Đề thi học kì 2 Toán 7 Cánh Diều có đáp án 2025
Mua tài khoản Hoatieu Pro để trải nghiệm website Hoatieu.vn KHÔNG quảng cáo & Tải nhanh File chỉ từ 99.000đ. Tìm hiểu thêm »
Đề kiểm tra cuối kì 2 môn Toán 7 Cánh Diều
Đề thi học kì 2 Toán 7 Cánh Diều - Hoatieu xin chia sẻ đến các em học sinh mẫu đề thi cuối học kì 2 môn Toán lớp 7 bộ Cánh Diều có ma trận đề thi và gợi ý đáp án chi tiết sẽ giúp các em có thêm tài liệu ôn tập môn Toán 7. Sau đây là nội dung chi tiết đề thi học kì 2 Toán 7 Cánh Diều mới được các thầy cô giáo biên soạn theo chương trình giáo dục phổ thông mới môn Toán, mời các em cùng tham khảo.
- Đề thi cuối kì 2 lớp 7 môn Toán Kết nối tri thức có đáp án (12 đề)
- Đề thi học kì 2 Toán 7 Chân trời sáng tạo

1. Nội dung đề kiểm tra học kì 2 Toán 7 Cánh Diều
Tổng hợp đề thi học kì 2 môn Toán lớp 7 theo bộ sách Cánh Diều, bám sát chương trình giáo dục phổ thông mới, giúp học sinh ôn tập hiệu quả và làm quen với cấu trúc đề thi thực tế. Đề thi gồm cả phần trắc nghiệm và tự luận, có đáp án và hướng dẫn giải chi tiết, phù hợp để luyện tập tại nhà hoặc sử dụng trong các buổi ôn tập trên lớp. Tài liệu là nguồn tham khảo hữu ích dành cho giáo viên, phụ huynh và học sinh chuẩn bị cho kỳ thi học kỳ 2 năm học 2024–2025.
| STT | Nội dung | Ma trận | Bản đặc tả | Đáp án |
| Đề 1 |
Trắc nghiệm: 12 câu (3 điểm) Tự luận: 4 câu (7 điểm) |
Có | Không | Có |
| Đề 2 |
Trắc nghiệm: 16 câu (4 điểm) Tự luận: 4 câu (6 điểm) |
Có | Có | Có |
| Đề 3 |
Trắc nghiệm: 16 câu (4 điểm) Tự luận: 4 câu (6 điểm) |
Có | Có | Có |
|
Đề 4 Dành cho HSHN |
Trắc nghiệm: 8 câu (4 điểm) Tự luận: 3 câu (6 điểm) |
Có | Có | Có |
|
Đề 5 |
Trắc nghiệm: 8 câu (2 điểm) Tự luận: 5 câu (8 điểm) |
Có | Có | Có |
|
Đề 6 |
Trắc nghiệm: 12 câu (3 điểm) Tự luận: 7 câu (7 điểm) |
Có | Có | Có |
Lưu ý: Để xem toàn bộ nội dung chi tiết bộ đề thi cuối kì 2 Toán 7 Cánh Diều, mời các bạn sử dụng file tải về trong bài.
2. Ma trận đề thi học kì 2 Toán 7 Cánh Diều - đề 1
|
STT |
Chương |
Nội dung kiến thức |
Mức độ kiến thức, kĩ năng cần kiểm tra, đánh giá |
Tổng % điểm |
|||||||
|
Nhận biết |
Thông hiểu |
Vận dụng |
Vận dụng cao |
||||||||
|
TN |
TL |
TN |
TL |
TN |
TL |
TN |
TL |
||||
|
1 |
Một số yếu tố thống kê và xác suất |
Thống kê – Thu thập và tổ chức dữ liệu |
|
|
2 (0,5đ) |
1 (0,5đ) |
|
1 (0,5đ) |
|
|
25% |
|
Xác suất – Làm quen với biến cố ngẫu nhiên và xác suất của biến cố ngẫu nhiên |
2 (0,5đ) |
|
|
1 (0,5đ) |
|
|
|
|
|||
|
2 |
Biểu thức đại số |
Biểu thức đại số |
|
|
1 (0,25đ) |
|
|
|
|
|
35% |
|
Đa thức một biến |
2 (0,5đ) |
1 (0,5đ) |
|
2 (1,0đ) |
|
1 (0,5đ) |
|
1 (0,5đ) |
|||
|
3 |
Tam giác |
Tam giác. Tam giác bằng nhau. Tam giác cân. Quan hệ giữa đường vuông góc và đường xiên. Các đường đồng quy của tam giác |
4 (1,0đ) |
|
|
1 (1,0đ) |
|
2 (2,0đ) |
|
|
40% |
|
Tổng: Số câu Điểm |
8 (2,0đ) |
1 (0,5đ) |
4 (1,0đ) |
5 (3,0đ) |
|
4 (3,0đ) |
|
1 (0,5đ) |
23 (10đ) |
||
|
Tỉ lệ |
25% |
40% |
30% |
5% |
100% |
||||||
|
Tỉ lệ chung |
65% |
35% |
100% |
||||||||
3. Đề thi học kì 2 Toán 7 Cánh Diều 2024 - đề 1
PHẦN I. TRẮC NGHIỆM KHÁCH QUAN (3,0 điểm)
Hãy khoanh tròn vào phương án đúng duy nhất trong mỗi câu dưới đây:
Câu 1. Tung hai con xúc xắc màu xanh và đỏ rồi quan sát số chấm xuất hiện trên mặt hai con xúc xắc. Xét biến cố A: “Số chấm trên mặt hai con xúc xắc bằng nhau”. Khẳng định nào sau đây là đúng?
A. Biến cố A là biến cố không thể;
B. Biến cố A là biến cố chắc chắn;
C. Biến cố A là biến cố ngẫu nhiên;
D. Cả A, B, C đều đúng.
Câu 2. Một chiếc bình thủy tinh đựng 1 ngôi sao giấy màu tím, 1 ngôi sao giấy màu xanh, 1 ngôi sao giấy màu vàng, 1 ngôi sao giấy màu đỏ. Các ngôi sao có kích thước và khối lượng như nhau. Lấy ngẫu nhiên 1 ngôi sao từ trong bình. Cho biến cố Y: “Lấy được 1 ngôi sao màu tím hoặc màu đỏ”. Xác suất của biến cố Y là
\(A.\ \frac{1}{4}\)
\(B.\ \frac{1}{2}\)
\(C.\ \frac{1}{5}\)
D. 1.
Câu 3. Cho các dãy dữ liệu:
(1) Tên của mỗi bạn học sinh trong lớp 7A.
(2) Số lượng học sinh của các lớp 7 đạt điểm 10 thi giữa học kì I.
(3) Số nhà của mỗi bạn học sinh lớp 7B.
(4) Số lượng nhóm nhạc yêu thích của mỗi bạn học sinh trong lớp.
Trong các dãy dữ liệu trên, dãy dữ liệu không phải là số là
A. (1);
B. (2);
C. (3);
D. (4).
Câu 4. Biểu đồ dưới đây cho biết tỉ lệ các loại kem bán được trong một ngày của một cửa hàng kem.

Biết rằng một ngày cửa hàng đó bán được 100 cái kem. Số lượng kem ốc quế bán được trong một ngày là bao nhiêu?
A. 20 cái;
B. 25 cái;
C. 30 cái;
D. 35 cái.
Câu 5. Một người đi bộ trong x (giờ) với vận tốc 4 (km/h) và sau đó đi bằng xe đạp trong y (giờ) với vận tốc 18 (km/h). Biểu thức đại số biểu thị tổng quãng đường đi được của người đó là
A. 4(x + y);
B. 22(x + y);
C. 4y + 18x;
D. 4x + 18y.
Câu 6. Giá trị của biểu thức A = –(2a + b) tại a = 1; b = 3 là
A. A = 5;
B. A = –5;
C. A = 1;
D. A = –1.
Câu 7. Hệ số tự do của đa thức 10 – 9x2 – 7x5 + x6 – x4 là
A. –1;
B. –7;
C. 1;
D. 10.
Câu 8. Cho đa thức A(t) = 2t2 – 3t + 1. Phần tử nào trong tập hợp {‒1; 0; 1; 2} là nghiệm của A(t)?
A. ‒1;
B. 0;
C. 1;
D. 2.
Câu 9. Trong một tam giác, đối diện với cạnh nhỏ nhất là một
A. góc nhọn;
B. góc vuông;
C. góc tù;
D. góc bẹt.
Câu 10. Cho tam giác ABC có
\(\widehat{A}\)=35°,
\(\widehat{B}\) =45°. Số đo góc C là:
A.70°;
B. 80°;
C. 90°;
D. 100°.
Câu 11. Bộ ba số đo nào dưới đây có thể là độ dài ba cạnh của một tam giác?
A. 7 cm, 3 cm, 4 cm;
B. 7 cm, 3 cm, 5 cm;
C. 7 cm, 3 cm, 2 cm;
D. 7 cm, 3 cm, 3 cm.
Câu 12. Trong một tam giác, trực tâm là giao điểm của ba đường nào?
A. Đường phân giác;
B. Đường trung tuyến;
C. Đường trung trực;
D. Đường cao.
PHẦN II. TỰ LUẬN (7,0 điểm)
Bài 1. (1,5 điểm) Biểu đồ dưới đây biểu diễn lượng mưa (đơn vị: mm) của hai tỉnh Lai Châu và Cà Mau trong các năm 2016 – 2020.

(Nguồn: Tổng cục Thống kê)
a) Tính tổng lượng mưa tại mỗi tỉnh Lai Châu và Cà Mau trong giai đoạn 2016 – 2020.
b) Năm 2017, lượng mưa tại Cà Mau bằng bao nhiêu phần trăm lượng mưa tại Lai Châu (làm tròn kết quả với độ chính xác 0,005)?
c) Chọn ngẫu nhiên 1 năm trong 5 năm đó. Tính xác suất của các biến cố sau:
A: “Tại năm được chọn, lượng mưa ở Cà Mau cao hơn ở Lai Châu”;
B: “Tại năm được chọn, lượng mưa ở Cà Mau thấp hơn 25 m”;
Bài 2. (2,0 điểm) Cho biết A(x) – (9x3 + 8x2 – 2x – 7) = –9x3 – 8x2 + 5x + 11.
a) Tìm đa thức A(x).
b) Xác định bậc và hệ số cao nhất của đa thức A(x).
c) Tìm đa thức M(x) sao cho M(x) = A(x).B(x) biết B(x) = –x2 + x.
d) Tính M(‒1), từ đó kết luận số ‒1 có phải là nghiệm của đa thức M(x) hay không.
Bài 3. (3,0 điểm) Cho tam giác ABC vuông tại A. Trên cạnh BC lấy điểm E sao cho BE = BA, trên tia BA lấy điểm F sao cho BF = BC. Kẻ tia BD là tia phân giác của góc ABC (D thuộc AC). Chứng minh rằng:
a) ∆ABD = ∆EBD từ đó suy ra AD = ED.
b) BD là đường trung trực của đoạn thẳng AE và AD < DC.
c) Ba điểm E, D, F thẳng hàng.
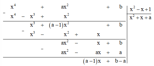
Bài 4. (0,5 điểm) Xác định các hằng số a và b sao cho đa thức x 4 + ax 2 + b chia hết cho đa thức x 2 – x + 1.
4. Đáp án đề thi học kì 2 Toán 7 Cánh Diều - đề 1
PHẦN I. TRẮC NGHIỆM KHÁCH QUAN (3,0 điểm)
Bảng đáp án:
| Câu | 1 | 2 | 3 | 4 | 5 | 6 | 7 | 8 | 9 | 10 | 11 | 12 |
| Đáp án | C | B | A | B | D | A | D | C | A | D | B | D |
II, PHẦN TỰ LUẬN
Bài 1. (1,5 điểm)
a) Tổng lượng mưa tại mỗi tỉnh Lai Châu trong giai đoạn 2016 – 2020 là:
2 186 + 3 179 + 2 895 + 2 543 + 2 702 = 13 505 (mm).
Tổng lượng mưa tại mỗi tỉnh Cà Mau trong giai đoạn 2016 – 2020 là:
\(\frac{2175}{3179}.100\%\approx68,42\%\)
2 304 + 2 175 + 2 008 + 2 263 + 2 395 = 11 145 (mm).
b) Năm 2017, lượng mưa tại Cà Mau và Lai Châu lần lượt là 2 175 mm và 3 179 mm.
Trong năm 2017, lượng mưa tại Cà Mau bằng số phần trăm lượng mưa tại Lai Châu là: .
c) • Quan sát biểu đồ trên thấy có 1 năm mà lượng mưa ở Cà Mau cao hơn lượng mưa ở Lai Châu là: năm 2016.
Vì chọn ngẫu nhiên một năm nên xác suất của biến cố A: “Tại năm được chọn lượng mưa ở Cà Mau cao hơn ở Lai Châu” là P(A) = 1/5.
• Ta có: 25 m = 25 000 mm.
Quan sát biểu đồ ta thấy tất cả các năm 2016, 2017, 2018, 2019, 2020 đều có lượng mưa ở Cà Mau thấp hơn 25 000 mm.
Do đó biến cố B: “Tại năm được chọn, lượng mưa ở Cà Mau thấp hơn 25 m” là biến cố chắc chắn nên P(B) = 1.
Vậy P(A) = 1/5, P(B) = 1.
Bài 2. (2,0 điểm)
a) Ta có A(x) = –9x3 – 8x2 + 5x + 11 + (9x3 + 8x2 – 2x – 7)
A(x) = –9x3 – 8x2 + 5x + 11 + 9x3 + 8x2 – 2x – 7
A(x) = 3x + 4
b) Đa thức A(x) có bậc là 1 và hệ số cao nhất là 3.
c) M(x) = A(x).B(x)
M(x) = (3x + 4).(–x2 + x)
= 3x.(–x2 + x) + 4(–x2 + x)
= –3x3 + 3x2 – 4x2 + 4x
= –3x3 – x2 + 4x.
d) M(‒1) = –3.(‒1)3 – (‒1)2 + 4.(‒1) = 3 – 1 – 4 = ‒2 ≠ 0.
Vậy số ‒1 không là nghiệm của đa thức M(x).
Bài 3. (3,0 điểm)

a) Xét DABD và DEBD có:
BA = BE (giả thiết);
\(\widehat{ABD} = \widehat{BBD}\)(do BD là tia phân giác của góc ABC);
BD là cạnh chung.
Do đó ∆ABD = ∆EBD (c.g.c)
Suy ra AD = ED (hai cạnh tương ứng).
b) • Do BA = BE nên B nằm trên đường trung trực của AE.
Do AD = ED nên D nằm trên đường trung trực của AE.
Suy ra BD là đường trung trực của AE.
• Do ∆ABD = ∆EBD nên
\(\widehat{BED} = \widehat{BAD} =90°\) (hai góc tương ứng)
Xét DDCE vuông tại E có DC là cạnh huyền nên DC là cạnh lớn nhất.
Do đó DC > DE.
Mà AD = DE nên AD < DC.
c) • Tam giác BAE có BA = BE nên cân tại B.
Do đó
\(\widehat{BAE} = \widehat{BEA}\)
Mà
\(\widehat{ABE} +\widehat{BAE}+ \widehat{BEA} =180°\)
Suy ra
\(\widehat{BAE} = \widehat{BEA} =\frac{180^{\circ}-\widehat{ABE}}{2}(1)\)
Tương tự với tam giác BFC ta cũng có
\(\widehat{B F C}=\widehat{B C F}=\frac{180^{\circ}-\widehat{F B C}}{2}(2)\)
Từ (1) và (2) suy ra
\(\widehat{BAE} = \widehat{BFC}\)
Mà hai góc này ở vị trí đồng vị nên AE // FC.
Lại có AE ⊥ BD (do BD là đường trung trực của AE)
Do đó BD ⊥ FC.
• Xét DBFC có BD ⊥ FC, CA ⊥ BF, BD cắt CA tại D nên D là trực tâm của DBFC.
Suy ra FD ⊥ BC.
Mà DE ⊥ BC (do
\(\widehat{BED}\)=90°)
Do đó ba điểm F, D, E thẳng hàng.
Bài 4. (0,5 điểm)
Ta thực hiện phép chia đa thức như sau:

Ta được thương của phép chia trên là x2 + x + a, dư (a – 1)x + b – a.
Để đa thức x4 + ax2 + b chia hết cho đa thức x2 – x + 1 thì dư phải bằng 0 với mọi x.
Do đó (a – 1)x + b – a = 0 với mọi x.

Vậy a = b = 1.
5. Đề thi cuối kì 2 Toán 7 Cánh Diều - đề 2
ĐỀ KIỂM TRA HỌC KÌ II NĂM HỌC …..
Môn: Toán 7
Thời gian: 90 phút
(Đề này có 02 trang)
PHẦN I – TRẮC NGHIỆM KHÁCH QUAN (4,0 điểm)
Chọn đáp án đúng trong các câu sau:
Câu 1: Trong các biểu thức sau, biểu thức nào là biểu thức số:
A. 0
B. x
C. x + 2
D. y - x
Câu 2: Biểu thức đại số biểu thị tổng của hai số a và b là:
A. ab
B. a : b
C. a + b
D. a - b
Câu 3: Trong các biểu thức sau, biểu thức nào là đơn thức một biến:
A. 1 + x
B. -2x
C. 2x – x2
D. 3xyz
Câu 4: Kết quả của phép tính x2 + 5x2 – 8x2 là:
A. 2x
B. -2x
C. 2x2
D. -2x2
Câu 5: Sắp xếp đa thức x + 2x3 – 5x2 + 3 theo số mũ giảm dần của biến:
A. – 5x2 + 3 + 2x3 + x
B. 3 + x – 5x2 + 2x3
C. 3 + 2x3 – 5x2 + x
D. 2x3 – 5x2 + x + 3
Câu 6: Đa thức x + 2x3 – 5x2 + 3 có bậc là:
A. Bậc 1
B. Bậc 2
C. Bậc 3
D. Bậc 4.
Câu 7: Đa thức x + 2x3 – 5x2 + 3 có hệ số cao nhất là:
A. 1
B. 2
C. -5
D. 3
Câu 8: x = 1 là nghiệm của đa thức nào dưới đây:
A. 2x + 2
B. 3x – 3
C. 2x - 1
D. 3x - x
Câu 9: Thu gọn đa thức 2x – 5x2 + 7 + 3x2 + x – 1 ta được:
A. – 2x2 + 3x + 6
B. 2x2 + x + 6
C. – 8x2 + x + 8
D. 8x2 + 3x + 8
Câu 10: Nghiệm của đa thức 6x - 12 là:
A. 0
B. 3
C. 2
D. -2
Câu 11: Cho tam giác ABC cân tại A có góc B = 400. Số đo góc A là:
A. 400
B. 600
C. 800
D. 1000
..........................................
6. Đề tham khảo thi cuối kì 2 Toán 7 Cánh Diều
Mời các bạn tham khảo thêm các thông tin hữu ích khác trong nhóm Lớp 7 thuộc chuyên mục Học tập của HoaTieu.vn.
-
Chia sẻ:
Trần Thu Trang
- Ngày:
Đề thi học kì 2 Toán 7 Cánh Diều có đáp án 2025
674,5 KB 14/04/2023 3:56:00 CHNhiều người quan tâm
Tham khảo thêm
-
Đề thi cuối kì 2 Giáo dục công dân 7 Chân trời sáng tạo 2025
-
Soạn Thách thức thứ hai Từ ý tưởng đến sản phẩm
-
Viết bài văn thuyết minh về quy tắc luật lệ của trò chơi bịt mắt bắt dê
-
Đề thi học kì 2 môn Công nghệ 7 Kết nối tri thức có đáp án
-
Đề thi học kì 2 Giáo dục công dân 7 Kết nối tri thức
-
Nói và nghe Về đích Ngày hội với sách lớp 7
Theo Nghị định 147/2024/ND-CP, bạn cần xác thực tài khoản trước khi sử dụng tính năng này. Chúng tôi sẽ gửi mã xác thực qua SMS hoặc Zalo tới số điện thoại mà bạn nhập dưới đây:
Hướng dẫn & Hỗ trợ
Chọn một tùy chọn bên dưới để được giúp đỡ
-
Ngữ Văn
- Đề thi giữa kì 1
-
Đề thi cuối học kì 1
- Đề thi học kì 1 Văn 7 sách Kết nối tri thức
- Đề thi học kì 1 môn Văn 7 Chân trời sáng tạo
- Đề thi học kì 1 môn Văn 7 Cánh Diều
- Đề thi học kì 1 Văn 7 Kết nối tri thức (CV7991) - Số 2
- Đề thi học kì 1 Văn 7 Chân trời sáng tạo (CV7991) - Số 2
- Đề thi học kì 1 Văn 7 Cánh DIều (CV7991) - Số 2
- Đề thi học kì 1 Văn 7 Sách Mới (CV7991) - Số 2
- Đề thi giữa kì 2
- Đề thi cuối học kì 2
- Đề cương
- Toán
-
Khoa học tự nhiên
- Đề thi giữa kì 1
- Đề thi cuối kì 1
- Đề thi giữa kì 2
-
Đề thi cuối kì 2
- Đề thi học kì 2 lớp 7 môn KHTN Kết nối tri thức (Theo CV 7991)
- Đề thi học kì 2 lớp 7 môn KHTN Cánh diều (Theo CV 7991)
- Đề thi học kì 2 lớp 7 môn KHTN Chân trời sáng tạo (Theo CV 7991)
- Đề thi học kì 2 Khoa học tự nhiên 7 Kết nối tri thức
- Đề thi cuối kì 2 Hóa học 7 Kết nối tri thức
- Đề thi Khoa học tự nhiên lớp 7 học kì 2 Cánh Diều
- Đề kiểm tra học kì 2 Khoa học tự nhiên lớp 7 Chân trời sáng tạo
- Đề thi HSG
- Đề cương ôn tập
-
Lịch sử Địa lí
- Đề thi giữa kì 1
-
Đề thi cuối kì 1
- Đề thi cuối kì 1 Địa lí 7 Kết nối tri thức
- Đề thi học kì 1 Lịch sử 7 Cánh Diều
- Đề thi cuối kì 1 Địa lí 7 Cánh Diều
- Đề thi học kì 1 Lịch sử Địa lí 7 Cánh Diều
- Đề thi học kì 1 Lịch sử Địa lí 7 Kết nối tri thức
- Đề thi học kì 1 Lịch sử 7 Kết nối tri thức
- Đề thi học kì 1 Lịch sử Địa lí 7 Chân trời sáng tạo
- Đề thi Địa lý lớp 7 cuối học kì 1
- Đề cương ôn tập học kì 1 Địa lí 7 Kết nối tri thức
- Đề thi giữa kì 2
- Đề thi cuối kì 2
- Đề cương
- GDCD
- Công nghệ
- HĐTN
- GD Địa phương
- Tin học
- Tiếng Anh
- Giáo dục thể chất
Đề thi lớp 7 tải nhiều
-
Bộ đề thi học kì 1 môn Ngữ văn 7 Chân trời sáng tạo 2025
-
Bộ đề thi học kì 1 môn Ngữ văn 7 Kết nối tri thức
-
Bộ đề thi học kì 1 môn Ngữ văn 7 Cánh diều
-
Bộ đề thi học kì 1 Tin học 7 Kết nối tri thức (CV 7991)
-
Đề cương ôn thi cuối kì 1 Hoạt động trải nghiệm 7 Chân trời sáng tạo
-
Đề cương ôn thi cuối kì 1 Hoạt động trải nghiệm 7 Cánh diều
-
Đề cương ôn thi cuối kì 1 Hoạt động trải nghiệm 7 Kết nối tri thức
-
Đề cương ôn thi cuối kì 1 Công nghệ 7 Kết nối tri thức
-
Đề cương ôn thi cuối kì 1 Công nghệ 7 Chân trời sáng tạo
-
Đề cương ôn thi cuối kì 1 Tiếng Anh 7 i-Learn Smart World
Bài viết hay Đề thi lớp 7
-
Đề cương ôn thi cuối kì 1 Tin học 7 Chân trời sáng tạo
-
Đề thi học kì 2 lớp 7 môn KHTN Chân trời sáng tạo (Theo CV 7991)
-
Bộ đề thi học kì 1 Khoa học tự nhiên 7 Chân trời sáng tạo (CV 7991)
-
Đề thi giữa kì 2 Khoa học tự nhiên 7 Kết nối tri thức 2025
-
(Có ma trận, đáp án) Đề thi học kì 2 Tiếng Anh 7 Global Success 2025
-
Bản đặc tả đề thi cuối kì 1 môn Khoa học tự nhiên lớp 7 2023