Đề thi học kì 2 Toán 6 Cánh Diều năm 2025
Mua tài khoản Hoatieu Pro để trải nghiệm website Hoatieu.vn KHÔNG quảng cáo & Tải nhanh File chỉ từ 99.000đ. Tìm hiểu thêm »
6 Đề thi học kì 2 Toán lớp 6 sách Cánh Diều năm học 2023-2024 được HoaTieu.vn chia sẻ dưới đây tổng hợp 10 bộ đề thi Toán lớp 6 học kì 2 có đáp án chi tiết, kèm ma trận để học sinh lấy làm tài liệu ôn luyện, chuẩn bị thật tốt cho bài kiểm tra khảo sát cuối năm. Đề thi cuối kì 2 Toán 6 Cánh diều có đáp án được thiết kế theo chuẩn cấu trúc chương trình GDPT2018 và phù hợp với năng lực của học sinh trung học cơ sở. Mời các em tham khảo và tải file Đề thi hk2 Toán 6 Cánh Diều để xem đầy đủ nội dung.
Lưu ý: TOP 6 Đề thi học kì 2 môn Toán 6 CD rất dài, nên HoaTieu.vn không thể trình bày hết tại bài viết này. Vậy mời các bạn xem trọn bộ Đề thi cuối kì 2 Toán 6 Cánh diều có đáp án tại file tải về.
Đề thi Toán lớp 6 học kì 2 có đáp án
I. Đề thi học kì 2 Toán 6 Cánh Diều số 1
1. Ma trận đề thi học kì 2 Toán lớp 6 sách Cánh Diều
| Cấp độ Chủ đề | Mức 1: (Nhận biết) |
Mức 2: Thông hiểu |
Mức 3: Vận dụng |
Cộng | ||||||
| Cấp độ thấp | Cấp độ cao | |||||||||
| KQ | TL | KQ | TL | KQ | TL | KQ | TL | |||
|
1. Về phân số
|
- C1 + 16: Nhận biết nghịch đảo của một phân số,tích của hai phân số nghịch đảo |
- C2: Tìm được phân số tối giản của một phân số đã cho - C7+9+14+15: Tìm được kết quả của các phép toán cộng trừ nhân chia phân số. |
|
|
|
|||||
|
Số câu
Số điểm Tỉ lệ % |
2(1,16)
0,5 5% |
|
5(2,7,9,14,15) 1,25 12,5% |
|
|
|
|
|
7
1,75
17,5% |
|
|
Thành tố NL
|
C1+16:TD
|
|
C2+7+9+14+15:GQVĐ |
|
|
|
|
|
|
|
|
2. Số thập phân
|
- C4+ 6 Nhận biết cách đổi số thập phân, hỗn số ra phân số |
- C8: Tìm một số khi biết giá trị một phân số của nó - C19 +20+24a: Tìm được tích tổng hiệu của các số thập phân |
|
|
|
|||||
|
Số câu Số điểm Tỉ lệ % |
2(4,6)
0,5 5% |
|
3(8,19, 20) 0,75 7,5% |
|
|
|
|
|
5
1,25 12,5% |
|
|
Thành tố NL |
C4+6: GQVĐ |
|
C8+C19:GQVĐ C20:TD |
|
|
|
|
|
|
|
|
3. Những hình hình học cơ bản
|
- C3+5+10+11: Nhận biết được các loại góc trong hình học |
C23: Tính được số đo góc trong hình vẽ cho trước, biết được tia phân giác của góc. |
|
|
|
|||||
|
Số câu
Số điểm Tỉ lệ % |
4(C3,5, 10,11) 1 10% |
|
|
1(23)
1 10% |
|
|
|
|
5
2 20% |
|
|
Thành tố NL |
C3+5+10+11: TD |
|
|
C23: MHH, GQVĐ |
|
|
|
|
|
|
|
4. Dữ liệu và xác suất thực nghiệm |
- C12+13+17+18: Nhận biết được khái niệm, cách thu thập so sánh dữ liệu C18: Nhận biết phép toán số thập phân |
Hiểu được đối tượng thống kê , tiêu chí thống kê
|
- C21: Vận dụng Tính xác suất thực nghiệm của các sự kiện |
Vận dụng được số liệu điều tra để lập bảng thống kê, trả lời các thông tin trên bảng |
|
|||||
|
Số câu
Số điểm Tỉ lệ % |
4(12,13,17,18) 1 10% |
|
|
1/2(22a)
1 10% |
|
1(21)
2 20% |
|
1/2(22b)
1 10% |
6
5 50% |
|
|
Thành tố NL |
C12+17+18::TD C13:CC |
|
|
GQVD |
|
C21: TD,GQVD |
|
MHH,TD |
|
|
|
Tổng số câu Tổng số đ Tỉ lệ % |
12 3 30% |
|
8 2 20% |
1+1/2 2 20% |
2 2 20% |
1/2 1 10% |
23 10 100% |
|||
2. Đề thi học kì 2 Toán lớp 6 sách Cánh Diều
| Trường:............................ |
ĐỀ KIỂM TRA CUỐI KỲ II NĂM 2023 - 2024 |
* Trắc nghiệm khách quan (5 điểm)
Khoanh vào chữ cái in hoa đứng trước câu trả lời đúng
Câu 1: Nghịch đảo của
\(\frac{-6}{11}\) là:
A.
\(\frac{11}{-6}\)
B.
\(\frac{6}{11}\)
C.
\(\frac{-6}{-11}\)
D.
\(\frac{-11}{-6}\)
Câu 2: Rút gọn phân số
\(\frac{-27}{63}\)đến tối giản bằng
A.
\(\frac{9}{21}\)
B.
\(\frac{-9}{21}\)
C.
\(\frac{3}{7}\)
D.
\(\frac{-3}{7}\)
Câu 3: Góc bẹt bằng
A. 900
B. 1800
C. 750
D. 450
Câu 4: Viết số thập phân 0,25 về dạng phân số ta được:
A.
\(\frac{1}{4}\)
B.
\(\frac{5}{2}\)
C.
\(\frac{2}{5}\)
D.
\(\frac{1}{4}\)
Câu 5: Góc phụ với góc 320 bằng
A. 1480
B. 1580
C. 580
D. 480
Câu 6: Viết hỗn số
\(3\frac{1}{5}\) dưới dạng phân số
A.
\(\frac{3}{5}\)
B.
\(\frac{16}{5}\)
C.
\(\frac{8}{5}\)
D.
\(\frac{3}{3}\)
Câu 7: Kết quả của phép tính
\(\frac{9}{10}-\left(\frac{9}{10}-\frac{1}{10}\right)=\)
A.
\(\frac{-1}{10}\)
B.
\(\frac{1}{10}\)
C.
\(\frac{9}{10}\)
D.
\(\frac{-9}{10}\)
Câu 8: Tính: 25% của 12 bằng
A. 2
B. 3
C. 4
D. 6
Câu 9: Có bao nhiêu phút trong
\(\frac{7}{15}\)giờ?
A. 28 phút
B. 11 phút
C. 4 phút
D. 60 phút
Câu 10: Góc nào lớn nhất
A. Góc nhọn
B. Góc Vuông
C. Góc tù
D. Góc bẹt
Câu 11: Góc là hình gồm
A. Hai tia cắt nhau
B. Hai tia cùng thuộc một mặt phẳng
C. Hai tia ở giữa hai nửa mặt phẳng đối nhau.
D. Hai tia chung gốc
Câu 12: Mai nói rằng: “Dữ liệu là số được gọi là số liệu". Theo em Mai nói thế đúng hay sai?
A. Đúng
B. Sai
Câu 13: Linh đo nhiệt độ cơ thể (đơn vị 0C) của 5 bạn trong lớp thu được dãy số liệu sau
37 36,9 37,1 36,8 36,9
Linh đã dùng phương pháp nào để thu thập số liệu trên
A. Quan sát
B. Làm thí nghiệm
C. Lập bảng hỏi
D. Phỏng vấn
Câu 14: Kết quả của phép tính
\(\frac{-1}{5}.\frac{25}{8}=\)
A.
\(\frac{-5}{8}\)
B.
\(\frac{-1}{8}\)
C.
\(\frac{25}{8}\)
D.
\(\frac{-1}{25}\)
Câu 15: Kết quả của phép tính
\(\frac{-1}{13}:\frac{7}{-13}=\)
A.
\(\frac{-7}{169}\)
B.
\(\frac{1}{7}\)
C.
\(\frac{7}{169}\)
D.
\(\frac{-1}{7}\)
Câu 16: Hai phân số gọi là nghịch đảo của nhau nếu tích của chúng bằng
A. 0
B. 2
C. 1
D. -1
Câu 17: Trong biểu đồ cột, biểu đồ cột kép, khẳng định nào sau đây không đúng
A. Cột nào cao hơn biểu diễn số liệu lớn hơn
B. Cột nằm dưới trục ngang biểu diễn số liệu âm
C. Các cột cao như nhau biểu diễn các số liệu bằng nhau
D. Độ rộng các cột không như nhau
Câu 18: Trong các câu sau câu nào sai
A. Tổng của hai số thập phân dương là một số thập phân dương
B. Tích của hai số thập phân dương là một số thập phân dương
C. Hiệu của hai số thập phân dương là một số thập phân dương
D. Thương của hai số thập phân dương là một số thập phân dương
Câu 19: Tích 214,9 . 1,09 là
A. 234,241
B. 209,241
C. 231,124
D. -234,241
Câu 20: Làm tròn số a = 131,2956 đến chữ số thập phân thứ hai ta được số thập phân nào sau đây:
A. 131,29
B. 131,31
C. 131,30
D. 130
* Tự luận (6 điểm)
Câu 21 (2 điểm):
Minh gieo một con xúc sắc 100 lần và ghi lại số chấm xuất hiện ở mỗ lần gieo được kết quả như sau:
| Số chấm xuất hiện | 1 | 2 | 3 | 4 | 5 | 6 |
| Số lần | 15 | 20 | 18 | 22 | 10 | 15 |
Tính xác suất thực nghiệm của các sự kiện sau:
a. Số chấm xuất hiện là số chẵn
b. Số chấm xuất hiện lớn hơn 2
Câu 22 (2 điểm): Khi điều tra về số m3 nước dùng trong một tháng của mỗi hộ gia đình trong xóm người điều tra ghi lại bảng sau
| 16 | 18 | 17 | 16 | 17 | 16 | 16 | 18 | 16 | 17 |
| 16 | 13 | 40 | 17 | 16 | 17 | 17 | 20 | 16 | 16 |
a. Hãy nêu đối tượng thống kê và tiêu chí thống kê
b. Hãy lập bảng thông kê số m3 nước dùng trong một tháng của mỗi hộ gia đình. Có bao nhiêu gia đình tích kiệm nước sách (dưới 15m3/tháng)
Câu 23 (1 điểm): Trên cùng một nửa mặt phẳng bờ chứa tia Ox vẽ góc xOz = 500 và
xOy = 1000.
a) Tính góc yOz?
b) Tia Oz có là tia phân giác của góc xOy không? Vì sao?
3. Đáp án đề thi học kì 2 Toán lớp 6 sách Cánh Diều
* Trắc nghiệm khách quan (5 điểm)
| Câu | 1 | 2 | 3 | 4 | 5 | 6 | 7 | 8 | 9 | 10 |
| Đáp án | A | D | B | A | C | B | B | B | A | D |
| Câu | 11 | 12 | 13 | 14 | 15 | 16 | 17 | 18 | 19 | 20 |
| Đáp án | D | B | A | A | B | C | D | C | A | C |
* Tự luận (6 điểm)
| Câu | Nội dung | Điểm | |||||||||||||||
|
21 |
a) |
Số lần gieo mà số chấm xuất hiện là số chẵn là: 20 + 22 +15 = 57 Xác suất thực nghiệm của sự kiện số chất xuất hiện là số chẵn là: |
0,5
0,5 |
||||||||||||||
|
b)
|
Số lần gieo có số chấm xuất hiện lớn hơn 2 là: 100 – ( 15+ 20) = 65 Xác suất thực nghiệm của sự kiện số chất xuất hiện lớn hơn 2 là:
|
0,5
0,5 |
|||||||||||||||
|
22 |
a. Đối tượng thống kê: số m3 nước dùng trong một tháng của mỗi hộ gia đình trong xóm Tiêu chí thống kê: Số hộ gia đình dùng cùng số m3 nước b. Bảng thống kê
- Có 1 hộ gia đình tiết kiệm nước sạch (Dưới 15m3/tháng). |
0,5
0,5
0,75
0,25 |
|||||||||||||||
|
23 |
a) |
Tia Ot nằm giữa hai tia Ox và Oy (vì ∠xOz < ∠xOy ) ∠zOy = ∠xOy - ∠xOz = 1000 - 500 = 500 |
0,25
0,5 |
||||||||||||||
|
b) |
Tia Oz là tia phân giác của góc xOy Vì tia Oz nằm giữa hai tia Ox và Oy và ∠zOy = ∠xOz |
0,25 |
|||||||||||||||
II. Đề thi cuối kì 2 Toán 6 Cánh Diều số 2
1. Ma trận đề thi Toán 6 Cuối kì 2
|
Chủ đề |
Cấp độ |
||||||||
|
Nhận biết |
Thông hiểu |
Vận dụng |
Vận dụng cao |
Tổng |
|||||
|
TN |
TL |
TN |
TL |
TN |
TL |
TN |
TL |
|
|
|
Phân số - Số thập phân |
2 câu |
2 câu |
1 câu |
4 câu |
1 câu |
1 câu |
|
1 câu |
|
|
0,5 điểm |
1 điểm |
0,25 điểm |
2 điểm |
0,25 điểm |
1,5 điểm |
|
0,5 điểm |
6 điểm |
|
|
Dữ liệu và xác suất thực nghiệm |
1 câu |
|
1 câu |
|
2 câu |
1 câu |
|
|
|
|
0,25 điểm |
|
0,25 điểm |
|
0,5 điểm |
1 điểm |
|
|
2 điểm |
|
|
Hình học phẳng cơ bản |
1 câu |
|
2 câu |
|
1 câu |
1 câu |
|
|
|
|
0,25 điểm |
|
0,5 điểm |
|
0,25 điểm |
1 điểm |
|
|
2 điểm |
|
|
Tổng |
|
|
|
|
|
|
|
|
10 điểm |
2. Đề thi học kì 2 Toán lớp 6 sách Cánh Diều
PHẦN I. TRẮC NGHIỆM
Câu 1. Số nghịch đảo của –0,4 là:
A. 0,4;
B. –0,4;
C. 1 /0,4 ;
D. − 1/0,4 .
Câu 2. Tỉ số phần trăm của 18 dm2 và 0,25 m2 là:
A. 28%;
B. 36%;
C. 45%;
D. 72%.
Câu 3. Chia đều một sợi dây dài 30 cm thành tám đoạn bằng nhau, tính độ dài mỗi đoạn dây (làm tròn đến chữ số hàng thập phân thứ nhất).
A. 3;
B. 3,7;
C. 3,8;
D. 4.
Câu 4. Giá niêm yết của một hộp sữa là 840 000 đồng. Trong chương trình khuyến mãi, mặt hàng này được giảm giá 15%. Như vậy khi mua một hộp sữa khuyến mãi thì người mua cần phải trả số tiền là:
A. 126 000 đồng;
B. 714 000 đồng;
C. 725 000 đồng;
D. 518 000 đồng.
Câu 5. Cho biểu đồ cột kép biểu diễn số học sinh nam và số học sinh nữ của lớp 6A có sở thích chơi một số môn thể thao (bóng đá, cầu lông, cờ vua, đá cầu).

Môn thể thao nào có nhiều học sinh nữ thích chơi nhất?
A. Bóng đá;
B. Cầu lông;
C. Cờ vua;
D. Đá cầu.
Câu 6. Một xạ thủ bắn 20 mũi tên vào mục tiêu thì được 18 lần trúng. Xác suất xạ thủ không bắn trúng mục tiêu là:
A. 1/10 ;
B. 1/19 ;
C. 9 /10 ;
D. 9 /19 .
Câu 7. Cho tam giác BDN, trên cạnh BN lấy điểm M khác hai điểm B và N. Các góc nhận tia DB làm cạnh là:
A. Góc BMD và BDN ;
B. Góc BDM và BDN ;
C. Góc DBM và BDN ;
D. Góc BDM và DBN .
Câu 8. Đường thẳng a chứa những điểm nào?

A. M và N;
B. M và S;
C. N và S;
D. M, N và S.
PHẦN II. TỰ LUẬN
Bài 1. Thực hiện phép tính (tính hợp lí nếu có thể):
a) 5(1/3) − 2(1/3) ;
b) (–4,44 + 60 – 5,56) : (1,2 – 0,8);
c) 1(13/15).0,75 − ( 8/15 + 25 % )
Bài 2. Tìm x biết :
a) 2/3 . x + 1/2 = 1/10 ;
b) ( 9/2 − 2x ) .1(4/61) = 6(1/2)
c) x – 83%.x = –1,7.
Bài 3. Ban tổ chức dự định bán vé trận bóng đã có sự tham gia của đội tuyển Việt Nam tại sân vận động Mỹ Đình trong ba ngày. Ngày thứ nhất bán được 3 5 tổng số vé, ngày thứ hai bán được 25% tổng số vé. Số vé còn lại được bán trong ngày thứ ba.
a) Tính tổng số vé đã bán, biết 20% tổng số vé đã bán là 8000 vé.
b) Số vé được bán trong ngày thứ nhất là bao nhiêu?
c) Hỏi số vé đã bán trong ngày thứ ba bằng bao nhiêu phần trăm so với tổng số vé đã bán.
Bài 4. Tổng hợp kết quả xét nghiệm Covid – 19 ở một phòng khám trong một tháng ta được bảng sau:
| Tuần | Số ca xét nghiệm | Số ca dương tính |
| 1 | 210 | 115 |
| 2 | 205 | 128 |
| 3 | 232 | 130 |
| 4 | 189 | 176 |
a) Tuần nào có số kết quả xét nghiệm dương tính nhiều nhất? Cả tháng có bao nhiêu kết quả xét nghiệm là dương tính, âm tính?
b) Hãy tính và so sánh xác suất của thực nghiệm của các sự kiện một ca xét nghiệm có kết quả dương tính của tuần nhiều ca dương tính nhất và cả tháng (làm tròn kết quả đến hàng phần trăm).
Bài 5. Vẽ tia Ax.
a) Vẽ góc xAy có số đo bằng 70°, góc xAy là góc gì?
b) Trên tia Ax lấy điểm B và C sao cho B nằm giữa A và C, AB = 3 cm, AC = 5 cm. Gọi M là trung điểm của AB. Tính độ dài đoạn thẳng BC và MC.
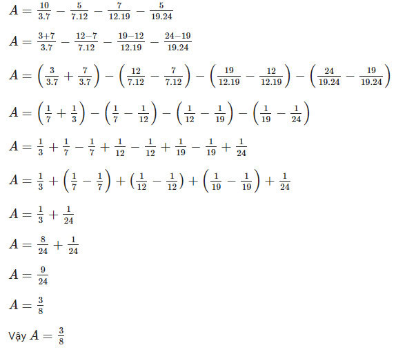
Bài 6. Tính nhanh: A = 10/(3.7)− 5/(7.12) − 7/(12.19) − 5/(19.24)
3. Đáp án đề thi học kì 2 Toán lớp 6 sách Cánh Diều
I. TRẮC NGHIỆM
| Câu | 1 | 2 | 3 | 4 | 5 | 6 | 7 | 8 |
| Đáp án | D | D | C | B | D | A | B | B |
II. TỰ LUẬN
Bài 1
a) 3
b) (–4,44 + 60 – 5,56) : (1,2 – 0,8)
= [60 + (– 4,44 – 5,56)] : 0,4
= [60 + (–10)] : 0,4
= 50 : 0,4
= 125.
c) 37/60
Bài 2.
a) 2 /3 . x + 1 /2 = 1 /10
2 /3 . x = 1 /10 − 1 /2
2 /3 . x = 1 /10 − 5 /10
2 /3 . x = − 4 /10
2 /3 . x = − 2 /5
x = − 2 /5 : 2 /3
x = − 3 /5
Vậy x = − 3 5
b) ( 9 /2 − x ) . 65 /61 = 13 /2
9 /2 − 2x = 13 /2 : 65 /61
9 /2 − 2x = 13 /2 . 61 /65
9 /2 − 2x = 61 /10
2x = 9 /2 − 61 /10
2x = − 16 /10
2x = − 8 /5
x = − 4 /5
Vậy x = − 4 /5 .
c) x – 83%.x = –1,7
x − 83 /100 . x = − 17 /10
x . 17 /100 = − 17 /10
x = − 17 /10 : 17 /100
x = − 17 /10 . 100 /17
x = 10.
Vậy x = 10.
Bài 3
a) Tổng số vé được bán là: 8 000 : 20% = 40 000 (vé)
b) Số vé được bán trong ngày thứ nhất là: 3 5 .40 000 = 24 000 (vé)
c) Số vé được bán trong ngày thứ hai là: 40 000 . 25% = 10 000 (vé)
Số vé được bán trong ngày thứ ba là: 40 000 – 24 000 – 10 000 = 6 000 (vé)
Số vé đã bán trong ngày thứ ba chiếm số phần trăm so với tổng số vé đã bán là: 6 000 40 000 .100 % = 15 %
Bài 4
a) Tuần 4 có kết quả xét nghiệm dương tính nhiều nhất (176 ca).
Số ca xét nghiệm có kết quả dương tính trong tháng đó là:
115 + 128 + 130 + 176 = 549 (ca).
Tổng số người đến phòng khám xét nghiệm trong tháng đó là:
210 + 205 + 232 + 189 = 836 (ca)
Số ca xét nghiệm có kết quả âm tính trong tháng đó là:
836 – 549 = 287 (ca)
b) Số ca xét nghiệm dương tính trong tuần 4 là 176 ca.
Xác suất của thực nghiệm theo số ca dương tính trong tuần 4 là:
176 189 = 0 , 931216931... ≈ 0,93 (làm tròn kết quả đến hàng phần trăm).
Xác suất của thực nghiệm theo số ca dương tính trong cả tháng là:
549 836 = 0 , 656698564... ≈ 0,66 (làm tròn kết quả đến hàng phần trăm).
Do đó 0,66 < 0,93.
Vậy xác suất xét nghiệm có kết quả dương tính ở tuần 4 lớn hơn so với cả tháng.
Bài 5
a) Góc xAy có số đo bằng 70° < 90° nên là góc nhọn.
b) Điểm B nằm giữa điểm A và C nên AB + BC = AC Hay 3 + BC = 5 Suy ra BC = 5 – 3 = 2 cm.
Vì M là trung điểm của AB nên M nằm giữa A và B do đó AM + MB = AB.
Mà M là trung điểm của AB nên AM = MB
Do đó AM + AM = AB Suy ra 2AM = AB
A M = A B 2
A M = 3 2 = 1 , 5 cm
Vì M nằm giữa A và B ; B nằm giữa A và C nên M nằm giữa A và C.
Do đó AM + MC = AC
Suy ra MC = AC – AM
MC = 5 – 1,5 = 3,5 cm.
Bài 6. Tính nhanh

III. Top 5 Đề thi học kì 2 Toán lớp 6 năm học 2023-2024 kèm đáp án tải nhiều nhất
Tham khảo chi tiết tại bài viết:
Mời các em học sinh truy cập group Bạn Đã Học Bài Chưa? để đặt câu hỏi và chia sẻ những kiến thức học tập chất lượng nhé. Group là cơ hội để các bạn học sinh trên mọi miền đất nước cùng giao lưu, trao đổi học tập, kết bạn, hướng dẫn nhau kinh nghiệm học,...
Mời các bạn tham khảo thêm các thông tin hữu ích khác trên chuyên mục Đề thi lớp 6 góc Học tập của HoaTieu.vn.
-
Chia sẻ:
Cô bé bướng bỉnh
- Ngày:
Đề thi học kì 2 Toán 6 Cánh Diều năm 2025
18/04/2022 3:34:00 CHNhiều người quan tâm
Tham khảo thêm
Theo Nghị định 147/2024/ND-CP, bạn cần xác thực tài khoản trước khi sử dụng tính năng này. Chúng tôi sẽ gửi mã xác thực qua SMS hoặc Zalo tới số điện thoại mà bạn nhập dưới đây:
Hướng dẫn & Hỗ trợ
Chọn một tùy chọn bên dưới để được giúp đỡ
- Toán
-
Ngữ văn
-
Giữa kì 1
- Bộ đề thi giữa học kì 1 môn Ngữ Văn 6 KNTT (CV 7991)
- Bộ đề thi giữa học kì 1 môn Ngữ văn 6 (3 bộ sách + CV 7991)
- Bộ đề thi giữa học kì 1 môn Ngữ văn 6 CD (CV 7991)
- Đề thi giữa học kì 1 môn Ngữ Văn 6 CTST (CV 7991)
- Đề thi giữa kì 1 Văn 6 CV7991 (Kết nối) - Số 2
- Đề thi giữa kì 1 Văn 6 CV7991 (Chân trời) - Số 2
- Đề thi giữa kì 1 Văn 6 CV7991 (Cánh Diều) - Số 2
- Đề thi giữa kì 1 Văn 6 CV7991 (Sách mới) - Số 2
- Đề cương giữa học kì 1 Ngữ văn 6 (3 sách + CV 7991)
- Đề cương giữa học kì 1 Ngữ văn 6 CTST (CV 7991)
- Đề cương giữa học kì 1 Ngữ văn 6 KNTT (CV 7991)
- Đề cương giữa học kì 1 Ngữ văn 6 CD (CV 7991)
- Học kì 1
- Giữa kì 2
- Học kì 2
-
Giữa kì 1
-
Khoa học tự nhiên
-
Giữa kì 1
- Bộ đề thi giữa học kì 1 môn Khoa học tự nhiên 6 (3 bộ sách + CV 7991)
- Đề thi giữa học kì 1 môn Khoa học tự nhiên 6 KNTT (CV 7991)
- Đề thi giữa học kì 1 môn Khoa học tự nhiên 6 CTST (CV 7991)
- Đề thi giữa học kì 1 môn Khoa học tự nhiên 6 CD (CV 7991)
- Đề thi môn KHTN 6 Cánh diều Theo CV 7991
- Đề thi môn KHTN 6 Chân trời Theo CV 7991
- Bộ đề môn KHTN 6 Kết nối Theo CV 7991
- Bộ đề môn KHTN 6 Cánh diều Theo CV 7991
- Bộ đề môn KHTN 6 Theo CV 7991 (Có đáp án + Ma trận)
- Đề cương giữa học kì 1 Khoa học tự nhiên 6 (3 sách + CV 7991)
- Đề cương giữa học kì 1 Khoa học tự nhiên 6 KNTT (CV 7991)
- Đề cương giữa học kì 1 Khoa học tự nhiên 6 CTST (CV 7991)
- Đề cương giữa học kì 1 Khoa học tự nhiên 6 CD (CV 7991)
- Học kì 1
- Giữa kì 2
-
Học kì 2
- Đề thi học kì 2 Khoa học tự nhiên 6
- Đề thi học kì 2 KHTN 6 KNTT
- Đề thi học kì 2 KHTN 6 CTST
- Đề thi học kì 2 KHTN 6 Cánh Diều
- Đề thi học kì 2 lớp 6 môn KHTN sách Kết nối tri thức (Theo CV 7991)
- Đề thi học kì 2 lớp 6 môn KHTN sách Chân trời sáng tạo (Theo CV 7991)
- Đề thi học kì 2 lớp 6 môn KHTN sách Cánh diều (Theo CV 7991)
- Đề cương ôn tập học kì 2 Khoa học tự nhiên 6 (Cấu trúc mới)
- Đề cương ôn tập học kì 2 KHTN 6 KNTT
- Đề cương ôn tập học kì 2 KHTN 6 Cánh diều
- Đề cương ôn tập học kì 2 KHTN 6 CTST
-
Giữa kì 1
-
Sử - Địa
-
Giữa kì 1
- Bộ đề thi giữa học kì 1 môn Lịch sử - Địa lí 6 (3 Sách mới +(CV 7991)
- Đề thi giữa học kì 1 môn Lịch sử - Địa lí 6 KNTT (CV 7991)
- Đề thi giữa học kì 1 môn Lịch sử - Địa lí 6 CTST (CV 7991)
- Bộ đề thi giữa học kì 1 môn Lịch sử 6 (Sách mới + CV 7991)
- Đề thi giữa học kì 1 môn Lịch sử 6 KNTT (CV 7991)
- Đề thi giữa học kì 1 môn Lịch sử 6 CTST (CV 7991)
- Bộ đề thi giữa học kì 1 môn Địa lí 6 (Sách mới + CV 7991)
- Đề thi giữa học kì 1 môn Địa lí 6 KNTT (CV 7991)
- Đề thi giữa học kì 1 môn Địa lí 6 CD (CV 7991)
- Đề thi giữa học kì 1 môn Địa lí 6 CTST (CV 7991)
- Đề cương giữa học kì 1 Lịch sử - Địa lí 6 (Sách mới + CV 7991)
- Đề cương giữa học kì 1 Lịch sử - Địa lí 6 KNTT (CV 7991)
- Đề cương giữa học kì 1 Lịch sử - Địa lí 6 CTST (CV 7991)
- Đề cương giữa học kì 1 Lịch sử - Địa lí 6 CD (CV 7991)
- Giữa kì 2
-
Học kì 2
- Đề thi học kì 2 Lịch sử Địa lí 6 KNTT
- Đề thi học kì 2 Lịch sử Địa lí 6 CTST
- Đề thi học kì 2 Lịch sử Địa lí 6 Cánh Diều
- Đề cương ôn tập học kì 2 Lịch sử Địa lí 6
- Đề cương ôn tập học kì 2 Lịch sử Địa lí 6 KNTT
- Đề cương ôn tập học kì 2 Lịch sử Địa lí 6 CTST
- Đề cương ôn tập học kì 2 Lịch sử Địa lí 6 Cánh Diều
- Đề thi học kì 2 Lịch sử 6
- Đề thi học kì 2 Địa lí 6
- Đề thi học kì 2 Lịch sử Địa lí 6
-
Giữa kì 1
- Tin học
-
Công nghệ
-
Giữa kì 1
- Bộ đề thi giữa học kì 1 môn Công nghệ 6 (Sách mới + CV 7991)
- Đề thi giữa học kì 1 môn Công nghệ 6 KNTT (CV 7991)
- Đề thi giữa học kì 1 môn Công nghệ 6 CTST (CV 7991)
- Đề thi giữa học kì 1 môn Công nghệ 6 Cánh Diều (CV 7991)
- Đề cương giữa học kì 1 Công nghệ 6 (Sách mới + CV 7991)
- Đề cương giữa học kì 1 Công nghệ 6 KNTT (CV 7991)
- Đề cương giữa học kì 1 Công nghệ 6 CTST (CV 7991)
- Đề cương giữa học kì 1 Công nghệ 6 CD (CV 7991)
- Học kì 2
-
Giữa kì 1
-
GDCD
-
Giữa kì 1
- Bộ đề thi giữa học kì 1 môn GDCD 6 (Sách mới + CV 7991)
- Đề thi giữa học kì 1 môn GDCD 6 Cánh diều (CV 7991)
- Đề thi giữa học kì 1 môn Giáo dục công dân 6 CTST (CV 7991)
- Đề thi giữa học kì 1 môn Giáo dục công dân 6 KNTT (CV 7991)
- Đề cương ôn tập giữa học kì 1 Giáo dục công dân 6 (Sách mới + CV 7991)
- Đề cương ôn tập giữa học kì 1 Giáo dục công dân 6 CTST (CV 7991)
- Đề cương ôn tập giữa học kì 1 Giáo dục công dân 6 KNTT(CV 7991)
- Giữa kì 2
- Học kì 2
-
Giữa kì 1
- HĐTN
-
Tiếng Anh
-
Giữa kì 1
- Bộ đề thi giữa học kì 1 môn Tiếng Anh 6 (4 bộ sách)
- Bộ đề thi giữa học kì 1 môn Tiếng Anh 6 KNTT
- Bộ đề thi giữa học kì 1 môn Tiếng Anh 6 Cánh diều
- Bộ đề thi giữa học kì 1 môn Tiếng Anh 6 sách CTST
- Bộ đề thi giữa học kì 1 môn Tiếng Anh 6 sách i-Learn Smart World
- Đề cương ôn tập giữa học kì 1 Tiếng Anh 6 (4 sách)
- Đề cương ôn tập giữa học kì 1 Tiếng Anh 6 Explore English
- Đề cương ôn tập giữa học kì 1 Tiếng Anh 6 Friends Plus
- Đề cương ôn tập giữa học kì 1 Tiếng Anh 6 Global Success
- Đề cương ôn tập giữa học kì 1 Tiếng Anh 6 i-Learn Smart World
- Bộ đề thi giữa kì 1 tiếng Anh 6 i-Learn Smart World Form 2025
- Bộ đề thi giữa kì 1 tiếng Anh 6 Global Success Form 2025
- Học kì 1
-
Học kì 2
- Đề thi học kì 2 Tiếng Anh 6
- Đề thi học kì 2 Tiếng Anh 6 Global Success
- Đề thi học kì 2 Tiếng Anh 6 I-Learn Smart World
- Đề thi học kì 2 Tiếng Anh 6 English Discovery
- Đề thi học kì 2 Tiếng Anh 6 Explore English
- Đề thi học kì 2 Tiếng Anh 6 Right on
- Đề thi học kì 2 Tiếng Anh 6 Friends plus
- Đề cương ôn tập học kì 2 Tiếng Anh 6
- Đề cương ôn tập học kì 2 Tiếng Anh 6 Global Success
- Đề cương ôn tập học kì 2 Tiếng Anh 6 iLearn Smart World
- Đề cương ôn tập học kì 2 Tiếng Anh 6 Explore English
- Đề cương ôn tập học kì 2 Tiếng Anh 6 Right on
-
Giữa kì 1
- Âm nhạc
- Mĩ thuật
- Giáo dục thể chất
- Giáo dục địa phương
- Đề tổng hợp
- Bộ đề ôn tập
- Ma trận đề thi
- Đề thi HSG
Đề thi lớp 6 tải nhiều
-
Đề cương ôn tập học kì 1 Lịch sử 6 Chân trời sáng tạo
-
Đề cương ôn tập học kì 1 Địa lí 6 Chân trời sáng tạo
-
Bộ đề thi học kì 1 môn Công nghệ 6 sách Kết nối tri thức năm 2025 - 2026
-
Bộ đề thi học kì 1 môn Công nghệ 6 năm 2025 - 2026 (Sách mới)
-
Bộ đề thi học kì 1 môn Ngữ văn 6 năm 2025 - 2026 (Sách mới)
-
Đề thi học kì 1 môn Ngữ văn 6 sách Cánh diều năm 2025 - 2026
-
Đề thi học kì 1 môn Ngữ văn 6 sách Chân trời sáng tạo năm 2025 - 2026
-
Bộ đề thi học kì 1 môn Ngữ văn 6 sách Kết nối tri thức năm 2025 - 2026
-
Bộ đề thi học kì 1 môn Lịch sử - Địa lí 6 năm 2025 - 2026 (Sách mới)
-
Bộ đề thi học kì 1 môn Lịch sử - Địa lí 6 sách Kết nối tri thức với cuộc sống năm 2025 - 2026
Bài viết hay Đề thi lớp 6
-
Đề cương ôn tập giữa học kì 1 Lịch sử - Địa lí 6 Kết nối tri thức với cuộc sống
-
Bộ đề thi giữa học kì 1 môn Giáo dục công dân 6 năm 2025 - 2026 (Sách mới)
-
Bộ đề thi giữa kì 1 Văn 6 Theo CV 7991 (Cánh Diều)
-
Đề thi học kì 2 Khoa học tự nhiên 6 Cánh Diều năm 2025
-
Đề cương ôn tập học kì 1 Giáo dục địa phương 6 năm 2025 - 2026
-
Bộ đề thi học kì 1 tiếng Anh 6 i-Learn Smart World Form 2025
