Thông tư 12/2023/TT-BTC sửa đổi Thông tư 107/2020/TT-BTC
Mua tài khoản Hoatieu Pro để trải nghiệm website Hoatieu.vn KHÔNG quảng cáo & Tải nhanh File chỉ từ 99.000đ. Tìm hiểu thêm »
Thông tư 12/2023/TT-BTC
Ngày 10/2 năm 2023 Bộ tài chính đã ban hành Thông tư 12/2023/TT-BTC của Bộ Tài chính về việc sửa đổi, bổ sung một số điều của Thông tư 107/2020/TT-BTC ngày 21/12/2020 của Bộ trưởng Bộ Tài chính hướng dẫn giao dịch mua lại có kỳ hạn trái phiếu Chính phủ từ nguồn ngân quỹ Nhà nước tạm thời nhàn rỗi của Kho bạc Nhà nước.
Theo đó, bổ sung hình thức giao kết Hợp đồng khung và phụ lục hợp đồng của các giao dịch mua lại có kỳ hạn trái phiếu Chính phủ (TPCP) giữa Kho bạc Nhà nước (KBNN) và ngân hàng thương mại (NHTM).
Thông tư 12/2023/TT-BTC
|
BỘ TÀI CHÍNH ________ Số: 12 /2023/TT-BTC
|
CỘNG HÒA XÃ HỘI CHỦ NGHĨA VIỆT NAM Độc lập - Tự do - Hạnh phúc ____________________ H à Nội, ngày 1 0 tháng 02 năm 2023 |
THÔNG TƯ
Sửa đổi, bổ sung một số điều của Thông tư số 107/2020/TT-BTC ngày 21 tháng 12 năm 2020 của Bộ trưởng Bộ Tài chính hướng dẫn giao dịch mua lại có kỳ hạn trái phiếu Chính phủ từ nguồn ngần quỹ nhà nước tạm thời nhàn rỗi của Kho bạc Nhà nước
____________
Căn cứ Luật Ngân sách Nhà nước ngày 25 tháng 6 năm 2015;
Căn cứ Luật Chứng khoán ngày 26 tháng 11 năm 2019;
Căn cứ Nghị định số 24/2016/NĐ-CP ngày 05 tháng 4 năm 2016 của Chính phủ quy định chế độ quản lý ngân quỹ nhà nước;
Căn cứ Nghị định số 95/2018/NĐ-CP ngày 30 tháng 6 năm 2018 của Chính phủ quy định về phát hành, đăng ký, lưu ký, niêm yết và giao dịch công cụ nợ của Chính phủ trên thị trường chứng khoán;
Căn cứ Nghị định số 87/2017/NĐ-CP ngày 26 tháng 7 năm 2017 của Chính phủ quy định chức năng, nhiệm vụ, quyền hạn và cơ cấu tổ chức của Bộ Tài chính;
Theo đề nghị của Tổng Giám đốc Kho bạc Nhà nước;
Bộ trưởng Bộ Tài chính ban hành Thông tư sửa đổi, bổ sung một số điều của Thông tư số 107/2020/TT-BTC ngày 21 tháng 12 năm 2020 của Bộ trưởng Bộ Tài chính hướng dẫn giao dịch mua lại có kỳ hạn trái phiếu Chính phủ từ nguồn ngân quỹ nhà nước tạm thời nhàn rỗi của Kho bạc Nhà nước.
Điều 1. Sửa đổi, bổ sung một số điều của Thông tư số 107/2020/TT-BTC ngày 21 tháng 12 năm 2020 của Bộ trưởng Bộ Tài chính hướng dẫn giao dịch mua lại có kỳ hạn trái phiếu Chính phủ từ nguồn ngân quỹ nhà nước tạm thời nhàn rỗi của Kho bạc Nhà nước như sau:
1. Sửa đổi, bổ sung khoản 5 Điều 3 như sau:
“5. Kỳ hạn còn lại của TPCP: Là khoảng thời gian còn lại (theo ngày thực tế) từ ngày thanh toán giao dịch lần 1 (ngày T+2) đến ngày đáo hạn TPCP.”.
2. Sửa đổi, bổ sung khoản 1 Điều 5 như sau:
“1. Là TPCP do KBNN phát hành đang được niêm yết tại Sở Giao dịch Chứng khoán.”.
3. Sửa đổi, bổ sung một số khoản của Điều 9 như sau:
a) Sửa đổi điểm a khoản 4 như sau:
“a) Các thông tin về TPCP được mua lại có kỳ hạn: mã TPCP, kỳ hạn còn lại của TPCP, tỷ lệ phòng vệ rủi ro, lãi suất chiết khấu (%/năm).”.
b) Sửa đổi điểm c khoản 4 như sau:
“c) Chi tiết giao dịch lần 2: Ngày thanh toán giao dịch lần 2; khối lượng TPCP giao dịch tương ứng với từng mã TPCP và giá trị giao dịch lần 2.”.
c) Sửa đổi, bổ sung khoản 5 như sau:
“5. Hợp đồng khung và phụ lục hợp đồng được giao kết bằng văn bản giấy (có đầy đủ dấu và chữ ký trực tiếp của người có thẩm quyền đại diện các bên thực hiện hợp đồng) hoặc văn bản điện tử (được ký số bởi người có thẩm quyền và ký số của cơ quan, tổ chức theo quy định của pháp luật), phù hợp với quy định về giao dịch điện tử trong hoạt động nghiệp vụ KBNN.”.
4. Sửa đổi, bổ sung một số khoản của Điều 10 như sau:
a) Sửa đổi, bổ sung khoản 2 như sau:
“2. Từ 9h00 - 10h30 ngày T, các NHTM gửi lệnh chào chắc chắn theo quy chế giao dịch của Sở Giao dịch Chứng khoán, đảm bảo tổng khối lượng chào giá tại tất cả các kỳ hạn mua lại TPCP không vượt quá hạn mức dư nợ giao dịch còn lại của NHTM đó (các lệnh chào gửi sau 10h30 không có hiệu lực), cụ thể:
a) Đối với mỗi loại kỳ hạn mua lại TPCP, mỗi NHTM được chào tối đa năm (05) lệnh chào đối với mỗi loại kỳ hạn mua lại TPCP, đảm bảo tổng khối lượng chào không vượt quá tổng khối lượng KBNN yêu cầu chào giá đối với loại kỳ hạn đó.
b) Mỗi lệnh chào bao gồm lãi suất chào mua lại có kỳ hạn (tính đến 2 chữ số thập phân); một (01) hoặc nhiều mã TPCP được sử dụng để làm tài sản đảm bảo trong giao dịch mua lại có kỳ hạn TPCP, khối lượng chào tính theo mệnh giá TPCP tương ứng cho từng mã TPCP và các nội dung khác liên quan.
c) Khối lượng chào tính theo mệnh giá TPCP của mỗi lệnh chào không thấp hơn mức tối thiểu theo thông báo của KBNN trong từng thời kỳ.”.
b) Sửa đổi, bổ sung khoản 3 như sau:
“3. Từ 10h30 - 10h45 ngày T, KBNN thực hiên mở các bản chào trên hệ thống giao dịch công cụ nợ của Sở Giao dịch Chứng khoán. Căn cứ các lệnh chào nhận được trên hệ thống giao dịch công cụ nợ của Sở Giao dịch Chứng khoán, KBNN xác định kết quả mua lại có kỳ hạn TPCP theo quy định tại Điều 11 Thông tư này.”.
5. Sửa đổi, bổ sung một số khoán của Điều 12 như sau:
a) Sửa đổi, bổ sung khoản 1 như sau:
“1. Giá trị giao dịch lần 1 của KBNN tương ứng với từng lệnh chào được xác định theo công thức:
V1= ƩVi
Trong đó, Vi là giá trị giao dịch lần 1 tương ứng với từng mã TPCP của lệnh chào được lựa chọn, được tính như sau:
Vi= GG x (1 - H) x KL
Trong đó:
Vi. Giá trị giao dịch lần 1 tương ứng với mã TPCP i của lệnh chào được lựa chọn (làm tròn xuống đơn vị đồng).
GG: Giá gộp lãi danh nghĩa của một (01) trái phiếu của mã TPCP i, được tính theo quy định tại Điều 13 Thông tư này.
H: Tỷ lệ phòng vệ rủi ro được quy đổi sang số thập phân, được quy định là 5% tính trên giá gộp lãi danh nghĩa của TPCP đối với TPCP có kỳ hạn còn lại dưới năm (05) năm và 10% tính trên giá gộp lãi danh nghĩa của TPCP đối với TPCP có kỳ hạn còn lại từ năm (05) năm trở lên.
KL: Khối lượng TPCP giao dịch tương ứng với mã TPCP i (= khối lượng mua lại có kỳ hạn của mã TPCP đó tính theo mệnh giá/ mệnh giá trái phiếu).”.
b) Sửa đổi, bổ sung khoản 3 như sau:
“3. Giá trị giao dịch lần 2 của KBNN tương ứng với từng lệnh chào được xác định theo công thức sau:
V2 = V1 + L
Trong đó, V2 là giá trị giao dịch lần 2.”.
6. Sửa đổi, bổ sung Điều 13 như sau:
“Điều 13. Giá gộp lãi danh nghĩa, lãi danh nghĩa tích gộp và giá yết TPCP
1. Giá gộp lãi danh nghĩa:
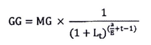
a) Xác định giá một (01) TPCP không thanh toán lãi định kỳ
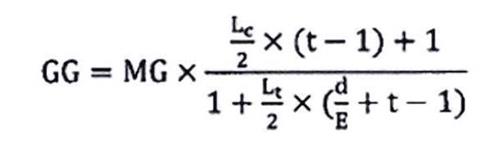
a.1) Đối với TPCP không thanh toán lãi định kỳ có kỳ hạn còn lại trên một (01) năm:

Trong đó:
GG = Giá một (01) TPCP (được làm tròn xuống đơn vị đồng).
MG = Mệnh giá TPCP.
a = Số ngày kể từ ngày thanh toán giao dịch lần 1 cho đến ngày thanh toán tiền lãi kế tiếp theo giả định.
E = Số ngày thực tế trong kỳ trả lãi giả định mã TPCP được mua lại có kỳ hạn.
t = Số lần trả lãi giả định kể từ ngày thanh toán giao dịch lần 1 đến ngày TPCP đáo hạn.
Lt = Lãi suất chiết khấu TPCP (%/năm), là lãi suất cho đến khi đáo hạn (YTM) được Sở Giao dịch Chứng khoán công bố trong ngày tổ chức mua lại có kỳ hạn TPCP đối với mã TPCP được sử dụng trong giao dịch trên trang thông tin điện tử của Sở Giao dịch Chứng khoán (phần đường cong lợi suất).
a.2) Đối với TPCP không thanh toán lãi định kỳ có kỳ hạn còn lại từ một (01) năm trở xuống:

Trong đó:
GG = Giá một (01) TPCP (được làm tròn xuống đơn vị đồng).
MG = Mệnh giá TPCP.
a = Số ngày kể từ ngày thanh toán giao dịch lần 1 cho đến ngày TPCP đáo hạn.
E = Số ngày thực tế trong kỳ trả lãi giả định mã TPCP được mua lại có kỳ hạn.
Lt = Lãi suất chiết khấu TPCP (%/năm), là lãi suất cho đến khi đáo hạn (YTM) được Sở Giao dịch Chứng khoán công bố trong ngày tổ chức mua lại có kỳ hạn TPCP đối với mã TPCP được sử dụng trong giao dịch trên trang thông tin điện tử của Sở Giao dịch Chứng khoán (phần đường cong lợi suất).
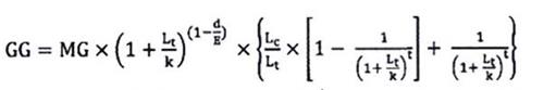
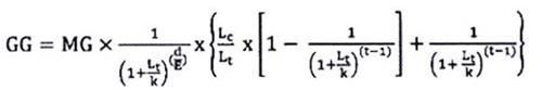
b) Xác định giá một (01) TPCP có lãi suất danh nghĩa cố định, thanh toán lãi định kỳ và có các kỳ trả lãi bằng nhau:
b.1) Đối với TPCP có kỳ hạn còn lại trên một (01) năm:
- Trường hợp ngày thanh toán giao dịch lần 1 trước hoặc vào ngày đăng ký cuối cùng của kỳ trả lãi kế tiếp, giá một (01) TPCP được xác định như sau:

- Trường hợp ngày thanh toán giao dịch lần 1 sau ngày đăng ký cuối cùng của kỳ trả lãi kế tiếp, giá một (01) TPCP được xác định như sau:

Trong đó:
GG = Giá một (01) TPCP (được làm tròn xuống đơn vị đồng).
MG = Mệnh giá TPCP.
Lc = Lãi suất danh nghĩa TPCP (%/năm).
k = Số lần thanh toán lãi định kỳ trong 1 năm.
d = Số ngày thực tế giữa ngày thanh toán giao dịch lần 1 và ngày thanh toán tiền lãi kế tiếp.
E = Số ngày thực tế trong kỳ trả lãi mã TPCP được mua lại có kỳ hạn.
t = Số lần thanh toán lãi TPCP giữa ngày thanh toán giao dịch lần 1 và ngày TPCP đáo hạn.
Lt = Lãi suất chiết khấu TPCP (%/năm), là lãi suất cho đến khi đáo hạn (YTM) được Sở Giao dịch Chứng khoán công bố trong ngày tổ chức mua lại có kỳ hạn TPCP đối với mã TPCP được sử dụng trong giao dịch trên trang thông tin điện tử của Sở Giao dịch Chứng khoán (phần đường cong lợi suất).
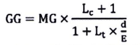
b.2) Đối với TPCP có kỳ hạn còn lại từ một (01) năm trở xuống:
- Đối với TPCP được thanh toán lãi mười hai (12) tháng một lần, giá một (01) TPCP được xác định như sau:

- Đối với TPCP được thanh toán lãi sáu (06) tháng một lần:
+ Trường hợp ngày thanh toán giao dịch lần 1 trước hoặc vào ngày đăng ký cuối cùng của kỳ trả lãi kế tiếp, giá một (01) TPCP được xác định như sau:

+ Trường hợp ngày thanh toán giao dịch lần 1 sau ngày đăng ký cuối cùng của kỳ trả lãi kế tiếp, giá một (01) TPCP được xác định như sau:

Trong đó:
GG: Giá một (01) TPCP (được làm tròn xuống đơn vị đồng).
MG: Mệnh giá TPCP.
Lc: Lãi suất danh nghĩa TPCP (%/năm).
d: Số ngày thực tế giữa ngày thanh toán giao dịch lần 1 và ngày thanh toán tiền lãi kế tiếp.
E: Số ngày thực tế trong kỳ trả lãi mã TPCP được mua lại có kỳ hạn.
t: Số lần thanh toán lãi của TPCP giữa ngày thanh toán giao dịch lần 1 và ngày TPCP đáo hạn.
Lt: Lãi suất chiết khấu TPCP (%/năm), là lãi suất cho đến khi đáo hạn (YTM) được Sở Giao dịch Chứng khoán công bố trong ngày tổ chức mua lại có kỳ hạn TPCP đối với mã TPCP được sử dụng trong giao dịch trên trang thông tin điện tử của Sở Giao dịch Chứng khoán (phần đường cong lợi suất).
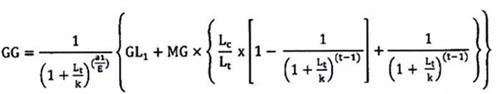
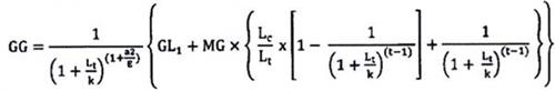
c) Xác định giá một (01) TPCP có lãi suất danh nghĩa cố định, thanh toán lãi định kỳ và có kỳ trả lãi đầu tiên ngắn hơn hoặc dài hơn so với các kỳ trả lãi tiếp theo:
c.1) Đối với TPCP có kỳ hạn còn lại trên một (01) năm:
- Trường hợp ngày thanh toán giao dịch lần 1 trước hoặc vào ngày đăng ký cuối cùng để nhận được tiền lãi TPCP của kỳ trả lãi đầu tiên:
+ Trường hợp số ngày thực tế từ ngày thanh toán giao dịch lần 1 đến ngày thanh toán tiền lãi của kỳ trả lãi đầu tiên ngắn hơn một (01) kỳ trả lãi thông thường, giá một (01) TPCP được xác định như sau:

+ Trường hợp số ngày thực tế từ ngày thanh toán giao dịch lần 1 đến ngày thanh toán tiền lãi của kỳ trả lãi đầu tiên dài hơn hoặc bằng một (01) kỳ trả lãi thông thường, giá một (01) TPCP được xác định như sau:

Trong đó:
GG = Giá một (01) TPCP (được làm tròn xuống đơn vị đồng).
GL1 = Số tiền thanh toán lãi của một (01) TPCP đối với kỳ trả lãi đầu tiên theo điều khoản của TPCP khi phát hành lần đầu.
MG = Mệnh giá TPCP.
Lt = Lãi suất chiết khấu TPCP (%/năm), là lãi suất cho đến khi đáo hạn (YTM) được Sở Giao dịch Chứng khoán công bố trong ngày tổ chức mua lại có kỳ hạn TPCP đối với mã TPCP được sử dụng trong giao dịch trên trang thông tin điện tử của Sở Giao dịch Chứng khoán (phần đường cong lợi suất).
Lc = Lãi suất danh nghĩa TPCP (%/năm).
k = Số lần thanh toán lãi định kỳ trong 1 năm.
a1 = Số ngày thực tế giữa ngày thanh toán giao dịch lần 1 và ngày thanh toán tiền lãi TPCP đầu tiên theo điều khoản của TPCP khi phát hành lần đầu.
a2 = Số ngày thực tế từ ngày thanh toán giao dịch lần 1 đến ngày thanh toán tiền lãi thông thường theo giả định.
E = Số ngày thực tế trong kỳ trả lãi thông thường theo điều khoản của TPCP khi phát hành lần đầu.
t = Số lần thanh toán lãi giữa ngày thanh toán giao dịch lần 1 và ngày TPCP đáo hạn.
- Trường hợp ngày thanh toán giao dịch lần 1 sau ngày đăng ký cuối cùng để nhận được tiền lãi TPCP của kỳ trả lãi đầu tiên, giá một (01) TPCP được xác định theo quy định tại tiết b.1 điểm b khoản này.
c.2) Đối với TPCP có kỳ hạn còn lại từ một (01) năm trở xuống, giá một (01) TPCP được xác định theo quy định tại tiết b.2 điểm b khoản này.
d) Bộ Tài chính thông báo cách xác định giá gộp lãi danh nghĩa trong trường hợp lãi suất danh nghĩa TPCP là lãi suất thả nổi khi phát sinh.
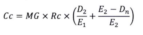
2. Lãi danh nghĩa tích gộp:
a) Xác định lãi danh nghĩa tích gộp trong ngày giao dịch hưởng quyền:
a.1) Đối với TPCP có lãi suất danh nghĩa cố định, thanh toán lãi định kỳ và có các kỳ trả lãi bằng nhau:

Trong đó:
Cc: Lãi danh nghĩa tích gộp trong ngày giao dịch hưởng quyền.
MG: Mệnh giá TPCP.
Rc = Lc/k, trong đó: Lc là lãi suất danh nghĩa TPCP (%/năm), k là số lần thanh toán lãi trong năm.
Dn: Số ngày từ ngày thanh toán giao dịch lần 1 đến ngày trả lãi danh nghĩa tiếp theo gần nhất hoặc từ ngày thanh toán giao dịch lần 1 đến ngày TPCP đáo hạn.
E: Số ngày thực tế của kỳ trả lãi TPCP hiện tại.
a.2) Đối với TPCP có lãi suất danh nghĩa cố định, thanh toán lãi định kỳ và có kỳ trả lãi đầu tiên ngắn hơn so với các kỳ trả lãi tiếp theo
- Xác định lãi danh nghĩa tích gộp trong ngày giao dịch hưởng quyền của kỳ trả lãi đầu tiên như sau

Trong đó:
Cc: Lãi danh nghĩa tích gộp trong ngày giao dịch hưởng quyền.
MG: Mệnh giá TPCP.
Rc = Lc/k, trong đó: Lc là lãi suất danh nghĩa TPCP (%/năm), k là số lần thanh toán lãi trong năm.
D1: Số ngày từ ngày phát hành TPCP lần đầu đến ngày trả lãi danh nghĩa tiếp theo gần nhất.
Dn: Số ngày từ ngày thanh toán giao dịch lần 1 đến ngày trả lãi danh nghĩa tiếp theo gần nhất hoặc từ ngày thanh toán giao dịch lần 1 đến ngày TPCP đáo hạn.
E2: Số ngày thực tế trong kỳ trả lãi TPCP thông thường theo giả định có ngày thanh toán giao dịch lần 1 diễn ra.
- Xác định lãi danh nghĩa tích gộp trong ngày giao dịch hưởng quyền của các kỳ trả lãi tiếp theo theo công thức tại tiết a.1 điểm này.
a.3) Đối với TPCP có lãi suất danh nghĩa cố định, thanh toán lãi định kỳ và có kỳ trả lãi đầu tiên dài hơn so với các kỳ trả lãi tiếp theo
- Trường hợp ngày thanh toán giao dịch lần 1 diễn ra trước hoặc trùng với ngày trả lãi danh nghĩa thông thường theo giả định của kỳ trả lãi đầu tiên, lãi danh nghĩa tích gộp của kỳ trả lãi đầu tiên được xác định như sau:

Trong đó:
Cc: Lãi danh nghĩa tích gộp trong ngày giao dịch hưởng quyền.
MG: Mệnh giá TPCP.
Rc = Lc/k, trong đó: Lc là lãi suất danh nghĩa TPCP (%/năm), k là số lần thanh toán lãi trong năm.
D2: Số ngày từ ngày phát hành TPCP lần đầu đến ngày trả lãi danh nghĩa thông thường theo giả định tiếp theo gần nhất.
Dn: Số ngày từ ngày thanh toán giao dịch lần 1 đến ngày trả lãi danh nghĩa thông thường theo giả định tiếp theo gần nhất.
E1: Số ngày thực tế trong kỳ trả lãi TPCP thông thường theo giả định có ngày phát hành TPCP lần đầu diễn ra.
- Trường hợp ngày thanh toán giao dịch lần 1 diễn ra sau ngày trả lãi danh nghĩa thông thường theo giả định của kỳ trả lãi đầu tiên, lãi danh nghĩa tích gộp của kỳ trả lãi đầu tiên được xác định như sau:

Trong đó:
Cc: Lãi danh nghĩa tích gộp trong ngày giao dịch hưởng quyền.
MG: Mệnh giá TPCP.
Rc = Lc/k, trong đó: Lc là lãi suất danh nghĩa TPCP (%/năm), k là số lần thanh toán lãi trong năm.
D2: Số ngày từ ngày phát hành TPCP lần đầu đến ngày trả lãi danh nghĩa thông thường theo giả định tiếp theo gần nhất.
E1: Số ngày thực tế trong kỳ trả lãi TPCP thông thường theo giả định có ngày phát hành TPCP lần đầu diễn ra.
Dn: Số ngày từ ngày thanh toán giao dịch lần 1 đến ngày trả lãi danh nghĩa tiếp theo gần nhất hoặc từ ngày thanh toán giao dịch lần 1 đến ngày TPCP đáo hạn.
E2: Số ngày thực tế trong kỳ trả lãi TPCP thông thường theo giả định có ngày thanh toán giao dịch lần 1 diễn ra.
- Xác định lãi danh nghĩa tích gộp trong ngày giao dịch hưởng quyền của các kỳ trả lãi tiếp theo theo công thức tại tiết a.1 điểm này.
b) Xác định lãi danh nghĩa tích gộp trong ngày giao dịch không hưởng quyền
b.1) Đối với TPCP có lãi suất danh nghĩa cố định, thanh toán lãi định kỳ và có các kỳ trả lãi bằng nhau

Trong đó:
Cx: Lãi danh nghĩa tích gộp trong ngày giao dịch không hưởng quyền.
MG: Mệnh giá TPCP.
Rc = Lc/k, trong đó: Lc là lãi suất danh nghĩa TPCP (%/năm), k là số lần thanh toán lãi trong năm.
Dn: Số ngày từ ngày thanh toán giao dịch lần 1 đến ngày trả lãi danh nghĩa tiếp theo gần nhất hoặc từ ngày thanh toán giao dịch lần 1 đến ngày TPCP đáo hạn.
E: Số ngày thực tế của kỳ trả lãi TPCP hiện tại.
b.2) Đối với TPCP có lãi suất danh nghĩa cố định, thanh toán lãi định kỳ và có kỳ trả lãi đầu tiên ngắn hơn hoặc dài hơn so với các kỳ trả lãi tiếp theo
Xác định lãi danh nghĩa tích gộp trong ngày giao dịch không hưởng quyền của kỳ trả lãi đầu tiên:

Trong đó:
Cx: Lãi danh nghĩa tích gộp trong ngày giao dịch không hưởng quyền.
MG: Mệnh giá TPCP.
Rc = Lc/k, trong đó: Lc là lãi suất danh nghĩa TPCP (%/năm), k là số lần thanh toán lãi trong năm.
Dn: Số ngày từ ngày thanh toán giao dịch lần 1 đến ngày trả lãi danh nghĩa tiếp theo gần nhất hoặc từ ngày thanh toán giao dịch lần 1 đến ngày TPCP đáo hạn.
E2: Số ngày thực tế trong kỳ trả lãi TPCP thông thường theo giả định có ngày thanh toán giao dịch lần 1 diễn ra.
- Xác định lãi danh nghĩa tích gộp trong ngày giao dịch không hưởng quyền của các kỳ trả lãi tiếp theo theo công thức tại tiết b.1 điểm này.
c) Trong trường hợp ngày thanh toán giao dịch lần 1 trùng với ngày trả lãi danh nghĩa, lãi danh nghĩa tích gộp được xác định bằng 0.
3. Giá yết TPCP
a) Xác định giá yết trong ngày giao dịch hưởng quyềnG = GG - Cc
Trong đó:
G: Giá yết (được làm tròn xuống đơn vị đồng).
GG: Giá gộp lãi danh nghĩa một (01) TPCP.
Cc: Lãi danh nghĩa tích gộp trong ngày giao dịch hưởng quyền.
b) Xác định giá yết trong ngày giao dịch không hưởng quyềnG = GG + Cx
Trong đó:
G: Giá yết (được làm tròn xuống đơn vị đồng).
GG: Giá gộp lãi danh nghĩa một (01) TPCP.
Cx: Lãi danh nghĩa tích gộp trong ngày giao dịch không hưởng quyền.
c) Xác định giá yết trong trường hợp ngày thanh toán giao dịch lần 1 trùng với ngày trả lãi danh nghĩaG = GG
Trong đó:
G: Giá yết.
GG: Giá gộp lãi danh nghĩa một (01) TPCP.
d) Đối với TPCP không thanh toán lãi định kỳ:G = GG
Trong đó
G: Giá yết.
GG: Giá gộp lãi danh nghĩa một (01) TPCP.”.
7. Sửa đổi, bổ sung khoản 2 Điều 15 như sau:
“2. Trường hợp KBNN và NHTM không thống nhất được về việc điều chỉnh thời gian thanh toán hoặc sau thời hạn thanh toán quy định tại khoản 1 Điều này mà NHTM vẫn không thực hiện thanh toán cho KBNN, KBNN giữ TPCP cho đến khi đáo hạn và nhận gốc, lãi TPCP để khấu trừ toàn bộ nghĩa vụ phải thanh toán (giá trị giao dịch lần 2 và tiền phạt chậm thanh toán tính đến hết ngày liền kề trước ngày TPCP đáo hạn) của NHTM; số tiền còn lại (nếu có), KBNN trả lại cho NHTM trong vòng năm (05) ngày làm việc, kể từ ngày TPCP đáo hạn.”.
8. Bổ sung Điều 15a vào sau Điều 15 như sau:
“Điều 15a. Tiền lãi danh nghĩa TPCP
1. Trường hợp KBNN nhận được tiền lãi danh nghĩa TPCP trong thời gian mua lại có kỳ hạn TPCP, KBNN có trách nhiệm hoàn trả số tiền lãi danh nghĩa TPCP đã nhận được cho các NHTM theo mã TPCP mà KBNN nhận được tiền lãi danh nghĩa. Việc hoàn trả tiền lãi danh nghĩa TPCP được thực hiện bên ngoài hệ thống giao dịch công cụ nợ của Sở Giao dịch Chứng khoán; thời điểm hoàn trả lãi danh nghĩa do hai bên tự thống nhất, nhưng không được muộn hơn năm (05) ngày làm việc, kể từ ngày thực thanh toán lãi trái phiếu.
2. Trường hợp chuyển tiền lãi danh nghĩa chậm, KBNN có trách nhiệm thanh toán tiền phạt chậm thanh toán cho NHTM đối với số ngày chậm thanh toán theo mức lãi suất phạt chậm thanh toán quy định tại khoản 2 Điều 14 Thông tư này.”.
9. Sửa đổi, bổ sung Điều 17 như sau:
“Điều 17. Công bố thông tin
1. Chậm nhất vào ngày làm việc cuối cùng của tuần liền kề trước tuần thực hiện giao dịch, KBNN công bố thông tin trên trang thông tin điện tử của KBNN về lịch biểu giao dịch mua lại có kỳ hạn TPCP dự kiến của tuần thực hiện giao dịch tiếp theo; đồng thời, cung cấp thông tin cho Sở Giao dịch Chứng khoán để đăng tải trên cổng thông tin điện tử của Sở Giao dịch Chứng khoán.
2. Chậm nhất ngày 10 hàng tháng, KBNN công bố thông tin trên trang thông tin điện tử của KBNN về kết quả mua lại có kỳ hạn TPCP trong tháng liền kề trước đó (khối lượng, lãi suất mua lại có kỳ hạn TPCP bình quân gia quyền tương ứng với loại kỳ hạn); đồng thời, cung cấp thông tin cho Sở Giao dịch Chứng khoán để đăng tải trên cổng thông tin điện tử của Sở Giao dịch Chứng khoán.”.
10. Sửa đổi, bổ sung một số khoản của Điều 18 như sau:
a) Bổ sung điểm c vào khoản 1 Điều 18 như sau:
“c) Cung cấp thông tin về lịch biểu giao dịch mua lại có kỳ hạn TPCP dự kiến của tuần thực hiện giao dịch tiếp theo và kết quả mua lại có kỳ hạn TPCP trong tháng liền kề trước đó cho Sở Giao dịch Chứng khoán theo quy định tại Điều 17 Thông tư này.”.
b) Bổ sung điểm c và d vào khoản 2 Điều 18 như sau:
“c) Công bố thông tin về lịch biểu giao dịch mua lại có kỳ hạn TPCP dự kiến của tuần thực hiện giao dịch tiếp theo và kết quả mua lại có kỳ hạn TPCP trong tháng liền kề trước đó theo quy định tại Điều 17 Thông tư này.
d) Định kỳ hàng tháng, cung cấp thông tin về giao dịch mua lại có kỳ hạn TPCP trên thị trường (gồm: kỳ hạn mua lại TPCP, lãi suất mua lại có kỳ hạn TPCP, mã TPCP, giá yết TPCP, giá thực hiện, lãi suất chiếu khấu TPCP, giá trị giao dịch lần 1, giá trị giao dịch lần 2) cho KBNN để phục vụ đánh giá tình hình thị trường.”.
Điều 2. Điều khoản chuyển tiếp
Các giao dịch mua lại có kỳ hạn TPCP có ngày thanh toán giao dịch lần 1 trước ngày Thông tư này có hiệu lực thi hành và ngày thanh toán giao dịch lần 2 sau ngày Thông tư này có hiệu lực thi hành thì được tiếp tục áp dụng theo các quy định tại Thông tư số 107/2020/TT-BTC ngày 21 tháng 12 năm 2020 của Bộ trưởng Bộ Tài chính hướng dẫn giao dịch mua lại có kỳ hạn TPCP từ nguồn ngân quỹ nhà nước tạm thời nhàn rỗi của KBNN.
Điều 3. Hiệu lực thi hành và tổ chức thực hiện
1. Thông tư này có hiệu lực thi hành kể từ ngày 04 tháng 5 năm 2023
2. KBNN, các cơ quan, đơn vị, tổ chức và cá nhân có liên quan chịu trách nhiệm thi hành Thông tư này./.
|
Nơi nhận: - Ban Bí thư Trung ương Đ ả ng; - Thủ tướng, các Phó Th ủ tướng Chính phủ; - Văn phòng Trung ương và các Ban của Đ ả ng; - Văn phòng Q uốc hội; - Văn phòng Chủ tịch nước; - Văn phòng Chính phủ; - Toà án Nhân dân t ối cao; - Viện Kiểm sát Nhân dân tối cao; - Kiểm toán Nhà nước; - Các Bộ, cơ quan ngang Bộ, cơ quan thuộc Chính phủ; - Cơ quan Trung ương của các đoàn thể; - U BND các tỉnh, thành phố trực thuộc TW; - Sở Tài chính, KBNN, Cục Thuế, Cục H ả i quan các tỉnh, thành phố trực thuộc Trung ương; - Cục Kiểm tra văn bản quy phạm pháp luật, Bộ Tư pháp; - Công báo; cổng thông tin điện tử của Chính phủ; - Cổng thông tin điện tử của Bộ Tài chính; - Các đơn vị thuộc Bộ Tài chính; - Lưu: VT, KBNN (255 bản) |
KT. BỘ TRƯỞNG THỨ TRƯỞNG
Cao Anh Tuấn
|
Thuộc tính Thông tư 12/2023/TT-BTC
| Cơ quan ban hành: | Bộ Tài chính | Số công báo: | Đang cập nhật |
| Số hiệu: | 12/2023/TT-BTC | Ngày đăng công báo: | Đang cập nhật |
| Loại văn bản: | Thông tư | Người ký: | Cao Anh Tuấn |
| Ngày ban hành: | 10/02/2022 | Ngày hết hiệu lực: | Đang cập nhật |
| Lĩnh vực: | Tài chính-Ngân hàng |
Văn bản pháp luật này thuộc lĩnh vực Tài chính - Ngân hàng được HoaTieu.vn cập nhật và đăng tải, mời các bạn sử dụng file tải về để lưu làm tài liệu sử dụng.
Thông tư 12/2023/TT-BTC sửa đổi Thông tư 107/2020/TT-BTC
1,1 MB 28/02/2023 9:49:00 SA-
Tải Thông tư 12/2023/TT-BTC pdf
371,2 KB
| Cơ quan ban hành: | Người ký: | ||
| Số hiệu: | Lĩnh vực: | Đang cập nhật | |
| Ngày ban hành: | Ngày hiệu lực: | Đang cập nhật | |
| Loại văn bản: | Ngày hết hiệu lực: | Đang cập nhật | |
| Tình trạng hiệu lực: |
-
Chia sẻ:
Trần Thu Trang
- Ngày:
Theo Nghị định 147/2024/ND-CP, bạn cần xác thực tài khoản trước khi sử dụng tính năng này. Chúng tôi sẽ gửi mã xác thực qua SMS hoặc Zalo tới số điện thoại mà bạn nhập dưới đây:
Bài liên quan
-
Quyết định 153/QĐ-TTg 2023 Quy hoạch tỉnh Thanh Hóa thời kỳ 2021-2030, tầm nhìn đến năm 2045
-
Lịch nộp các loại báo cáo thuế năm 2023
-
Ký hiệu biển số xe ô tô, mô tô của tổ chức, cá nhân nước ngoài 2026
-
Thông tư 27/2022/TT-BNNPTNT hướng dẫn xây dựng định mức kinh tế - kỹ thuật trong quản lý, khai thác công trình thủy lợi
-
Thông tư 02/2023/TT-BCA quy định huấn luyện nghiệp vụ chữa cháy và cứu nạn, cứu hộ
-
Cách tính phụ cấp độc hại mới nhất
-
Giãn chu kỳ kiểm định xe ô tô cá nhân đến 9 chỗ
-
Các giấy tờ làm căn cứ xác định đối tượng tham gia bảo hiểm y tế 2026
Pháp luật tải nhiều
-
Lịch thi IOE cấp Quốc gia 2025-2026
-
Công văn 2168/SGDĐT-GDTXNNĐH của SGDĐT TP.HCM rà soát việc thực hiện nhiệm vụ năm học 2025-2026 đối với GDTX
-
Công văn 2199/SGDĐT-GDTXNNĐH báo cáo thực hiện đánh giá học viên theo học Chương trình GDTX tại TP.HCM
-
Công văn 1943/SGDĐT-GDTXNNĐH tổ chức kiểm tra cuối kì 2 năm 2025-2026 đối với GDTX tại TP.HCM
-
Khung tiêu chí đánh giá viên chức theo KPI từ 01/7/2026 (Dự kiến)
-
Công văn 323/CTL&BHXH hướng dẫn chế độ chính sách đối với cán bộ công chức tại Nghị định 76/2019
-
Luật xử lý vi phạm hành chính số 15/2012/QH13
-
Quyết định 624/QĐ-BGDĐT công bố thủ tục hành chính mới ban hành lĩnh vực thi, tuyển sinh thuộc phạm vi, chức năng quản lý của BGDĐT
-
Quyết định 618/QĐ-BGDĐT Công bố thủ tục hành chính được thay thế lĩnh vực thi, tuyển sinh thuộc phạm vi chức năng quản lý của BGDĐT
-
Văn bản hợp nhất Luật Giáo dục Quốc phòng và an ninh số 48/VBHN-VPQH
Bài viết hay Tài chính - Ngân hàng
-
Thông tư liên tịch 17/2015/TTLT-BTP-BQP về trách nhiệm bồi thường trong hoạt động thi hành án dân sự
-
Thông tư 03/2017/TT-BKHĐT quy định chế độ báo cáo việc lập, theo dõi và đánh giá thực hiện kế hoạch đầu tư công
-
Thông tư 30/2016/TT-NHNN về hoạt động cung ứng dịch vụ thanh toán và dịch vụ trung gian thanh toán
-
Nghị định 34/2018/NĐ-CP
-
Quyết định 1997/QĐ-BTC năm 2016 quy định chế độ khoán kinh phí sử dụng xe ô tô
-
Thông tư 56/2022/TT-BTC hướng dẫn về cơ chế tự chủ tài chính của đơn vị sự nghiệp công lập
-
Thuế - Lệ phí - Kinh phí
-
Giáo dục - Đào tạo
-
Y tế - Sức khỏe
-
Thể thao
-
Bảo hiểm
-
Chính sách
-
Hành chính
-
Cơ cấu tổ chức
-
Quyền Dân sự
-
Tố tụng - Kiện cáo
-
Dịch vụ Pháp lý
-
An ninh trật tự
-
Trách nhiệm hình sự
-
Văn bản Nông - Lâm - Ngư nghiệp
-
Tài nguyên - Môi trường
-
Công nghệ - Thông tin
-
Khoa học công nghệ
-
Văn bản Giao thông vận tải
-
Hàng hải
-
Văn hóa Xã hội
-
Doanh nghiệp
-
Xuất - Nhập khẩu
-
Tài chính - Ngân hàng
-
Lao động - Tiền lương
-
Đầu tư - Chứng khoán - Thương mại
-
Xây dựng - Đô thị - Đất đai - Nhà ở
-
Lĩnh vực khác