữa học kì 1 môn Ngữ Văn 6 KNTT (CV 7991)
- Bộ đề thi giữa học kì 1 môn Ngữ văn 6 (3 bộ sách + CV 7991)
- Bộ đề thi giữa học kì 1 môn Ngữ văn 6 CD (CV 7991)
- Đề thi giữa học kì 1 môn Ngữ Văn 6 CTST (CV 7991)
- Đề thi giữa kì 1 Văn 6 CV7991 (Kết nối) - Số 2
- Đề thi giữa kì 1 Văn 6 CV7991 (Chân trời) - Số 2
- Đề thi giữa kì 1 Văn 6 CV7991 (Cánh Diều) - Số 2
- Đề thi giữa kì 1 Văn 6 CV7991 (Sách mới) - Số 2
- Đề cương giữa học kì 1 Ngữ văn 6 (3 sách + CV 7991)
- Đề cương giữa học kì 1 Ngữ văn 6 CTST (CV 7991)
- Đề cương giữa học kì 1 Ngữ văn 6 KNTT (CV 7991)
- Đề cương giữa học kì 1 Ngữ văn 6 CD (CV 7991)
- Học kì 1
- Giữa kì 2
- Học kì 2
-
Giữa kì 1
-
Khoa học tự nhiên
-
Giữa kì 1
- Bộ đề thi giữa học kì 1 môn Khoa học tự nhiên 6 (3 bộ sách + CV 7991)
- Đề thi giữa học kì 1 môn Khoa học tự nhiên 6 KNTT (CV 7991)
- Đề thi giữa học kì 1 môn Khoa học tự nhiên 6 CTST (CV 7991)
- Đề thi giữa học kì 1 môn Khoa học tự nhiên 6 CD (CV 7991)
- Đề thi môn KHTN 6 Cánh diều Theo CV 7991
- Đề thi môn KHTN 6 Chân trời Theo CV 7991
- Bộ đề môn KHTN 6 Kết nối Theo CV 7991
- Bộ đề môn KHTN 6 Cánh diều Theo CV 7991
- Bộ đề môn KHTN 6 Theo CV 7991 (Có đáp án + Ma trận)
- Đề cương giữa học kì 1 Khoa học tự nhiên 6 (3 sách + CV 7991)
- Đề cương giữa học kì 1 Khoa học tự nhiên 6 KNTT (CV 7991)
- Đề cương giữa học kì 1 Khoa học tự nhiên 6 CTST (CV 7991)
- Đề cương giữa học kì 1 Khoa học tự nhiên 6 CD (CV 7991)
- Giữa kì 2
-
Học kì 2
- Đề thi học kì 2 Khoa học tự nhiên 6
- Đề thi học kì 2 KHTN 6 KNTT
- Đề thi học kì 2 KHTN 6 CTST
- Đề thi học kì 2 KHTN 6 Cánh Diều
- Đề thi học kì 2 lớp 6 môn KHTN sách Kết nối tri thức (Theo CV 7991)
- Đề thi học kì 2 lớp 6 môn KHTN sách Chân trời sáng tạo (Theo CV 7991)
- Đề thi học kì 2 lớp 6 môn KHTN sách Cánh diều (Theo CV 7991)
- Đề cương ôn tập học kì 2 Khoa học tự nhiên 6 (Cấu trúc mới)
- Đề cương ôn tập học kì 2 KHTN 6 KNTT
- Đề cương ôn tập học kì 2 KHTN 6 Cánh diều
- Đề cương ôn tập học kì 2 KHTN 6 CTST
-
Giữa kì 1
-
Sử - Địa
-
Giữa kì 1
- Bộ đề thi giữa học kì 1 môn Lịch sử - Địa lí 6 (3 Sách mới +(CV 7991)
- Đề thi giữa học kì 1 môn Lịch sử - Địa lí 6 KNTT (CV 7991)
- Đề thi giữa học kì 1 môn Lịch sử - Địa lí 6 CTST (CV 7991)
- Bộ đề thi giữa học kì 1 môn Lịch sử 6 (Sách mới + CV 7991)
- Đề thi giữa học kì 1 môn Lịch sử 6 KNTT (CV 7991)
- Đề thi giữa học kì 1 môn Lịch sử 6 CTST (CV 7991)
- Bộ đề thi giữa học kì 1 môn Địa lí 6 (Sách mới + CV 7991)
- Đề thi giữa học kì 1 môn Địa lí 6 KNTT (CV 7991)
- Đề thi giữa học kì 1 môn Địa lí 6 CD (CV 7991)
- Đề thi giữa học kì 1 môn Địa lí 6 CTST (CV 7991)
- Đề cương giữa học kì 1 Lịch sử - Địa lí 6 (Sách mới + CV 7991)
- Đề cương giữa học kì 1 Lịch sử - Địa lí 6 KNTT (CV 7991)
- Đề cương giữa học kì 1 Lịch sử - Địa lí 6 CTST (CV 7991)
- Đề cương giữa học kì 1 Lịch sử - Địa lí 6 CD (CV 7991)
- Giữa kì 2
-
Học kì 2
- Đề thi học kì 2 Lịch sử Địa lí 6 KNTT
- Đề thi học kì 2 Lịch sử Địa lí 6 CTST
- Đề thi học kì 2 Lịch sử Địa lí 6 Cánh Diều
- Đề cương ôn tập học kì 2 Lịch sử Địa lí 6
- Đề cương ôn tập học kì 2 Lịch sử Địa lí 6 KNTT
- Đề cương ôn tập học kì 2 Lịch sử Địa lí 6 CTST
- Đề cương ôn tập học kì 2 Lịch sử Địa lí 6 Cánh Diều
- Đề thi học kì 2 Lịch sử 6
- Đề thi học kì 2 Địa lí 6
- Đề thi học kì 2 Lịch sử Địa lí 6
-
Giữa kì 1
- Tin học
-
Công nghệ
-
Giữa kì 1
- Bộ đề thi giữa học kì 1 môn Công nghệ 6 (Sách mới + CV 7991)
- Đề thi giữa học kì 1 môn Công nghệ 6 KNTT (CV 7991)
- Đề thi giữa học kì 1 môn Công nghệ 6 CTST (CV 7991)
- Đề thi giữa học kì 1 môn Công nghệ 6 Cánh Diều (CV 7991)
- Đề cương giữa học kì 1 Công nghệ 6 (Sách mới + CV 7991)
- Đề cương giữa học kì 1 Công nghệ 6 KNTT (CV 7991)
- Đề cương giữa học kì 1 Công nghệ 6 CTST (CV 7991)
- Đề cương giữa học kì 1 Công nghệ 6 CD (CV 7991)
- Học kì 2
-
Giữa kì 1
-
GDCD
-
Giữa kì 1
- Bộ đề thi giữa học kì 1 môn GDCD 6 (Sách mới + CV 7991)
- Đề thi giữa học kì 1 môn GDCD 6 Cánh diều (CV 7991)
- Đề thi giữa học kì 1 môn Giáo dục công dân 6 CTST (CV 7991)
- Đề thi giữa học kì 1 môn Giáo dục công dân 6 KNTT (CV 7991)
- Đề cương ôn tập giữa học kì 1 Giáo dục công dân 6 (Sách mới + CV 7991)
- Đề cương ôn tập giữa học kì 1 Giáo dục công dân 6 CTST (CV 7991)
- Đề cương ôn tập giữa học kì 1 Giáo dục công dân 6 KNTT(CV 7991)
- Giữa kì 2
- Học kì 2
-
Giữa kì 1
- HĐTN
-
Tiếng Anh
-
Giữa kì 1
- Bộ đề thi giữa học kì 1 môn Tiếng Anh 6 (4 bộ sách)
- Bộ đề thi giữa học kì 1 môn Tiếng Anh 6 KNTT
- Bộ đề thi giữa học kì 1 môn Tiếng Anh 6 Cánh diều
- Bộ đề thi giữa học kì 1 môn Tiếng Anh 6 sách CTST
- Bộ đề thi giữa học kì 1 môn Tiếng Anh 6 sách i-Learn Smart World
- Đề cương ôn tập giữa học kì 1 Tiếng Anh 6 (4 sách)
- Đề cương ôn tập giữa học kì 1 Tiếng Anh 6 Explore English
- Đề cương ôn tập giữa học kì 1 Tiếng Anh 6 Friends Plus
- Đề cương ôn tập giữa học kì 1 Tiếng Anh 6 Global Success
- Đề cương ôn tập giữa học kì 1 Tiếng Anh 6 i-Learn Smart World
- Bộ đề thi giữa kì 1 tiếng Anh 6 i-Learn Smart World Form 2025
- Bộ đề thi giữa kì 1 tiếng Anh 6 Global Success Form 2025
- Học kì 1
-
Học kì 2
- Đề thi học kì 2 Tiếng Anh 6
- Đề thi học kì 2 Tiếng Anh 6 Global Success
- Đề thi học kì 2 Tiếng Anh 6 I-Learn Smart World
- Đề thi học kì 2 Tiếng Anh 6 English Discovery
- Đề thi học kì 2 Tiếng Anh 6 Explore English
- Đề thi học kì 2 Tiếng Anh 6 Right on
- Đề thi học kì 2 Tiếng Anh 6 Friends plus
- Đề cương ôn tập học kì 2 Tiếng Anh 6
- Đề cương ôn tập học kì 2 Tiếng Anh 6 Global Success
- Đề cương ôn tập học kì 2 Tiếng Anh 6 iLearn Smart World
- Đề cương ôn tập học kì 2 Tiếng Anh 6 Explore English
- Đề cương ôn tập học kì 2 Tiếng Anh 6 Right on
-
Giữa kì 1
- Âm nhạc
- Mĩ thuật
- Giáo dục thể chất
- Giáo dục địa phương
- Đề tổng hợp
- Bộ đề ôn tập
- Ma trận đề thi
- Đề thi HSG
Đề thi lớp 6 tải nhiều
-
Bộ đề thi học kì 1 môn Giáo dục công dân 6 năm 2025 - 2026 (3 bộ sách)
-
Bộ đề thi học kì 1 môn Giáo dục công dân 6 sách Kết nối tri thức với cuộc sống năm 2025 - 2026
-
Bộ đề thi học kì 1 môn Tin học 6 sách Kết nối tri thức với cuộc sống năm 2025 - 2026
-
Bộ đề thi học kì 1 tiếng Anh 6 i-Learn Smart World Form 2025
-
Bộ đề thi học kì 1 tiếng Anh 6 Global Success Form 2025
-
Bộ đề thi IOE lớp 6
-
Đề cương ôn tập giữa học kì 1 Giáo dục công dân 6 năm 2025 - 2026 (3 sách)
-
Đề cương ôn tập giữa học kì 1 Giáo dục công dân 6 Cánh diều
-
Ma trận đề thi học kì 1 môn Toán 6 (CV 7991)
-
Bộ đề thi học kì 1 môn Toán 6 năm 2025 - 2026 (3 bộ sách)
Bài viết hay Đề thi lớp 6
-
Đề cương ôn tập học kì 2 môn Ngữ Văn lớp 6 sách mới 2025
-
Đề cương ôn tập học kì 2 Hoạt động trải nghiệm hướng nghiệp 6 Chân trời sáng tạo 2025
-
Bộ đề thi giữa học kì 1 môn Giáo dục thể chất 6 năm 2025 - 2026
-
Đề cương ôn tập giữa học kì 2 Giáo dục địa phương lớp 6 năm 2025
-
Đề cương ôn tập giữa học kì 1 Giáo dục công dân 6 Cánh diều
-
Bộ đề thi giữa học kì 1 môn Công nghệ 6 sách Kết nối tri thức với cuộc sống năm 2025 - 2026

