Thông tư 02/2023/TT-BXD hướng dẫn một số nội dung về hợp đồng xây dựng
Mua tài khoản Hoatieu Pro để trải nghiệm website Hoatieu.vn KHÔNG quảng cáo & Tải nhanh File chỉ từ 99.000đ. Tìm hiểu thêm »
Hướng dẫn một số nội dung về hợp đồng xây dựng
- Thông tư 02/2023/TT-BXD
- THÔNG TƯ HƯỚNG DẪN MỘT SỐ NỘI DUNG VỀ HỢP ĐỒNG XÂY DỰNG
- Điều 1. Phạm vi điều chỉnh
- Điều 2. Đối tượng áp dụng
- Điều 3. Thanh toán, tạm thanh toán và hồ sơ tạm thanh toán hợp đồng xây dựng
- Điều 4. Điều chỉnh khối lượng công việc trong hợp đồng xây dựng
- Điều 5. Điều chỉnh tiến độ thực hiện hợp đồng xây dựng
- Điều 6. Điều chỉnh đơn giá và giá hợp đồng xây dựng
- Điều 7. Hướng dẫn sử dụng, vận dụng mẫu hợp đồng xây dựng
- Điều 8. Quy định chuyển tiếp
- Điều 9. Hiệu lực thi hành
Ngày 03/3/2023, Thứ trưởng Bộ xây dựng Bùi Hồng Minh đã ban hành ban hành Thông tư 02/2023/TT-BXD về việc hướng dẫn một số nội dung về hợp đồng xây dựng.
Theo đó, 03 mẫu hợp đồng xây dựng và hướng dẫn sử dụng mẫu hợp đồng xây dựng như sau:
Mẫu hợp đồng xây dựng công bố kèm theo Thông tư 02/2023/TT-BXD bao gồm:
(1) Mẫu hợp đồng tư vấn xây dựng tại Phụ lục II Thông tư 02/2023/TT-BXD;
(2) Mẫu hợp đồng thi công xây dựng tại Phụ lục III Thông tư 02/2023/TT-BXD;
(3) Mẫu hợp đồng EPC tại Phụ lục IV Thông tư 02/2023/TT-BXD;
Thông tư 02/2023/TT-BXD
|
BỘ XÂY DỰNG |
CỘNG HÒA XÃ HỘI CHỦ NGHĨA VIỆT NAM |
|
Số: 02/2023/TT-BXD |
Hà Nội, ngày 03 tháng 03 năm 2023 |
THÔNG TƯ
HƯỚNG DẪN MỘT SỐ NỘI DUNG VỀ HỢP ĐỒNG XÂY DỰNG
Căn cứ Luật Xây dựng ngày 18 tháng 6 năm 2014; Luật sửa đổi, bổ sung một số điều của Luật Xây dựng ngày 17 tháng 6 năm 2020;
Căn cứ Nghị định số 52/2022/NĐ-CP ngày 08 tháng 8 năm 2022 của Chính phủ quy định chức năng, nhiệm vụ, quyền hạn và cơ cấu tổ chức của Bộ Xây dựng;
Căn cứ Nghị định số 37/2015/NĐ-CP ngày 22 tháng 4 năm 2015 của Chính phủ quy định chi tiết về hợp đồng xây dựng;
Căn cứ Nghị định số 50/2021/NĐ-CP ngày 01 tháng 4 năm 2021 sửa đổi, bổ sung một số điều của Nghị định số 37/2015/NĐ-CP ngày 22 tháng 4 năm 2015 của Chính phủ quy định chi tiết về hợp đồng xây dựng;
Theo đề nghị của Cục trưởng Cục Kinh tế xây dựng;
Bộ trưởng Bộ Xây dựng ban hành Thông tư hướng dẫn một số nội dung về hợp đồng xây dựng.
Điều 1. Phạm vi điều chỉnh
Thông tư này hướng dẫn chi tiết một số nội dung về hợp đồng xây dựng; công bố và hướng dẫn sử dụng mẫu hợp đồng thi công xây dựng, mẫu hợp đồng tư vấn xây dựng, mẫu hợp đồng Thiết kế - Mua sắm vật tư, thiết bị - Thi công xây dựng công trình (sau đây viết tắt là EPC).
Điều 2. Đối tượng áp dụng
1. Thông tư này áp dụng đối với các tổ chức, cá nhân liên quan đến việc xác lập và quản lý thực hiện hợp đồng xây dựng thuộc các dự án đầu tư xây dựng sử dụng vốn đầu tư công, vốn nhà nước ngoài đầu tư công và hợp đồng xây dựng giữa doanh nghiệp dự án với các nhà thầu xây dựng thực hiện các gói thầu thuộc dự án đầu tư theo phương thức đối tác công tư.
Các tổ chức, cá nhân tham khảo các quy định tại Thông tư này để xác lập và quản lý hợp đồng xây dựng đối với các dự án sử dụng vốn khác.
2. Đối với hợp đồng xây dựng thuộc các dự án sử dụng nguồn vốn hỗ trợ phát triển chính thức, vốn vay ưu đãi phát sinh từ Điều ước quốc tế mà Việt Nam là thành viên có những quy định khác với các quy định tại Thông tư này thì thực hiện theo các quy định của Điều ước quốc tế đó.
Điều 3. Thanh toán, tạm thanh toán và hồ sơ tạm thanh toán hợp đồng xây dựng
1. Việc thanh toán hợp đồng xây dựng thực hiện theo quy định tại Điều 19 Nghị định số 37/2015/NĐ-CP.
2. Trường hợp sản xuất các cấu kiện, bán thành phẩm có giá trị lớn, vật liệu xây dựng phải dự trữ theo mùa được tạm ứng để thực hiện theo quy định tại khoản 7 Điều 18 Nghị định số 37/2015/NĐ-CP, hồ sơ tạm ứng phải liệt kê danh mục, đơn giá và tổng giá trị từng loại vật liệu, cấu kiện, bán thành phẩm. Khi thanh toán phải giảm trừ giá trị khối lượng hoàn thành được nghiệm thu tương ứng với phần giá trị đã được tạm ứng theo nội dung hợp đồng.
3. Việc tạm thanh toán theo quy định tại khoản 4 Điều 19 Nghị định số 37/2015/NĐ-CP căn cứ vào điều kiện cụ thể của từng lần tạm thanh toán để quyết định giá trị tạm thanh toán và biện pháp bảo đảm đối với các khoản tạm thanh toán, đảm bảo hiệu quả, tránh thất thoát vốn. Một số trường hợp cụ thể như sau:
a) Đối với hợp đồng theo đơn giá điều chỉnh, khi đến kỳ thanh toán chưa có dữ liệu điều chỉnh đơn giá, giá hợp đồng thì sử dụng đơn giá trong hợp đồng để thực hiện tạm thanh toán.
b) Đối với các sản phẩm, công việc, công tác đang trong quá trình thi công, chưa hoàn thành theo đúng yêu cầu của hợp đồng thì căn cứ mức độ hoàn thành đối với từng trường hợp cụ thể và chi tiết đơn giá sản phẩm, công việc, công tác đó trong hợp đồng để thực hiện tạm thanh toán.
4. Đối với những sản phẩm, công việc, công tác chưa được hoàn thành do các nguyên nhân, trong đó bao gồm hợp đồng bị chấm dứt hoặc một trong các bên tham gia hợp đồng không nghiệm thu sản phẩm, phải xác định rõ trách nhiệm và nghĩa vụ của từng chủ thể có liên quan trước khi thực hiện thanh toán.
5. Hồ sơ tạm thanh toán bao gồm: Biên bản nghiệm thu khối lượng hoặc Biên bản xác nhận khối lượng (nếu chưa đủ điều kiện để nghiệm thu), Bảng tính giá trị thanh toán phát sinh (tăng hoặc giảm); Bảng tính giá trị tạm thanh toán và Đề nghị tạm thanh toán.
Điều 4. Điều chỉnh khối lượng công việc trong hợp đồng xây dựng
1. Việc điều chỉnh khối lượng công việc trong hợp đồng xây dựng thực hiện theo quy định tại Điều 37 Nghị định số 37/2015/NĐ-CP được sửa đổi, bổ sung tại khoản 13 Điều 1 Nghị định số 50/2021/NĐ-CP.
2. Việc điều chỉnh khối lượng công việc giữa các thành viên trong liên danh nhà thầu không làm thay đổi giá hợp đồng xây dựng thì chủ đầu tư quyết định trên cơ sở thỏa thuận, thống nhất của các thành viên liên danh và năng lực, kinh nghiệm của từng thành viên, đảm bảo an toàn, chất lượng, hiệu quả, tiến độ của hợp đồng.
Điều 5. Điều chỉnh tiến độ thực hiện hợp đồng xây dựng
1. Việc điều chỉnh tiến độ thực hiện hợp đồng xây dựng thực hiện theo quy định tại Điều 39 Nghị định số 37/2015/NĐ-CP.
2. Khi điều chỉnh tiến độ hợp đồng xây dựng quy định tại điểm a khoản 2 Điều 39 Nghị định số 37/2015/NĐ-CP, Bên giao thầu và Bên nhận thầu có trách nhiệm đánh giá tác động của các sự kiện bất khả kháng đến tiến độ thực hiện hợp đồng xây dựng để xác định, quyết định điều chỉnh cho phù hợp.
3. Trường hợp tạm dừng thực hiện công việc theo yêu cầu của Cơ quan nhà nước có thẩm quyền theo quy định tại điểm d khoản 2 Điều 39 Nghị định số 37/2015/NĐ-CP cần thực hiện các công việc sau:
a) Bên giao thầu, Bên nhận thầu căn cứ yêu cầu tạm dừng của Cơ quan nhà nước có thẩm quyền, đánh giá tác động đến tiến độ thực hiện hợp đồng xây dựng làm cơ sở xác định, thỏa thuận điều chỉnh tiến độ thực hiện hợp đồng.
b) Trường hợp phát sinh chi phí do kéo dài thời gian thực hiện hợp đồng thì Bên giao thầu, Bên nhận thầu căn cứ nội dung hợp đồng, hướng dẫn của Cơ quan nhà nước có thẩm quyền về sự kiện dẫn đến tạm dừng thực hiện hợp đồng xây dựng làm cơ sở xác định, thỏa thuận về các khoản mục chi phí phát sinh hợp lý.
Điều 6. Điều chỉnh đơn giá và giá hợp đồng xây dựng
1. Việc điều chỉnh đơn giá hợp đồng xây dựng thực hiện theo quy định tại Điều 38 Nghị định số 37/2015/NĐ-CP được sửa đổi, bổ sung tại khoản 14 Điều 1 Nghị định số 50/2021/NĐ-CP.
2. Khi điều chỉnh giá hợp đồng xây dựng dẫn đến phải điều chỉnh, bổ sung hợp đồng thì phải ký kết phụ lục hợp đồng làm cơ sở điều chỉnh giá hợp đồng. Chủ đầu tư có trách nhiệm phê duyệt hoặc trình phê duyệt dự toán điều chỉnh, phát sinh theo đúng các quy định của pháp luật về quản lý chi phí đầu tư xây dựng công trình và hợp đồng xây dựng làm cơ sở ký kết phụ lục bổ sung hợp đồng.
3. Phương pháp điều chỉnh giá hợp đồng xây dựng
a) Phương pháp điều chỉnh giá hợp đồng xây dựng thực hiện theo hướng dẫn tại Phụ lục I kèm theo Thông tư này. Việc áp dụng các phương pháp điều chỉnh giá phải phù hợp với tính chất công việc, loại giá hợp đồng, đồng tiền thanh toán và phải được thỏa thuận trong hợp đồng.
b) Đối với hợp đồng tư vấn xây dựng thực hiện thanh toán theo thời gian (theo tháng, tuần, ngày, giờ) thì việc điều chỉnh mức tiền lương cho chuyên gia thực hiện theo công thức điều chỉnh cho một yếu tố chi phí nhân công tại mục I Phụ lục I kèm theo Thông tư này.
Điều 7. Hướng dẫn sử dụng, vận dụng mẫu hợp đồng xây dựng
1. Mẫu hợp đồng xây dựng công bố kèm theo Thông tư này để các tổ chức, cá nhân tham khảo, vận dụng trong việc xác lập, quản lý thực hiện hợp đồng cho các gói thầu xây dựng, đảm bảo nội dung hợp đồng xây dựng theo quy định tại khoản 1 Điều 141 Luật Xây dựng số 50/2014/QH13.
2. Mẫu hợp đồng xây dựng công bố kèm theo Thông tư này là mẫu hợp đồng giữa chủ đầu tư và nhà thầu. Trường hợp bên giao thầu là tổng thầu, nhà thầu chính, các bên nghiên cứu vận dụng các nội dung cần thiết của mẫu hợp đồng này để xác lập, quản lý thực hiện hợp đồng.
3. Mẫu hợp đồng xây dựng công bố kèm theo Thông tư này bao gồm:
a) Mẫu hợp đồng tư vấn xây dựng tại Phụ lục II kèm theo Thông tư này sử dụng cho loại hợp đồng tư vấn thực hiện công việc lập báo cáo nghiên cứu khả thi, khảo sát xây dựng, thiết kế xây dựng công trình, giám sát thi công xây dựng công trình.
b) Mẫu hợp đồng thi công xây dựng tại Phụ lục III kèm theo Thông tư này.
c) Mẫu hợp đồng EPC tại Phụ lục IV Thông tư này sử dụng cho loại hợp đồng trọn gói. Trường hợp áp dụng các hình thức giá hợp đồng theo đơn giá cố định, đơn giá điều chỉnh hoặc hợp đồng theo giá kết hợp, thì các bên căn cứ vào các quy định của pháp luật và Thông tư này để sửa đổi, bổ sung điều khoản của mẫu hợp đồng EPC để xác lập hợp đồng.
4. Đối với hợp đồng đơn giản quy mô nhỏ, các loại hợp đồng tư vấn đầu tư xây dựng và hợp đồng hỗn hợp khác, các bên tham khảo, vận dụng các mẫu hợp đồng xây dựng công bố kèm theo Thông tư này để điều chỉnh, sửa đổi, bổ sung các điều khoản của mẫu hợp đồng để xác lập hợp đồng.
5. Khi sử dụng mẫu hợp đồng xây dựng công bố kèm theo Thông tư này để thỏa thuận, ký kết hợp đồng xây dựng thì các bên căn cứ vào yêu cầu, điều kiện cụ thể của gói thầu, dự án, các quy định của Nghị định số 37/2015/NĐ-CP được sửa đổi, bổ sung tại Nghị định số 50/2021/NĐ-CP, các quy định khác của pháp luật và nội dung hướng dẫn tại Thông tư này để thực hiện. Trong nội dung hợp đồng phải thỏa thuận cụ thể các nội dung sau:
a) Quy định cụ thể về thời hạn thanh toán, thời gian bảo đảm thực hiện hợp đồng, thời hạn trả lời văn bản, thời gian chấm dứt hợp đồng và các trường hợp tương tự.
b) Trường hợp nhà thầu là nhà thầu liên danh, phải thỏa thuận việc bảo đảm thực hiện hợp đồng, bảo lãnh tiền tạm ứng theo quy định pháp luật.
c) Quy định cụ thể loại đồng tiền và hình thức thanh toán trong hợp đồng không trái với yêu cầu trong hồ sơ mời thầu và quy định của pháp luật về ngoại hối.
d) Trường hợp hợp đồng theo hình thức đơn giá điều chỉnh thì phải thỏa thuận phương pháp điều chỉnh giá hợp đồng, nguồn dữ liệu về giá và cơ sở giá để điều chỉnh hợp đồng không trái với hồ sơ mời thầu và pháp luật hợp đồng xây dựng.
đ) Tùy theo tính chất và điều kiện của gói thầu để điều chỉnh, bổ sung các nội dung hợp đồng cho phù hợp.
Điều 8. Quy định chuyển tiếp
1. Các hợp đồng xây dựng đã ký và đang thực hiện trước ngày Thông tư này có hiệu lực thì thực hiện theo quy định về hợp đồng xây dựng trước ngày Thông tư này có hiệu lực thi hành.
2. Các hợp đồng xây dựng đang trong quá trình đàm phán, chưa được ký kết nếu có nội dung nào chưa phù hợp với quy định tại Thông tư này thì báo cáo người có thẩm quyền quyết định đầu tư xem xét, quyết định trên nguyên tắc bảo đảm chất lượng, tiến độ, hiệu quả của dự án đầu tư xây dựng và không làm phương hại đến quyền và lợi ích hợp pháp của các bên.
3. Nội dung hợp đồng xây dựng trong các hồ sơ mời thầu, hồ sơ yêu cầu đã phê duyệt nhưng chưa phát hành thì phải điều chỉnh nội dung cho phù hợp với quy định tại Thông tư này. Trường hợp đã phát hành hồ sơ mời thầu, hồ sơ yêu cầu, nếu điều chỉnh nội dung liên quan đến hợp đồng, thì phải thông báo cho tất cả các nhà thầu đã mua hồ sơ mời thầu, hồ sơ yêu cầu biết để điều chỉnh các nội dung hồ sơ dự thầu, hồ sơ đề xuất. Trường hợp đã đóng thầu thì thực hiện theo quy định tại khoản 2 Điều này.
Điều 9. Hiệu lực thi hành
1. Thông tư này có hiệu lực kể từ ngày 20/4/2023.
2. Thông tư này thay thế Thông tư số 07/2016/TT-BXD ngày 10/3/2016 của Bộ trưởng Bộ Xây dựng hướng dẫn điều chỉnh giá hợp đồng xây dựng, Thông tư số 08/2016/TT-BXD ngày 10/3/2016 của Bộ trưởng Bộ Xây dựng hướng dẫn một số nội dung về hợp đồng tư vấn xây dựng, Thông tư số 09/2016/TT-BXD ngày 10/3/2016 của Bộ trưởng Bộ Xây dựng hướng dẫn hợp đồng thi công xây dựng công trình và Thông tư số 30/2016/TT-BXD ngày 30/12/2016 của Bộ trưởng Bộ Xây dựng hướng dẫn hợp đồng thiết kế - cung cấp thiết bị công nghệ và thi công xây dựng công trình./.
|
Nơi nhận: |
KT. BỘ TRƯỞNG
|
PHỤ LỤC I
PHƯƠNG PHÁP ĐIỀU CHỈNH GIÁ HỢP ĐỒNG
(Ban hành kèm theo Thông tư số 02/2023/TT-BXD ngày 03/3/2023 của Bộ trưởng Bộ Xây dựng hướng dẫn một số nội dung về hợp đồng xây dựng)
I/ PHƯƠNG PHÁP DÙNG HỆ SỐ ĐIỀU CHỈNH GIÁ
Trường hợp các bên thỏa thuận điều chỉnh giá hợp đồng theo phương pháp dùng hệ số điều chỉnh giá, thì việc điều chỉnh giá hợp đồng được thực hiện theo công thức sau:
GTT = GHĐ x Pn (1)
Trong đó:
GTT: Là giá thanh toán tương ứng với khối lượng công việc hoàn thành được nghiệm thu trong khoảng thời gian “n” của cả hợp đồng, hoặc của hạng mục công trình, hoặc của loại công tác, hoặc của các yếu tố chi phí.
GHĐ: Là giá trong hợp đồng đã ký tương ứng với khối lượng công việc hoàn thành được nghiệm thu trong khoảng thời gian “n” của cả hợp đồng, hoặc của hạng mục công trình, hoặc của loại công tác, hoặc của yếu tố chi phí.
Pn: Là hệ số điều chỉnh giá (tăng hoặc giảm) áp dụng cho khối lượng công việc hoàn thành được nghiệm thu trong khoảng thời gian “n” của cả hợp đồng, hoặc của hạng mục công trình, hoặc của loại công tác, hoặc của yếu tố chi phí.
1. Phương pháp xác định “Pn” theo các yếu tố chi phí vật liệu, nhân công, máy thi công
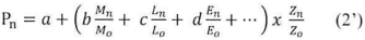
1.1. Trường hợp điều chỉnh cho tất cả các yếu tố chi phí (điều chỉnh cả vật liệu, nhân công, máy thi công), hệ số “Pn” được xác định như sau:

Trong đó:
a: Là hệ số cố định, được xác định ở bảng số liệu điều chỉnh tương ứng trong hợp đồng, thể hiện phần không điều chỉnh giá (bao gồm phần giá trị tương ứng với mức tạm ứng hợp đồng vượt mức tạm ứng tối thiểu, tạm ứng trước để sản xuất các cấu kiện, bán thành phẩm có giá trị lớn, vật liệu xây dựng phải dự trữ theo mùa và giá trị các khoản chi phí không được điều chỉnh giá trong hợp đồng) của các khoản thanh toán theo hợp đồng (hoặc theo hạng mục, hoặc công tác, hoặc yếu tố chi phí trong hợp đồng).
b, c, d,...: Là các hệ số biểu thị tỷ trọng chi phí vật liệu, nhân công, máy thi công của phần công việc trong hợp đồng được nêu trong bảng số liệu điều chỉnh tương ứng.
Các hệ số a, b, c, d,... do các bên tính toán, xác định và thỏa thuận trong hợp đồng. Tổng các hệ số: a + b + c + d +... = 1
Mn, Ln, En,...: Là các chỉ số giá hoặc giá hiện hành tại thời điểm điều chỉnh tương ứng với mỗi loại chi phí vật liệu, chi phí nhân công, chi phí máy thi công cho thời gian “n”, được xác định trong khoảng thời gian 28 ngày trước ngày hết hạn nộp hồ sơ thanh toán quy định trong hợp đồng.
Mo, Lo, Eo,...: Là các chỉ số giá hoặc giá gốc tương ứng với mỗi loại chi phí vật liệu, chi phí nhân công, chi phí máy thi công được xác định trong khoảng thời gian 28 ngày trước ngày đóng thầu và phải được các bên thỏa thuận trong hợp đồng.
Trường hợp tiền tệ của chỉ số giá hoặc giá điều chỉnh được nêu trong bảng điều chỉnh khác với tiền tệ thanh toán trong hợp đồng, thì chỉ số giá hoặc giá điều chỉnh phải chuyển đổi sang tiền tệ thanh toán tương ứng nêu trong hợp đồng, khi đó hệ số “Pn” được xác định như sau:
![]()
- Zn: Là tỷ giá bán ra của đồng ngoại tệ do Sở Giao dịch Ngân hàng Nhà nước Việt Nam công bố tại thời điểm điều chỉnh cho thời gian “n”, được xác định trong khoảng thời gian 28 ngày trước ngày hết hạn nộp hồ sơ thanh toán quy định trong hợp đồng.
- Zo: Là tỷ giá bán ra của đồng ngoại tệ do Sở Giao dịch Ngân hàng Nhà nước Việt Nam công bố tại thời điểm gốc, được xác định trong khoảng thời gian 28 ngày trước ngày đóng thầu và phải được các bên thỏa thuận trong hợp đồng.
Trường hợp bên nhận thầu không hoàn thành công việc trong khoảng thời gian quy định trong hợp đồng do nguyên nhân chủ quan của nhà thầu thì việc điều chỉnh giá sẽ được áp dụng trong khoảng thời gian 28 ngày trước ngày hết hạn nộp hồ sơ thanh toán theo thời gian Quy định trong hợp đồng, hoặc thời điểm thực hiện công việc đó do bên giao thầu quyết định theo nguyên tắc có lợi cho bên giao thầu.
1.2. Trường hợp điều chỉnh cho 02 yếu tố chi phí, hệ số “Pn” được xác định như sau:
1.2.1. Điều chỉnh chi phí vật liệu và nhân công:
![]()
Các đại lượng a, b, c, Ln, Lo, Mn, Mo xác định như trong công thức (2)
Tổng các hệ số: a + b + c = 1
1.2.2. Điều chỉnh chi phí vật liệu và máy thi công:
![]()
Các đại lượng a, b, d, En, Eo, Mn, Mo xác định như trong công thức (2)
Tổng các hệ số: a + b + d = 1
1.2.3. Điều chỉnh chi phí nhân công và máy thi công:
![]()
Các đại lượng a, c, d, Ln, Lo, En, Eo xác định như trong công thức (2)
Tổng các hệ số: a + c + d = 1
1.3. Trường hợp điều chỉnh cho 01 yếu tố chi phí:
Khi điều chỉnh giá cho 01 yếu tố chi phí trong hợp đồng (như chỉ điều chỉnh chi phí nhân công hoặc chi phí máy thi công hoặc chi phí vật liệu hoặc cho một số loại vật liệu chủ yếu...), hệ số “Pn” được xác định như sau:
1.3.1. Điều chỉnh chi phí vật liệu:
![]()
Các đại lượng a, b, Mn, Mo xác định như trong công thức (2)
Tổng các hệ số: a + b = 1
1.3.2. Điều chỉnh chi phí nhân công:
![]()
Các đại lượng a, c, Ln, Lo xác định như trong công thức (2)
Tổng các hệ số: a + c = 1
1.3.3. Điều chỉnh chi phí máy thi công:
![]()
Các đại lượng a, d, En, Eo xác định như trong công thức (2)
Tổng các hệ số: a + d = 1
1.3.4. Phương pháp xác định “Pn” theo một số loại vật liệu chủ yếu:
![]()
Đại lượng “a” xác định như trong công thức (2)
b1, b2, b3,... là hệ số biểu thị tỷ lệ (tỷ trọng) chi phí của loại vật liệu chủ yếu được điều chỉnh giá trong hợp đồng.
Mn1, Mn2, Mn3, Mo1, Mo2, Mo3,... là các chỉ số giá hoặc giá của các loại vật liệu được điều chỉnh giá tại thời điểm “n” và thời điểm gốc.
Tổng các hệ số: a + b1 + b2 + b3 +... = 1
2. Khi điều chỉnh giá hợp đồng theo công thức (1) thì cơ sở dữ liệu đầu vào để tính toán điều chỉnh giá phải phù hợp với nội dung, tính chất công việc trong hợp đồng. Trong hợp đồng phải quy định cụ thể nguồn thông tin về giá hoặc nguồn chỉ số giá xây dựng của các cơ quan nhà nước có thẩm quyền công bố theo quy định để điều chỉnh giá hợp đồng. Trường hợp nguồn thông tin về giá hoặc chỉ số giá xây dựng của cơ quan nhà nước có thẩm quyền không có hoặc có nhưng không phù hợp với nội dung, tính chất công việc và các điều kiện cụ thể của hợp đồng thì các bên phải thỏa thuận, thống nhất tại hợp đồng về nguồn thông tin về giá và chỉ số giá xây dựng sẽ được áp dụng.
3. Đối với công trình chưa có trong danh mục chỉ số giá xây dựng do cơ quan nhà nước có thẩm quyền công bố hoặc công trình xây dựng theo tuyến đi qua địa bàn nhiều tỉnh, thành phố trực thuộc trung ương thì Chủ đầu tư xác định hoặc thuê các tổ chức tư vấn có đủ điều kiện năng lực xác định chỉ số giá xây dựng cho công trình theo phương pháp xác định chỉ số giá xây dựng của Bộ trưởng Bộ Xây dựng hướng dẫn, và gửi Bộ Xây dựng (đối với công trình xây dựng theo tuyến trên địa bàn 02 đơn vị hành chính cấp tỉnh trở lên) hoặc Ủy ban nhân dân cấp tỉnh (đối với công trình xây dựng trên địa bàn tỉnh) cho ý kiến về sự phù hợp của phương pháp xác định, tính đúng đắn, hợp lý của việc xác định chỉ số giá xây dựng.
4. Khi xác định chỉ số giá xây dựng riêng cho gói thầu thì cơ cấu các khoản mục chi phí, tỷ trọng các yếu tố chi phí để xác định chỉ số giá xây dựng là cơ cấu chi phí trong dự toán xây dựng công trình hoặc dự toán gói thầu xây dựng của công trình, hạng mục công trình được duyệt hoặc bảng giá hợp đồng đã ký kết.
II/ PHƯƠNG PHÁP BÙ TRỪ TRỰC TIẾP
1. Trường hợp các bên thỏa thuận điều chỉnh giá hợp đồng theo phương pháp bù trừ trực tiếp, thì việc điều chỉnh giá hợp đồng được thực hiện theo công thức sau:
GTT = GHĐ + GCL (10)
Trong đó:
- GTT: Là giá thanh toán tương ứng cho các khối lượng công việc hoàn thành được nghiệm thu trong khoảng thời gian “n” của cả hợp đồng, hoặc của hạng mục công trình, hoặc của loại công tác, hoặc của các yếu tố chi phí.
- GHĐ: Là giá trong hợp đồng đã ký tương ứng với các khối lượng công việc hoàn thành được nghiệm thu trong khoảng thời gian “n” của cả hợp đồng, hoặc của hạng mục công trình, hoặc của loại công tác, hoặc của yếu tố chi phí.
- GCL: Là giá trị chênh lệch giữa giá vật liệu, nhân công và máy thi công trong khoảng thời gian “n” với giá vật liệu, nhân công và máy thi công tại thời điểm gốc cho toàn bộ khối lượng công việc hoàn thành được nghiệm thu của cả hợp đồng, hoặc của hạng mục công trình, hoặc của khối lượng công việc theo giai đoạn thanh toán, hoặc của yếu tố chi phí.
2. Phương pháp xác định “GCL” theo các yếu tố chi phí vật liệu, nhân công, máy thi công
2.1. Trường hợp điều chỉnh cho tất cả các yếu tố chi phí (điều chỉnh cả vật liệu, nhân công, máy thi công), giá trị “GCL” được xác định như sau:
![]()
Trong đó:
Qi là khối lượng của loại vật liệu, nhân công, máy thi công thứ i trong khối lượng công việc hoàn thành được nghiệm thu được phép điều chỉnh.
- Mn, Ln, En,...: Là giá tại thời điểm điều chỉnh tương ứng với mỗi loại chi phí vật liệu, chi phí nhân công, chi phí máy thi công cho thời gian “n”, được xác định trong khoảng thời gian 28 ngày trước ngày hết hạn nộp hồ sơ thanh toán quy định trong hợp đồng. Giá tại thời điểm điều chỉnh được chọn là giá theo công bố của cơ quan nhà nước có thẩm quyền.
Trường hợp nguồn thông tin về giá của cơ quan nhà nước có thẩm quyền không có hoặc có nhưng không phù hợp với nội dung, tính chất công việc và các điều kiện cụ thể của hợp đồng thì các bên phải thỏa thuận, thống nhất tại hợp đồng về nguồn thông tin về giá sẽ được áp dụng.
- Mo, Lo, Eo,...: Là giá gốc tương ứng với mỗi loại chi phí vật liệu, chi phí nhân công, chi phí máy thi công được xác định trong khoảng thời gian 28 ngày trước ngày đóng thầu và phải được các bên thỏa thuận cụ thể trong hợp đồng. Giá tại thời điểm gốc được chọn là giá cao nhất trong các giá: giá trong hợp đồng, giá theo công bố của cơ quan nhà nước có thẩm quyền hoặc giá trong dự toán gói thầu đã được cấp có thẩm quyền phê duyệt (đối với giá các loại vật liệu, nhân công, máy thi công không có trong công bố giá).
2.2. Trường hợp điều chỉnh cho 02 hoặc 01 yếu tố chi phí, giá trị “GCL” được xác định trên cơ sở vận dụng theo công thức (11) và các công thức tại điểm 1.2 và 1.3 mục I.
............................
Văn bản pháp luật này thuộc lĩnh vực Đầu tư, xây dựng được HoaTieu.vn cập nhật và đăng tải, mời các bạn sử dụng file tải về để lưu làm tài liệu sử dụng.
Thông tư 02/2023/TT-BXD hướng dẫn một số nội dung về hợp đồng xây dựng
1,1 MB 06/03/2023 8:41:00 SA-
Tải Thông tư 02/2023/TT-BXD pdf
1,5 MB
| Cơ quan ban hành: | Bộ Xây dựng | Người ký: | Bùi Hồng Minh |
| Số hiệu: | 02/2023/TT-BXD | Lĩnh vực: | Xây dựng |
| Ngày ban hành: | 03/03/2023 | Ngày hiệu lực: | 24/04/2023 |
| Loại văn bản: | Thông tư | Ngày hết hiệu lực: | Đang cập nhật |
| Tình trạng hiệu lực: | Còn hiệu lực |
-
Chia sẻ:
Trần Thu Trang
- Ngày:
Theo Nghị định 147/2024/ND-CP, bạn cần xác thực tài khoản trước khi sử dụng tính năng này. Chúng tôi sẽ gửi mã xác thực qua SMS hoặc Zalo tới số điện thoại mà bạn nhập dưới đây:
Hướng dẫn & Hỗ trợ
Chọn một tùy chọn bên dưới để được giúp đỡ
Bài liên quan
-
Nghị định 07/2023/NĐ-CP sửa đổi một số điều của Nghị định 98/2021/NĐ-CP quản lý trang thiết bị y tế
-
Các nguyên tắc cơ bản của luật dân sự
-
Thông tư 05/2023/TT-BGDĐT Quy chế tổ chức và hoạt động của trường THPT chuyên
-
Quy trình, trình tự xử lý Đảng viên sinh con thứ 3
-
Thông tư 01/2023/TT-NHNN sửa đổi, bổ sung Thông tư 04/2015/TT-NHNN quy định quỹ tín dụng nhân dân
-
Tăng lương cơ sở 2025
-
Thông tư 01/2023/TT-BXD quy định chế độ báo cáo định kỳ thuộc phạm vi quản lý Nhà nước của BXD
-
Làm Căn cước công dân bao lâu được nhận?
Pháp luật tải nhiều
-
Kết luận 226-KL/TW chấn chỉnh lề lối làm việc, nâng cao hiệu quả của hệ thống chính trị
-
Kết luận 205-KL/TW của Bộ Chính trị về một số giải pháp đột phá trong tuyển dụng, bố trí, sử dụng, đãi ngộ cán bộ
-
Các loại bằng tốt nghiệp đại học 2025
-
Nghị định 154/2025/NĐ-CP quy định tinh giản biên chế
-
Xem điểm thi đánh giá năng lực 2025
-
Tra cứu giá trị sử dụng của thẻ BHYT 2025
-
Biển Số Xe 41, 50, 51, 52, 53, 54, 55, 56, 57, 58, 59 Ở Đâu?
-
Hướng dẫn khai báo dữ liệu về trẻ làm quen Tiếng Anh cho cơ sở GDMN tại TPHCM
-
Công văn 5628/SGDĐT-GDMN về triển khai cập nhật dữ liệu chương trình làm quen tiếng Anh trong cơ sở GDMN tại TPHCM
-
Quyết định 3344/QĐ-BGDĐT năm 2025 về thể lệ Cuộc thi Học sinh sinh viên với ý tưởng khởi nghiệp lần thứ VIII
Bài viết hay Xây dựng - Đô thị - Đất đai - Nhà ở
-
Quyết định 420/2013/QĐ-SXD
-
Thông tư 63/2015/TT-BTNMT về quy định kiểm tra, thẩm định và nghiệm thu chất lượng công trình
-
Quyết định 702/QĐ-TTg 2019
-
Thông tư 15/2021/TT-BXD hướng dẫn về công trình hạ tầng kỹ thuật thu gom, thoát nước thải đô thị, khu dân cư tập trung
-
Thông tư 09/2021/TT-BKHĐT hướng dẫn lựa chọn nhà đầu tư thực hiện dự án theo phương thức đối tác công tư và đầu tư có sử dụng đất
-
Văn bản hợp nhất Luật Xây dựng 2020 mới nhất
-
Thuế - Lệ phí - Kinh phí
-
Giáo dục - Đào tạo
-
Y tế - Sức khỏe
-
Thể thao
-
Bảo hiểm
-
Chính sách
-
Hành chính
-
Cơ cấu tổ chức
-
Quyền Dân sự
-
Tố tụng - Kiện cáo
-
Dịch vụ Pháp lý
-
An ninh trật tự
-
Trách nhiệm hình sự
-
Văn bản Nông - Lâm - Ngư nghiệp
-
Tài nguyên - Môi trường
-
Công nghệ - Thông tin
-
Khoa học công nghệ
-
Văn bản Giao thông vận tải
-
Hàng hải
-
Văn hóa Xã hội
-
Doanh nghiệp
-
Xuất - Nhập khẩu
-
Tài chính - Ngân hàng
-
Lao động - Tiền lương
-
Đầu tư - Chứng khoán - Thương mại
-
Xây dựng - Đô thị - Đất đai - Nhà ở
-
Lĩnh vực khác