PowerPoint Toán 8 Bài 7: Nhân, chia phân thức
Mua tài khoản Hoatieu Pro để trải nghiệm website Hoatieu.vn KHÔNG quảng cáo & Tải nhanh File chỉ từ 99.000đ. Tìm hiểu thêm »
HoaTieu.vn xin chia sẻ đến bạn đọc giáo án PowerPoint Toán 8 Bài 7: Nhân, chia phân thức sách Chân trời sáng tạo mà chúng tôi sưu tầm được tại bài viết này. Sau đây là nội dung chi tiết kế hoạch bài dạy Toán 8 Bài 7: Nhân, chia phân thức theo chương trình sách giáo khoa CTST 8. Mời các thầy cô tham khảo, tải về giáo án điện tử Toán 8 CTST để tiện cho việc chỉnh sửa và soạn giáo án khi năm học mới đến.
Kế hoạch bài dạy Toán 8 Chân trời sáng tạo Bài 7: Nhân, chia phân thức
Bài giảng PowerPoint Toán 8 Chân trời sáng tạo Bài 7: Nhân, chia phân thức




Giáo án Bài 7: Nhân, chia phân thức Toán 8 Chân trời sáng tạo
BÀI 7. NHÂN, CHIA PHÂN THỨC
(Thời gian thực hiện: 3 tiết)
- Tiết 1: NHÂN HAI PHÂN THỨC
- Tiết 2: CHIA HAI PHÂN THỨC
- Tiết 3: LUYỆN TẬP
I. MỤC TIÊU:
1. Kiến thức: Sau khi học xong bài này, học sinh:
- Thực hiện được phép nhân, chia hai phân thức đại số.
- Vận dụng các tính chất giao hoán, kết hợp, phân phối của phép nhân đối với phép cộng trong tính toán với phân thức đại số.
2. Năng lực
- NL chung: Giao tiếp và hợp tác: Trình bày được kết quả thảo luận của nhóm, biết chia sẻ giúp đỡ bạn thực hiện nhiệm vụ học tập, biết tranh luận và bảo vệ ý kiến của mình.
- NL toán học: tư duy và lập luận toán học, giao tiếp toán học, giải quyết vấn đề toán học.
3. Phẩm chất:
- Chăm chỉ: Hoàn thành nhiệm vụ học tập mà giáo viên đưa ra. Có ý thức tìm tòi, khám phá và vận dụng sáng tạo kiến thức để giải quyết vấn đề thực tiễn.
- Trung thực: Báo cáo chính xác kết quả hoạt động của nhóm.
- Trách nhiệm: Có trách nhiệm khi thực hiện nhiệm vụ được giao.
II. THIẾT BỊ DẠY HỌC VÀ HỌC LIỆU
1. Giáo viên: Chuẩn bị phiếu học tập số 1 cho phần thực hành 1 và phiếu học tập số 2 cho phần thực hành 2 và phiếu học tập số 3 cho phần vận dụng.
2. Học sinh: Chuẩn bị đầy đủ đồ dùng học tập.
III. TIẾN TRÌNH DẠY HỌC
Tiết 1: NHÂN HAI PHÂN THỨC.
A. KHỞI ĐỘNG (5 phút)
- Mục tiêu: Từ bài toán thực tế, HS nhận biết sự xuất hiện tự nhiên của phép nhân phân thức.
- Nội dung: HS theo dõi tình huống đặt vấn đề GV đưa ra.
+ GV giảng, trình bày.
+ HS tiếp thu, quan sát SGK, thảo luận, trả lời.
- Sản phẩm HS: Kết quả của HS.
- Tổ chức thực hiện:
- Bước 1: Chuyển giao nhiệm vụ:
GV đưa ra tình huống trong phần khởi động và đưa ra yêu cầu HS làm việc nhóm trình bày lời giải và giải bài toán.
- Bước 2: Thực hiện nhiệm vụ: HS thảo luận nhóm trong thời gian 3 phút và đưa ra câu trả lời.
- Bước 3: Báo cáo, thảo luận: GV gọi một số nhóm HS đưa ra ý kiến.
- Bước 4: Kết luận, nhận định:
GV đánh giá kết quả của HS, trên cơ sở đó dẫn dắt HS vào bài học mới, sự xuất hiện tự nhiên của phép nhân và phép chia phân thức. Từ đó, tạo hứng thú và tâm thế cho HS bước vào bài học.
B. HÌNH THÀNH KIẾN THỨC
Hoạt động 1: Nhân hai phân thức (20 phút)
- Mục tiêu: Thực hiện được phép nhân hai phân thức đại số.
- Nội dung:
+ GV giảng, trình bày.
+ HS tiếp thu, quan sát SGK, thảo luận, trả lời.
Sản phẩm HS: Kết quả của HS.
- Tổ chức thực hiện:
|
NỘI DUNG |
SẢN PHẨM |
|
Bước 1: Chuyển giao nhiệm vụ: - GV cho HS quan sát câu hỏi và thực hiện HĐKP 1 - GV yêu cầu HS ghi vào nháp câu trả lời của mình và gọi học sinh đứng tại chỗ trả lời. - Sau đó GV chia sẻ đến học sinh phần kiến thức trọng tâm thứ 1 SGK trang 36 về quy tắc nhân hai phân thức. - Từ phần kiến thức trọng tâm thứ 1, GV yêu cầu HS hoàn thành thực hành 1. Bước 2: Thực hiện nhiệm vụ: - HS tiếp nhận nhiệm vụ, hoạt động nhóm 3 phút - GV quan sát và trợ giúp nếu HS cần Bước 3: Báo cáo, thảo luận: - Đại diện nhóm trình bày câu trả lời của mình. - Một số HS khác nhận xét, bổ sung cho bạn. Bước 4: Kết luận, nhận định - GV chính xác hóa và giải thích
|
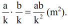
1. Nhân hai phân thức Diện tích của mỗi tấm bạc bé là:
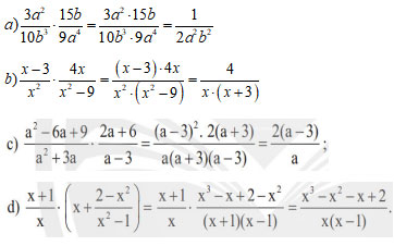
* Muốn nhân hai phân thức, ta nhân các tử thức với nhau, các mẫu thức với nhau.
|
Mời các bạn sử dụng file tải về để xem đầy đủ nội dung chi tiết.
Mời thầy cô và các bạn tham khảo thêm các bài viết khác trong chuyên mục Giáo án bài giảng của Hoatieu.vn.
-
Chia sẻ:
Lanh Lảnh Lót
- Ngày:
PowerPoint Toán 8 Bài 7: Nhân, chia phân thức
2,5 MB 10/02/2025 9:04:00 SA-
Tải giáo án Toán 8 Bài 7: Nhân, chia phân thức
Nhiều người quan tâm
Tham khảo thêm
Theo Nghị định 147/2024/ND-CP, bạn cần xác thực tài khoản trước khi sử dụng tính năng này. Chúng tôi sẽ gửi mã xác thực qua SMS hoặc Zalo tới số điện thoại mà bạn nhập dưới đây:
- Phần SỐ VÀ ĐẠI SỐ
- Phần HÌNH HỌC VÀ ĐO LƯỜNG
- Phần SỐ VÀ ĐẠI SỐ
- Phần HÌNH HỌC VÀ ĐO LƯỜNG
- Phần MỘT SỐ YẾU TỐ THỐNG KÊ VÀ XÁC SUẤT
Giáo án lớp 8 tải nhiều
-
Giáo án Khoa học tự nhiên 8 Kết nối tri thức cả năm
-
PowerPoint Lịch sử và Địa lí 8 Chủ đề chung 1: Văn minh châu thổ sông Hồng và sông Cửu Long
-
PowerPoint Lịch sử và Địa lí 8 Chủ đề chung 2: Bảo vệ chủ quyền, các quyền và lợi ích hợp pháp của Việt Nam ở Biển Đông
-
PowerPoint Lịch sử 8 Bài 15: Ấn độ và Đông Nam Á từ nửa sau thế kỉ XIX đến đầu thế kỉ XX
-
PowerPoint Lịch sử 8 Bài 16: Việt Nam dưới thời Nguyễn
-
PowerPoint Lịch sử 8 Bài 17: Cuộc kháng chiến chống thực dân Pháp xâm lược từ năm 1858 đến năm 1884
-
PowerPoint Lịch sử 8 Bài 18: Phong trào chống Pháp trong những năm 1885 - 1896
-
PowerPoint Lịch sử 8 Bài 19: Phong trào yêu nước chống Pháp ở Việt Nam từ đầu thế kỉ XX đến năm 1917
-
PowerPoint Lịch sử 8 Bài 11: Phong trào công nhân từ cuối thế kỉ XVIII đến đầu thế kỉ XX và sự ra đời của chủ nghĩa xã hội khoa học
-
PowerPoint Lịch sử 8 Bài 14: Trung Quốc và Nhật Bản từ nửa sau thế kỉ XIX đến đầu thế kỉ XX
Bài viết hay Giáo án lớp 8
-
Giáo án Sinh học 8 Kết nối tri thức trọn bộ cả năm
-
PowerPoint Ngữ Văn 8 Bài 10: Thực hành tiếng Việt: Câu hỏi, câu khiến, câu cảm, câu kể
-
PowerPoint Toán 8 Bài 7: Nhân, chia phân thức
-
Giáo án PowerPoint dạy thêm Ngữ văn 8 Cánh Diều
-
Giáo án Toán 8 Chân trời sáng tạo - Kì 2
-
PowerPoint Tin học 8 Bài 13: Biểu diễn dữ liệu


