Thông tư 15/2022/TT-BCT phương pháp xây dựng khung giá phát điện nhà máy điện mặt trời, điện gió chuyển tiếp
Mua tài khoản Hoatieu Pro để trải nghiệm website Hoatieu.vn KHÔNG quảng cáo & Tải nhanh File chỉ từ 99.000đ. Tìm hiểu thêm »
Xây dựng khung giá phát điện nhà máy điện mặt trời, điện gió
Bộ Công Thương ban hành Thông tư số 15/2022/TT-BCT về việc quy định phương pháp xây dựng khung giá phát điện nhà máy điện mặt trời, điện gió chuyển tiếp.
Theo đó, Giá trị tối đa áp dụng với nhà máy điện mặt trời là giá phát điện của Nhà máy điện mặt trời chuẩn được xác định theo phương pháp quy định tại Điều 4, Điều 5 và Điều 6 Thông tư 15/2022.
Thông tư số 15/2022/TT-BCT
|
BỘ CÔNG THƯƠNG __________ Số: 15/2022/TT-BCT |
CỘNG HÒA XÃ HỘI CHỦ NGHĨA VIỆT NAM Độc lập - Tự do - Hạnh phúc ________________________ Hà Nội, ngày 03 tháng 10 năm 2022 |
THÔNG TƯ
Quy định phương pháp xây dựng khung giá phát điện nhà máy điện mặt trời, điện gió chuyển tiếp
_____________
Căn cứ Luật Điện lực ngày 03 tháng 12 năm 2004;
Căn cứ Luật sửa đổi, bổ sung một số điều của Luật Điện lực ngày 20 tháng 11 năm 2012;
Căn cứ Luật sửa đổi, bổ sung một số điều của Luật Đầu tư công, Luật Đầu tư theo phương thức đối tác công tư, Luật Đầu tư, Luật Nhà ở, Luật Đấu thầu, Luật Điện lực, Luật Doanh nghiệp, Luật Thuế tiêu thụ đặc biệt và Luật Thi hành án dân sự ngày 11 tháng 01 năm 2022;
Căn cứ Nghị định số 98/2017/NĐ-CP ngày 18 tháng 8 năm 2017 của Chính phủ quy định chức năng, nhiệm vụ, quyền hạn và cơ cấu tổ chức của Bộ Công Thương;
Căn cứ Nghị định số 137/2013/NĐ-CP ngày 21 tháng 10 năm 2013 của Chính phủ quy định chi tiết thi hành một số điều của Luật Điện lực và Luật sửa đổi, bổ sung một số điều của Luật Điện lực;
Căn cứ Quyết định số 13/2020/QĐ-TTg ngày 06 tháng 4 năm 2020 của Thủ tướng Chính phủ quy định cơ chế khuyến khích, phát triển điện mặt trời tại Việt Nam;
Căn cứ Quyết định số 37/2011/QĐ-TTg ngày 26 tháng 6 năm 2011 của Thủ tướng Chính phủ quy định cơ chế khuyến khích phát triển điện gió tại Việt Nam;
Căn cứ Quyết định số 39/2018/QĐ-TTg ngày 10 tháng 9 năm 2018 của Thủ tướng Chính phủ sửa đổi, bổ sung một số điều của Quyết định số 37/2011/QĐ-TTg;
Theo đề nghị của Cục trưởng Cục Điều tiết điện lực;
Bộ trưởng Bộ Công Thương ban hành Thông tư quy định phương pháp xây dựng khung giá phát điện nhà máy điện mặt trời, điện gió chuyển tiếp.
Chương I. QUY ĐỊNH CHUNG
Điều 1. Phạm vi điều chỉnh và đối tượng áp dụng
1. Thông tư này quy định về phương pháp, trình tự xây dựng và ban hành khung giá phát điện cho các Nhà máy điện mặt trời mặt đất, Nhà máy điện mặt trời nổi, Nhà máy điện gió trong đất liền, Nhà máy điện gió trên biển.
2. Thông tư này áp dụng đối với các đối tượng sau đây:
a) Tập đoàn Điện lực Việt Nam;
b) Các tổ chức, cá nhân tham gia triển khai đầu tư nhà máy hoặc phần nhà máy điện mặt trời đã ký kết hợp đồng mua bán điện với Tập đoàn Điện lực Việt Nam trước ngày 01 tháng 01 năm 2021 và các nhà máy hoặc phần nhà máy điện gió đã ký kết hợp đồng mua bán điện với Tập đoàn Điện lực Việt Nam trước ngày 01 tháng 11 năm 2021 nhưng không đáp ứng điều kiện áp dụng giá mua điện quy định tại khoản 1, khoản 3 Điều 5 Quyết định số 13/2020/QĐ-TTg ngày 06 tháng 4 năm 2020 của Thủ tướng Chính phủ quy định cơ chế khuyến khích, phát triển điện mặt trời tại Việt Nam và khoản 7 Điều 1 Quyết định số 39/2018/QĐ-TTg ngày 10 tháng 9 năm 2018 của Thủ tướng Chính phủ sửa đổi, bổ sung một số điều của Quyết định số 37/2011/QĐ-TTg ngày 26 tháng 6 năm 2011 của Thủ tướng Chính phủ quy định cơ chế khuyến khích phát triển điện gió tại Việt Nam.
Các nhà máy hoặc phần nhà máy này phải tuyệt đối tuân thủ theo đúng các quy định pháp luật về đầu tư, xây dựng, bám sát khả năng hấp thụ của hệ thống điện quốc gia và khả năng giải tỏa công suất của lưới điện; tuân thủ theo đúng cơ chế giá điện tại thời điểm đưa vào vận hành, tự chịu trách nhiệm về hiệu quả dự án theo cơ chế được duyệt. Trong trường hợp các cơ quan thanh tra, kiểm tra phát hiện vi phạm thì sẽ bị xử lý nghiêm theo quy định của pháp luật. Trường hợp vi phạm nghiêm trọng cơ quan có thẩm quyền có thể rút giấy phép đầu tư, đình chỉ dự án theo các quy định của pháp luật về đầu tư xây dựng.
Điều 2. Giải thích từ ngữ
Trong Thông tư này các từ ngữ dưới đây được hiểu như sau:
1. Nhà máy điện mặt trời chuẩn là nhà máy điện được lựa chọn để tính toán khung giá phát điện của các Nhà máy điện mặt trời mặt đất, Nhà máy điện mặt trời nổi có quy mô công suất lắp đặt là 50 MWp.
2. Nhà máy điện mặt trời nổi là nhà máy điện mặt trời nối lưới có các tấm quang điện được lắp đặt trên cấu trúc nổi trên mặt nước.
3. Nhà máy điện mặt trời mặt đất là các nhà máy điện mặt trời nối lưới trừ các nhà máy điện quy định tại khoản 2 Điều này.
4. Nhà máy điện gió chuẩn là nhà máy điện được lựa chọn để tính toán khung giá phát điện của các Nhà máy điện gió trong đất liền, Nhà máy điện gió trên biển có quy mô công suất lắp đặt là 50 MW.
5. Nhà máy điện gió trong đất liền là các nhà máy điện gió nối lưới có tuabin điện gió được xây dựng và vận hành trên đất liền và vùng đất ven biển có ranh giới ngoài là đường mép nước biển thấp nhất trung bình trong nhiều năm (18,6 năm).
6. Nhà máy điện gió trên biển là các nhà máy điện gió nối lưới có tuabin điện gió được xây dựng và vận hành nằm ngoài đường mép nước biển thấp nhất trung bình trong nhiều năm (18,6 năm) ra ngoài khơi.
7. Tổng mức đầu tư là toàn bộ chi phí đầu tư xây dựng của dự án được xác định theo quy định của pháp luật hiện hành, phù hợp với thiết kế cơ sở và các nội dung khác của báo cáo nghiên cứu khả thi đầu tư xây dựng.
Chương II. PHƯƠNG PHÁP XÂY DỰNG KHUNG GIÁ PHÁT ĐIỆN
Điều 3. Nguyên tắc xây dựng khung giá phát điện
1. Khung giá phát điện của Nhà máy điện mặt trời mặt đất, Nhà máy điện mặt trời nổi, Nhà máy điện gió trong đất liền, Nhà máy điện gió trên biển là dải giá trị từ giá trị tối thiểu (0 đồng/kWh) đến giá trị tối đa.
2. Giá trị tối đa áp dụng với nhà máy điện mặt trời là giá phát điện của Nhà máy điện mặt trời chuẩn được xác định theo phương pháp quy định tại Điều 4, Điều 5 và Điều 6 Thông tư này.
3. Giá trị tối đa áp dụng với nhà máy điện gió là giá phát điện của Nhà máy điện gió chuẩn được xác định theo phương pháp quy định tại Điều 7, Điều 8 và Điều 9 Thông tư này.
Điều 4. Phương pháp xác định giá phát điện của Nhà máy điện mặt trời chuẩn
Giá phát điện PMT (đồng/kWh) của Nhà máy điện mặt trời chuẩn được xác định theo công thức sau:
P MT = FC MT + FOMC MT
Trong đó:
|
FCMT: |
Giá cố định bình quân của Nhà máy điện mặt trời chuẩn được xác định theo quy định tại Điều 5 Thông tư này (đồng/kWh); |
|
FOMCMT: |
Giá vận hành và bảo dưỡng cố định Nhà máy điện mặt trời chuẩn được xác định theo quy định tại Điều 6 Thông tư này (đồng/kWh). |
Điều 5. Phương pháp xây dựng giá cố định bình quân của Nhà máy điện mặt trời chuẩn
1. Giá cố định bình quân FCMT (đồng/kWh) của Nhà máy điện mặt trời chuẩn là thành phần để thu hồi chi phí đầu tư, được xác định theo công thức sau:

Trong đó:
|
TC MT : |
Chi phí vốn đầu tư xây dựng Nhà máy điện mặt trời chuẩn (chưa bao gồm thuế giá trị gia tăng) được quy đổi đều hàng năm xác định theo quy định tại khoản 2 Điều này (đồng); |
|
|
Điện năng giao nhận bình quân nhiều năm của Nhà máy điện mặt trời chuẩn xác định theo quy định tại khoản 5 Điều này (kWh). |
2. Chi phí vốn đầu tư của Nhà máy điện mặt trời chuẩn được quy đổi đều hàng năm TC MT (đồng) theo công thức sau:

Trong đó:
|
SĐT MT : |
Suất đầu tư của Nhà máy điện mặt trời chuẩn được xác định theo quy định tại khoản 3 Điều này (đồng/kWp). kWp là đơn vị đo công suất đỉnh đạt được của tấm quang điện mặt trời trong điều kiện tiêu chuẩn và do nhà sản xuất công bố; |
|
P MT : |
Công suất lắp đặt của Nhà máy điện mặt trời chuẩn (kWp), được xác định là 50.000 kWp; |
|
n MT : |
Đời sống kinh tế của Nhà máy điện mặt trời chuẩn được quy định tại Phụ lục ban hành kèm theo Thông tư này (năm); |
|
i: |
Tỷ suất chiết khấu tài chính của Nhà máy điện mặt trời chuẩn được xác định theo quy định tại khoản 4 Điều này (%). |
3. Suất đầu tư là chi phí đầu tư cho 01 kWp công suất lắp đặt của Nhà máy điện mặt trời chuẩn, được xác định trên cơ sở Tổng mức đầu tư của các nhà máy điện mặt trời:
a) Đã ký hợp đồng mua bán điện với Tập đoàn Điện lực Việt Nam hoặc do Tập đoàn Điện lực Việt Nam làm chủ đầu tư trước ngày 01 tháng 01 năm 2021;
b) Tham khảo số liệu của các tổ chức tư vấn.
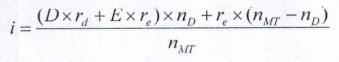
4. Tỷ suất chiết khấu tài chính i (%) áp dụng chi phí sử dụng vốn bình quân gia quyền danh định trước thuế Nhà máy điện mặt trời chuẩn được xác định theo công thức sau:

Trong đó:
|
D: |
Tỷ lệ vốn vay trong tổng mức đầu tư được quy định tại Phụ lục ban hành kèm theo Thông tư này (%); |
|
E: |
Tỷ lệ vốn góp chủ sở hữu trong tổng mức đầu tư được quy định tại Phụ lục ban hành kèm theo Thông tư này (%); |
|
n MT : |
Đời sống kinh tế của Nhà máy điện mặt trời chuẩn được quy định tại Phụ lục ban hành kèm theo Thông tư này (năm); |
|
n D : |
Thời gian trả nợ vay bình quân được quy định tại Phụ lục ban hành kèm theo Thông tư này (năm); |
|
r d : |
Lãi suất vốn vay được xác định theo quy định tại điểm a khoản này (%); |
|
r e : |
Tỷ suất lợi nhuận trước thuế trên phần vốn góp chủ sở hữu được xác định theo quy định tại điểm b khoản này (%). |
a) Lãi suất vốn vay r d (%) được tính bằng lãi suất bình quân gia quyền các nguồn vốn vay nội tệ và ngoại tệ, được xác định theo công thức sau:
r d = D F × r d,F + D D × r d,D
Trong đó:
|
D F : |
Tỷ lệ vốn vay ngoại tệ trong tổng vốn vay được xác định trên cơ sở tỷ lệ vốn vay các nhà máy điện mặt trời theo quy định tại điểm b khoản 2 Điều 1 Thông tư này (%); |
|
D D : |
Tỷ lệ vốn vay nội tệ trong tổng vốn vay được xác định trên cơ sở tỷ lệ vốn vay các nhà máy điện mặt trời theo quy định tại điểm b khoản 2 Điều 1 Thông tư này (%); |
|
r d,F : |
Lãi suất vốn vay ngoại tệ được xác định trên cơ sở: lãi suất vốn vay ngoại tệ các nhà máy điện đã ký hợp đồng mua bán điện giai đoạn năm 2017 - 2021 (%/năm) hoặc lãi suất vốn vay ngoại tệ của các nhà máy điện mặt trời theo quy định tại điểm b khoản 2 Điều 1 Thông tư này; |
|
r d,D : |
Lãi suất vốn vay nội tệ được xác định trên cơ sở: lãi suất vốn vay nội tệ các nhà máy điện đã ký hợp đồng mua bán điện giai đoạn năm 2017 - 2021 (%/năm) hoặc lãi suất vốn vay nội tệ của các nhà máy điện mặt trời quy định tại điểm b khoản 2 Điều 1 Thông tư này. |
b) Tỷ suất lợi nhuận trước thuế trên phần vốn góp chủ sở hữu r e,pt (%) được xác định theo công thức sau:

Trong đó:
|
r e,pt : |
Tỷ suất lợi nhuận sau thuế trên phần vốn góp chủ sở hữu (%), được xác định là 12%; |
|
t: |
Thuế suất thuế thu nhập doanh nghiệp bình quân trong đời sống kinh tế của nhà máy điện mặt trời được xác định theo quy định hiện hành của Nhà nước (%). |
5. Điện năng giao nhận bình quân năm
(kWh) của Nhà máy điện mặt trời chuẩn được xác định theo công thức sau:
= A × r × H × PR
|
Trong đó: |
|
|
A: |
Tổng diện tích lắp đặt tấm quang điện (m 2 ) được xác định theo quy định tại khoản 6 Điều này; |
|
H: |
Cường độ bức xạ trung bình năm của Nhà máy điện mặt trời chuẩn (kWh/m 2 /năm); |
|
r: |
Hiệu suất chuyển đổi tấm quang điện (%); |
|
PR: |
Hiệu suất Nhà máy điện mặt trời chuẩn (%). |
6. Tổng diện tích lắp đặt tấm quang điện (m 2 ) được tính như sau:

Trong đó:
|
P MT : |
Công suất lắp đặt Nhà máy điện mặt trời chuẩn (kWp), được xác định là 50.000 kWp; |
|
P TP : |
Công suất định mức tấm quang điện (Wp); |
|
S TP : |
Diện tích tấm quang điện (m 2 ). |
7. Các thông số P TP , S TP , r, H, PR quy định tại khoản 5 và khoản 6 Điều này được xác định trên cơ sở:
a) Báo cáo nghiên cứu khả thi, thiết kế kỹ thuật được thẩm định của các nhà máy điện mặt trời đã ký hợp đồng mua bán điện trước ngày 01 tháng 01 năm 2021;
b) Tham khảo số liệu của các tổ chức tư vấn.
.....................
Thuộc tính Thông tư 15/2022/TT-BCT
| Cơ quan ban hành: | Bộ Công Thương | Số công báo: | Đang cập nhật |
| Số hiệu: | 15/2022/TT-BCT | Ngày đăng công báo: | Đang cập nhật |
| Loại văn bản: | Thông tư | Người ký: | Đặng Hoàng An |
| Ngày ban hành: | 03/10/2022 | Ngày hết hiệu lực: | Đang cập nhật |
| Lĩnh vực: | Đầu tư |
Văn bản pháp luật này thuộc lĩnh vực Đầu tư - Chứng khoán - Thương mại được HoaTieu.vn cập nhật và đăng tải.
Thông tư 15/2022/TT-BCT phương pháp xây dựng khung giá phát điện nhà máy điện mặt trời, điện gió chuyển tiếp
1,2 MB 06/10/2022 9:13:00 SA-
Tải Thông tư 15/2022/TT-BCT pdf
| Cơ quan ban hành: | Bộ Công Thương | Người ký: | Đặng Hoàng An |
| Số hiệu: | 15/2022/TT-BCT | Lĩnh vực: | Đầu tư |
| Ngày ban hành: | 03/10/2022 | Ngày hiệu lực: | 25/11/2022 |
| Loại văn bản: | Thông tư | Ngày hết hiệu lực: | Đang cập nhật |
| Tình trạng hiệu lực: | Còn hiệu lực |
-
Chia sẻ:
Trần Thu Trang
- Ngày:
Theo Nghị định 147/2024/ND-CP, bạn cần xác thực tài khoản trước khi sử dụng tính năng này. Chúng tôi sẽ gửi mã xác thực qua SMS hoặc Zalo tới số điện thoại mà bạn nhập dưới đây:
Bài liên quan
-
Thời hạn sử dụng của chứng chỉ ngoại ngữ, tin học là bao lâu?
-
Thông tư 60/2022/TT-BTC về các lĩnh vực và thời hạn người có chức vụ không được thành lập, điều hành doanh nghiệp tư nhân
-
Bảng giá điện 2024
-
Thông tư 12/2022/TT-NHNN hướng dẫn quản lý ngoại hối đối với việc vay, trả nợ nước ngoài của doanh nghiệp
-
Tham gia nghĩa vụ quân sự có được tạm ứng lương?
-
Năm 2026 giáo viên có bắt buộc phải có chứng chỉ Tiếng Anh Tin học?
-
Danh sách các loại bằng cấp giáo viên nhất định phải có 2026
-
Thu nhập tính đóng và không tính đóng BHXH bắt buộc mới nhất 2023
Pháp luật tải nhiều
-
Quyết định 749/QĐ-BGDĐT của BDGĐT về việc công bố công khai dự toán ngân sách Nhà nước năm 2026
-
Quyết định 748/QĐ-BGDĐT Công khai quyết toán NSNN 2024 nguồn viện trợ Lào, Campuchia của BGDĐT
-
Quyết định 754/QĐ-BGDĐT công bố thủ tục hành chính mới, sửa đổi, bổ sung lĩnh vực văn bằng, chứng chỉ thuộc phạm vi quản lý củ BGDĐT
-
Thông tư 18/2026/TT-BGDĐT khung năng lực số đối với giáo viên
-
Thông tư 17/2026/TT-BGDĐT tiêu chuẩn người đứng đầu và cấp phó của người đứng đầu cơ sở giáo dục đại học, cơ sở giáo dục nghề nghiệp
-
Nghị định 91/2026/NĐ-CP hướng dẫn Luật Giáo dục đại học 2025
-
Văn bản hợp nhất Luật Nhà giáo số 87/VBHN-VPQH
-
Công văn 2551/SGDĐT-GDMN TP.HCM 2026 thí điểm tích hợp tiếng Anh cho trẻ mẫu giáo
-
Thông báo 494/TB-BGDĐT 2026 của Bộ Giáo dục và Đào tạo về tuyển sinh đi học tại Ba Lan
-
Quyết định 1837/QĐ-UBND TP.HCM 2026 công bố Danh mục thủ tục hành chính mới lĩnh vực Thi tuyển sinh
Bài viết hay Đầu tư - Chứng khoán - Thương mại
-
Văn bản hợp nhất 04/VBHN-VPQH
-
Thông tư số 27/2010/TT-BTC quy định mức thu, chế độ thu nộp, quản lý và sử dụng phí hoạt động chứng khoán
-
Thông tư 76/2024/TT-BTC chế độ báo cáo về chào bán, giao dịch trái phiếu doanh nghiệp riêng lẻ
-
Thông tư 11/2019/TT-BKHĐT cung cấp, đăng tải thông tin về đấu thầu, lộ trình đấu thầu qua mạng
-
Thông tư 48/2015/TT-BCT về quy tắc xuất xứ trong hiệp định thương mại tự do Việt Nam - Hàn Quốc
-
Thông tư 11/2016/TT-BKHĐT Hướng dẫn lập hồ sơ mời thầu thiết kế, cung cấp hàng hóa và xây lắp
-
Thuế - Lệ phí - Kinh phí
-
Giáo dục - Đào tạo
-
Y tế - Sức khỏe
-
Thể thao
-
Bảo hiểm
-
Chính sách
-
Hành chính
-
Cơ cấu tổ chức
-
Quyền Dân sự
-
Tố tụng - Kiện cáo
-
Dịch vụ Pháp lý
-
An ninh trật tự
-
Trách nhiệm hình sự
-
Văn bản Nông - Lâm - Ngư nghiệp
-
Tài nguyên - Môi trường
-
Công nghệ - Thông tin
-
Khoa học công nghệ
-
Văn bản Giao thông vận tải
-
Hàng hải
-
Văn hóa Xã hội
-
Doanh nghiệp
-
Xuất - Nhập khẩu
-
Tài chính - Ngân hàng
-
Lao động - Tiền lương
-
Đầu tư - Chứng khoán - Thương mại
-
Xây dựng - Đô thị - Đất đai - Nhà ở
-
Lĩnh vực khác