Hiệu chuẩn máy đo nồng độ cồn là gì?
Mua tài khoản Hoatieu Pro để trải nghiệm website Hoatieu.vn KHÔNG quảng cáo & Tải nhanh File chỉ từ 99.000đ. Tìm hiểu thêm »
Hiệu chuẩn máy đo nồng độ cồn là gì? Đây là câu hỏi được rất nhiều bạn đọc quan tâm khi mà mức phạt vi phạm nồng độ cồn tại Nghị định 100/2019/NĐ-CP và Nghị định 123/2021/NĐ-CP đã tăng rất mạnh so với các quy định cũ. Vậy máy đo nồng độ cồn hoạt động theo nguyên lý nào và cách đọc các thông số máy đo nồng độ cồn được hiểu ra sao thì mời các bạn hãy cùng tham khảo bài viết sau đây của HoaTieu.vn nhé.
Tìm hiểu về hiệu chuẩn máy đo nồng độ cồn
1. Hiệu chuẩn là gì?
Theo luật Đo lường số 04/2011/QH13 ngày 11 tháng 11 năm 2011, Hiệu chuẩn là hoạt động xác định, thiết lập mối quan hệ giữa giá trị đo của chuẩn đo lường, phương tiện đo với giá trị đo của đại lượng cần đo. Trong đó chuẩn đo lường, phương tiện đo và phép đo được định nghĩa như sau:
• Chuẩn đo lường là phương tiện kỹ thuật để thể hiện, duy trì đơn vị đo của đại lượng đo và được dùng làm chuẩn để so sánh với phương tiện đo hoặc chuẩn đo lường khác.
• Phương tiện đo là phương tiện kỹ thuật để thực hiện phép đo.
• Phép đo là tập hợp những thao tác để xác định giá trị đo của đại lượng cần đo
(Theo Luật Đo lường số 04/2011/QH13 ngày 11 tháng 11 năm 2011)
Theo quy định của Nhà nước thì việc hiệu chuẩn thiết bị đo là không mang tính bắt buộc, và phụ thuộc theo yêu cầu của lãnh đạo hoặc theo tiêu chuẩn chất lượng ISO.
Do không mang tính pháp lý nên bạn có thể lựa chọn hiệu chuẩn hoặc không hiệu chuẩn thiết bị, nhưng để đảm bảo chất lượng cho quy trình sản xuất, sản phẩm và an toàn cho người lao động và người tiêu dùng thì bạn nên thực hiện hiệu chuẩn thiết bị đo của mình.
2. Nguyên lý hoạt động của máy đo nồng độ cồn
Thành phần chính của các loại nước uống có cồn là rượu etylic. Đặc tính của rượu etylic là dễ bị oxi hóa. Có rất nhiều chất oxi hóa có thể tác dụng với rượu nhưng người chọn một chất oxi hóa là crom(VI)oxit CrO3. Đây là một chất oxi hóa rất mạnh, là chất ở dạng kết tinh thành tinh thể màu vàng da cam. Bột oxit CrO3 khi gặp rượu etylic sẽ bị khử thành oxit Cr2O3 là một hợp chất có màu xanh đen.
Các cảnh sát giao thông sử dụng các dụng cụ phân tích rượu etylic có chứa CrO3. Khi tài xế hà hơi thở vào dụng cụ phân tích trên, nếu trong hơi thở có chứa hơi rượu thì hơi rượu sẽ tác dụng với CrO3 và biến thành Cr2O3 có màu xanh đen. Dựa vào sự biến đổi màu sắc mà dụng cụ phân tích sẽ thông báo cho cảnh sát biết được mức độ uống rượu của tài xế.
3. Tầm quan trọng của việc hiệu chuẩn máy đo nồng độ cồn
Tất các các loại máy đo nồng độ cồn đều cần phải được hiệu chuẩn thường xuyên. Hiệu chuẩn là cách duy nhất để đảm bảo thiết bị đo khí của bạn đang hoạt động trong những thông số tiêu chuẩn đã công bố. Các thành phần bên trong để máy đo nồng độ cồn đo được BAC (nồng độ cồn trong máu) một cách chính xác. Khi hiệu chuẩn, ở tất cả các cấp độ vấn đề mà thiết bị gặp phải đều có thể phát hiện được.
4. Hiệu chuẩn máy độ nồng độ cồn
1. Phạm vi áp dụng Hiệu chuẩn máy đo nồng độ cồn
Văn bản kỹ thuật này quy định quy trình hiệu chuẩn ban đầu, hiệu chuẩn định kỳ và hiệu chuẩn sau sửa chữa phương tiện đo hàm lượng cồn trong hơi thở có phạm vi đo (0,000 - 3,000) mg/L, giá trị độ chia 0,001 mg/L và phương tiện đo hàm lượng cồn trong hơi thở có phạm vi đo (0,000 - 0,600) %BAC, giá trị độ chia 0,001 %BAC.
2. Giải thích từ ngữ Hiệu chuẩn máy đo nồng độ cồn
Các từ ngữ trong văn bản này được hiểu như sau:
2.1 Phương tiện đo hàm lượng cồn trong hơi thở là phương tiện đo dùng để xác định hàm lượng cồn trong khí thở.
2.2 Đơn vị đo hàm lượng cồn
- mg/L: Hàm lượng C2H5OH tính theo mg có trong 1 lít khí thở.
- %BAC: hàm lượng C2H5OH tính theo mg có trong 100 ml máu.
2.3 Khí chuẩn là khí có thành phần C2H5OH ổn định với hàm lượng xác định và được cơ quan có thẩm quyền chứng nhận.
2.4 Khí “không” là khí có hàm lượng C2H5OH nhỏ hơn giới hạn mà phương tiện đo có thể phát hiện được.
2.5 Hệ thống chuẩn khí ướt là hệ thống thiết bị sử dụng để cung cấp hỗn hợp khí tương tự như hơi thở của con người, hỗn hợp khí có độ ẩm tương đối ít nhất là 90 %RH và nhiệt độ (34 ± 1) °C
3. Các phép Hiệu chuẩn máy đo nồng độ cồn
Phải lần lượt tiến hành các phép kiểm tra ghi trong bảng 1.
|
TT |
|
Theo điều mục của quy trình |
Chế độ hiệu chuẩn |
||
|
Tên phép hiệu chuẩn |
|
Ban đầu |
Định kỳ |
Sau sửa chữa |
|
|
1 |
Kiểm tra bên ngoài |
Mục 7.1 |
+ |
+ |
+ |
|
2 |
Kiểm tra kỹ thuật |
Mục 7.2 |
+ |
+ |
+ |
|
3 |
Kiểm tra đo lường 4 Kiểm tra điểm “0” 5 Kiểm tra sai số 6 Kiểm tra độ lặp lại |
Mục 7.3 Mục 7.3.1 Mục 7.3.2 Mục 7.3.3 |
+ |
+ |
+ |
4. Phương tiện Hiệu chuẩn máy đo nồng độ cồn
Phương tiện Hiệu chuẩn máy đo nồng độ cồn được ghi trong bảng 2.
Bảng 2
|
TT |
Tên phương tiện dùng để hiệu chuẩn |
Đặc trưng kỹ thuật đo lường cơ bản |
Áp dụng cho điều mục của quy trình |
|||
|
(1) |
(2) |
(3) |
i4) |
|||
|
1 |
Chuân đo lường |
|||||
|
1.1 |
Khí “không” |
- Khí nitơ theo tiêu chuẩn TCVN 3286 : 1979 hoặc không khí sạch chứa thành phần C2H5OH nhỏ hơn giới hạn mà phương tiện đo có thể phát hiện được. |
Mục 7.3.1; |
|||
|
1.2 |
Khí chuẩn (í) |
- Có hàm lượng và độ chính xác trong bảng 3 |
Mục 7.3.2; 7.3.3 |
|||
|
1.3 |
Dung dịch trắng (blank) |
- Nước cất 2 lần hoặc nước siêu sạch theo tiêu chuẩn TCVN 4851 : 1989 hoặc ISO 3696 : 1987. |
Mục 7.3.1; |
|||
|
1.4 |
Dung dịch chuẩn c2h5oh ^ |
- Có hàm lượng và độ chính xác trong bảng 4 |
Mục 7.3.2; 7.3.3 |
|||
|
1.5 |
Hệ thống chuẩn khí ướt |
- Độ ổn định ± 0,1 °C tại 34,0 °C |
Mục 7.3; |
|||
|
2 |
Phương tiện khác |
|||||
|
2.1 |
Bộ điều chỉnh lưu lượng khí |
- Lưu lượng: (0 + 20,0) L/ph. - Giá trị độ chia: 0,5 L/ph |
Mục 7.3; |
|||
|
2.2 |
Thiết bị đo nhiệt độ |
- Phạm vi đo: (0 ^ 50) °C - Độ chính xác: ± 0,05 °C |
|
|||
|
2.3 |
Phương tiện đo nhiệt độ và độ ẩm môi trường |
- Nhiệt độ: (0 ^ 50) oC; Giá trị độ chia: 1 oC. - Độ ẩm không khí: (25 ^ 95) %RH; Giá trị độ chia: 1 %RH. |
Mục 5 |
|||
|
Thành phần khí chuẩn |
Giá trị hàm lượng |
Sai số tương đối |
||||
|
%BAC |
mg/L |
|||||
|
C2H5OH và N2 |
0,010 - 0,060 |
0,050 - 0,300 |
± 2 % |
|||
|
0,060 - 0,080 |
0,300 - 0,400 |
± 2 % |
||||
|
0,080 - 0,600 |
0,400 - 3,000 |
± 2 % |
||||
(**) Bảng 4
|
Thành phần dung dịch chuẩn |
Giá trị hàm lượng C2H5OH tại 20 °C (g/L) |
Sai số tương đối |
|
C2H5OH và nước |
0,1287 - 0,7719 |
± 2 % |
|
0,7719 - 1,0292 |
± 2 % |
|
|
1,0292 - 5,000 |
± 2 % |

5. Điều kiện Hiệu chuẩn máy đo nồng độ cồn
Khi tiến hành Hiệu chuẩn máy đo nồng độ cồn, phải đảm bảo các điều kiện môi trường sau:
- Nhiệt độ: (25 ± 3) oC;
- Độ ẩm không khí: đến 90 %RH;
- Áp suất khí quyển: (860 + 1060) hPa;
- Có hệ thống thoát khí;
- Không có các loại hơi, các loại khí có khả năng ăn mòn cũng như các chất dễ gây cháy, nổ.
Chuẩn bị Hiệu chuẩn máy đo nồng độ cồn
Trước khi tiến hành Hiệu chuẩn máy đo nồng độ cồn phải thực hiện các công việc chuẩn bị sau đây: - Đối với trường hợp tiến hành theo phương pháp khí khô:
+ Chọn khí “không” và khí chuấn theo mục 4;
+ Đặt bình khí “không” và khí chuấn trong phòng hiệu chuẩn ít nhất 6 h đối với bình có dung tích nhỏ hơn 40 L và ít nhất 16 h đối với bình có dung tích từ 40 L trở lên.
Đối với trường hợp tiến hành theo phương pháp khí ướt:
+ Chọn dung dịch trắng “blank” và dung dịch chuấn C2H5OH theo mục 4;
+ Đổ dung dịch trắng “blank” và dung dịch chuấn C2H5OH vào hệ thống chuấn khí ướt
+ Làm ấm dung dịch chuấn dùng đế hiệu chuẩn và đợi đến khi nhiệt độ dung dịch chuấn ổn định tại (34 ± 0,1) °C, sau đó tiến hành hiệu chuẩn.
8 Trước khi tiến hành hiệu chuẩn, phương tiện đo hàm lượng cồn trong hơi thở phải được đặt trong phòng hiệu chuẩn ít nhất 4 h.
7. Tiến hành Hiệu chuẩn máy đo nồng độ cồn
7.1 Kiêm tra bên ngoài
Phải kiếm tra bên ngoài theo các yêu cầu sau:
Kiếm tra bằng mắt đế xác định sự phù hợp của phương tiện đo hàm lượng cồn trong hơi thở với các yêu cầu quy định trong tài liệu kỹ thuật về hình dáng, kích thước, hiến thị, nguồn điện sử dụng, nhãn hiệu và phụ kiện kèm theo.
7.2 Kiêm tra kỹ thuật
Kiếm tra trạng thái hoạt động bình thường của phương tiện đo hàm lượng cồn trong hơi thở theo tài liệu kỹ thuật.
7.3 Kiêm tra đo lường
Phương tiện đo hàm lượng cồn trong hơi thở được kiếm tra đo lường theo trình tự nội dung và yêu cầu sau đây:
7.3.1 Kiếm tra điếm “0”
- Dùng phương tiện cần kiếm định đo 3 lần liên tiếp khí “không” với trường hợp tiến hành theo phương pháp khí khô hoặc dung dịch trắng với trường hợp tiến hành theo phương pháp khí ướt. Ghi kết quả vào biên bản kiếm định ở phụ lục.
- Sai số tuyệt đối cho phép: ± 0,005 mg/L hoặc ± 0,002 %BAC
7.3.2 Kiếm tra sai số
Sai số của phương tiện đo phải được xác định riêng rẽ với ít nhất 2 giá trị hàm lượng khí chuấn như trong bảng 3 (đối với trường hợp sử dụng khí khô) hoặc
giá trị hàm lượng dung dịch chuẩn như trong bảng 4 (đối với trường hợp sử dụng khí ướt).
- Dùng phương tiện cần kiểm định đo 3 lần liên tiếp. Ghi kết quả đo được vào biên bản ở phụ lục.
- Sai số được tính theo công thức sau:

- Sai số ỗ không được lớn hơn sai số cho phép trong bảng 5
Bảng 5
|
Phạm vi đo |
Kiểm định ban đầu |
Kiểm định định kỳ |
|
< 0,400 mg/L hoặc 0,080 %BAC |
0,020 mg/L hoặc 0,004 %BAC |
0,032 mg/L hoặc 0,006 %BAC |
|
(0,400 - 1,000) mg/L hoặc (0,080 - 0,200) %BAC |
5 % giá trị đo |
8 % giá trị đo |
|
(1,000 - 2,000) mg/L hoặc (0,200 - 0,400) %BAC |
10 % giá trị đo |
15 % giá trị đo |
|
> 2,000 mg/L hoặc 0,400 %BAC |
20 % giá trị đo |
30 giá trị đo |
7.3.3 Kiểm tra độ lặp lại.
- Chọn một giá trị hàm lượng khí chuẩn nêu trong bảng 3 (đối với trường hợp sử
dụng khí khô) hoặc một giá trị dung dịch chuẩn như trong bảng 4 (đối với trường hợp sử dụng khí ướt) để tiến hành kiểm tra độ ổn định theo thời gian.
- Dùng phương tiện cần kiểm định đo 5 lần liên tiếp hàm lượng khí chuẩn đã chọn. Ghi kết quả vào biên bản kiểm định ở phụ lục.
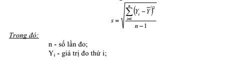
- Độ lệch chuẩn s được tính theo công thức sau:

Y - giá trị đo trung bình.
Độ lệch chuẩn không được lớn hơn 1/3 sai số lớn nhất cho phép.
8. Xử lý chung
a. Phương tiện đo hàm lượng cồn trong hơi thở sau khi hiệu chuẩn nếu đạt các yêu cầu quy định theo quy trình hiệu chuẩn này được được cấp chứng chỉ hiệu chuẩn (tem hiệu chuẩn, dấu hiệu chuẩn, giấy chứng nhận hiệu chuẩn ...) theo quy định.
b. Nếu phương tiện đo hàm lượng cồn trong hơi thở sau khi hiệu chuẩn nếu không đạt một trong các yêu cầu quy định của quy trình hiệu chuẩn này thì không cấp chứng chỉ hiệu chuẩn mới và xóa dấu hiệu chuẩn cũ (nếu có).
c. Chu kỳ hiệu chuẩn phương tiện đo hàm lượng cồn trong hơi thở là: 01 năm
Hiện nay các mức phạt lỗi vi phạm giao thông đã được điều chỉnh tăng nặng so với luật cũ đặc biệt là mức phạt uống rượu bia lái xe hay lỗi lùi xe trên đường cao tốc. Mời các bạn tham khảo thêm một số thông tin sau đây để nắm được mức phạt giao thông trong năm 2023:
Ngoài ra nếu muốn mua máy đô nồng độ cồn mới nhất và chuẩn các bạn có thể tham khảo theo đương link bên dưới:
- Mức phạt nồng độ cồn 2026
- Xe máy điện, đạp điện: các lỗi vi phạm giao thông thường gặp và mức xử phạt 2026
Mời bạn đọc tham khảo các bài viết hữu ích khác tại mục Hỏi đáp pháp luật nhé.
-
Chia sẻ:
Trần Thu Trang
- Ngày:
Tham khảo thêm
-
Mức phạt nồng độ cồn chính thức theo quy định mới từ 1/1/2025
-
Vượt đèn đỏ bị phạt bao nhiêu từ 1/1/2025?
-
Tổng hợp nồng độ cồn các loại bia năm 2026
-
Lỗi đi ngược chiều bị phạt bao nhiêu 2026
-
Thủ tục cấp phép bay flycam, drone mới nhất năm 2026
-
Uống rượu bia sau bao lâu thì được lái xe 2026?
-
Nghị định 05/2020/NĐ-CP bãi bỏ một số văn bản quy phạm pháp luật
-
Nồng độ cồn của các loại rượu, bia 2026
Theo Nghị định 147/2024/ND-CP, bạn cần xác thực tài khoản trước khi sử dụng tính năng này. Chúng tôi sẽ gửi mã xác thực qua SMS hoặc Zalo tới số điện thoại mà bạn nhập dưới đây:
Đáng chú ý tải nhiều
Pháp luật tải nhiều
-
Quyết định 754/QĐ-BGDĐT công bố thủ tục hành chính mới, sửa đổi, bổ sung lĩnh vực văn bằng, chứng chỉ thuộc phạm vi quản lý củ BGDĐT
-
Thông tư 18/2026/TT-BGDĐT khung năng lực số đối với giáo viên
-
Thông tư 17/2026/TT-BGDĐT tiêu chuẩn người đứng đầu và cấp phó của người đứng đầu cơ sở giáo dục đại học, cơ sở giáo dục nghề nghiệp
-
Nghị định 91/2026/NĐ-CP hướng dẫn Luật Giáo dục đại học 2025
-
Văn bản hợp nhất Luật Nhà giáo số 87/VBHN-VPQH
-
Công văn 2551/SGDĐT-GDMN TP.HCM 2026 thí điểm tích hợp tiếng Anh cho trẻ mẫu giáo
-
Thông báo 494/TB-BGDĐT 2026 của Bộ Giáo dục và Đào tạo về tuyển sinh đi học tại Ba Lan
-
Quyết định 1837/QĐ-UBND TP.HCM 2026 công bố Danh mục thủ tục hành chính mới lĩnh vực Thi tuyển sinh
-
Quyết định 755/QĐ-BGDĐT 2026 về quy chế công tác văn thư, lưu trữ của Bộ Giáo dục và Đào tạo
-
Công văn 1245/SGDĐT-CTTTHSSV tăng cường quản lý an toàn thực phẩm bữa ăn bán trú tại Hà Nội
Bài viết hay Hỏi đáp pháp luật
-
Thủ tục Cấp giấy chứng nhận đăng ký hoạt động giáo dục nghề nghiệp
-
Chế độ tiền thưởng cán bộ, công chức, viên chức và lực lượng vũ trang theo Nghị định 73 2024
-
Hướng dẫn kê khai thuế nhà thầu qua mạng
-
Phí rút hồ sơ gốc xe máy khác tỉnh 2026
-
Phẫu thuật thẩm mỹ có phải làm lại thẻ căn cước công dân?
-
QCXDVN 01:2008/BXD: Quy chuẩn xây dựng Việt Nam