Điểm chuẩn đại học Quy Nhơn 2025 mới cập nhật
Mua tài khoản Hoatieu Pro để trải nghiệm website Hoatieu.vn KHÔNG quảng cáo & Tải nhanh File chỉ từ 99.000đ. Tìm hiểu thêm »
Công bố điểm chuẩn Đại học Quy Nhơn 2024
Điểm chuẩn Đại học Quy Nhơn 2024 - Ngày 26/6/2024 Đại học Quy Nhơn đã có Thông báo 62/TB-ĐHQN về việc công bố điểm chuẩn tuyển sinh hệ đại học chính quy năm học 2024-2025 theo phương thức xét học bạ và xét điểm thi đánh giá năng lực của Đại học Quốc gia TP HCM. Sau đây là chi tiết điểm chuẩn xét tuyển sớm của Đại học Quy Nhơn 2024, mời các bạn cùng tham khảo.
1. Điểm chuẩn xét tuyển sớm Đại học Quy Nhơn 2024
Điểm xét học bạ Đại học Quy Nhơn 2024


Điểm chuẩn ĐGNL Đại học Quy Nhơn 2024


Điểm chuẩn trúng tuyển Đại học Quy Nhơn năm 2024 theo phương thức xét điểm thi đánh giá năng lực của Đại học Sư Phạm Hà Nội

2. Điểm chuẩn Đại học Quy nhơn 2023 chính thức
Ngày 23-8, Trường ĐH Quy Nhơn (Bình Định) đã có thông báo điểm chuẩn trúng tuyển vào ĐH hệ chính quy theo phương thức xét tuyển điểm thi tốt nghiệp THPT năm 2023.
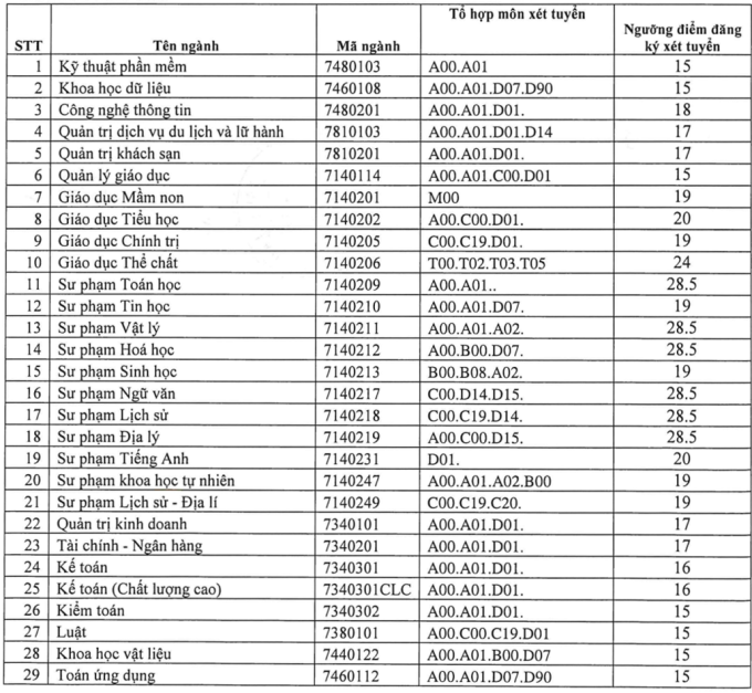
Điểm trúng tuyển dao động từ 15-25,75 điểm, trong đó có 26 ngành lấy 15 điểm; điểm trúng tuyển cao thuộc khối các ngành sư phạm.


Điểm sàn Đại học Quy Nhơn 2023
Điểm sàn xét tuyển đại học bằng phương thức xét điểm thi THPT năm 2023 của Đại học Quy Nhơn dao động từ 15-18 điểm. Chi tiết điểm sàn Đại học Quy Nhơn 2023 theo từng ngành xét tuyển như sau:


3. Điểm chuẩn xét tuyển sớm Đại học Quy Nhơn 2023
Trường đại học Quy Nhơn xét tuyển sớm năm 2023 theo phương thức xét kết quả học tập THPT (học bạ); điểm thi đánh giá năng lực của Đại học Quốc gia TPHCM và điểm thi đánh giá năng lực của Trường Đại học Sư phạm Hà Nội.
Với phương thức xét học bạ, điểm chuẩn cao nhất là 29,25 điểm, đối với ngành Sư phạm Toán học. Thí sinh trúng tuyển cần đáp ứng điều kiện học lực lớp 12 đạt loại giỏi.
Chi tiết điểm chuẩn xét tuyển sớm Trường Đại học Quy Nhơn như sau:


4. Điểm chuẩn Đại học Quy Nhơn 2022
Điểm chuẩn xét học bạ Đại học Quy Nhơn 2022
Ngày 14-7, PGS-TS Đỗ Ngọc Mỹ, Hiệu trưởng Trường ĐH Quy Nhơn (TP Quy Nhơn, tỉnh Bình Định), đã ký thông báo về việc điểm chuẩn xét tuyển sớm ĐH hệ chính quy năm 2022 theo hình thức xét kết quả học tập THPT (học bạ) và kết quả thi đánh giá năng lực.
Theo đó, điểm chuẩn phương thức xét học bạ cho 47/49 ngành (trừ 2 ngành Giáo dục mầm non và Giáo dục thể chất chưa có điểm thi môn năng khiếu), thấp nhất là 18 điểm và cao nhất là 28,5 điểm (ngành Sư phạm Toán học). Riêng đối với khối ngành sư phạm, ngoài điểm chuẩn còn có điều kiện học lực lớp 12 của thí sinh phải đạt loại giỏi.
Điểm chuẩn phương thức xét điểm thi đánh giá năng lực của ĐH Quốc gia TP HCM bằng nhau cho các ngành là 650 điểm đối với nguyện vọng 1, không xét các nguyện vọng khác.


5. Điểm chuẩn Đại học Quy Nhơn 2021



6. Các ngành xét tuyển Đại học Quy Nhơn


Mời các bạn tham khảo thêm các thông tin hữu ích khác trên chuyên mục Tuyển sinh - Tra cứu điểm thi của HoaTieu.vn.
-
Chia sẻ:
Trần Thu Trang
- Ngày:
Tham khảo thêm
Theo Nghị định 147/2024/ND-CP, bạn cần xác thực tài khoản trước khi sử dụng tính năng này. Chúng tôi sẽ gửi mã xác thực qua SMS hoặc Zalo tới số điện thoại mà bạn nhập dưới đây:
Hướng dẫn & Hỗ trợ
Chọn một tùy chọn bên dưới để được giúp đỡ
- Thông tin tuyển sinh Học viện kỹ thuật quân sự 2024
- Học viện Ngoại giao điểm chuẩn 2024
- Danh sách địa điểm thi THPT quốc gia 2024
- Đại học Tài nguyên và môi trường tuyển sinh 2024
- Đáp án đề tham khảo 2025 môn Hóa học thi tốt nghiệp THPT Quốc gia
- Đáp án đề minh họa 2024 tất cả các môn
- UFM xét học bạ 2024
- Điểm chuẩn UAH chính thức
- Điểm chuẩn Đại học Luật Hà Nội 2024
- Link tra cứu điểm thi THPT Quốc gia 2024
- Cách quy đổi điểm thi đánh giá năng lực 2024
- Đại học An Giang tuyển sinh 2024 điểm chuẩn
- Đáp án đề tổ hợp môn Xã hội 2024
- Hướng Dẫn Đăng Ký Xét Tuyển Bằng Học Bạ Chi Tiết
- Cách xác nhận nhập học trực tuyến 2025
- Sau khi biết mình trúng tuyển vào Đại học thí sinh ngay lập tức phải làm điều này
- Điểm chuẩn trường Đại học Thái Nguyên 2024
- Đại học Mỏ địa chất điểm chuẩn 2024
- Điểm chuẩn đại học Sư phạm kỹ thuật TP.HCM 2024
- Điểm chuẩn Đại học Nội vụ 2024
- Điểm chuẩn các trường Công an 2024
- Học viện Bưu chính viễn thông điểm chuẩn 2024 - PTIT điểm chuẩn
- Điểm chuẩn Đại học Giao thông vận tải 2024
- Điểm chuẩn các trường Quân đội 2024
- Trường Đại học Xây dựng điểm chuẩn 2024
- Đại học Y Hà Nội điểm chuẩn 2024
- IUH điểm chuẩn 2024 - Điểm chuẩn ĐH Công nghiệp TP HCM
- Điểm chuẩn Đại học Bách khoa Hà Nội 2024
- Điểm chuẩn Học viện Chính sách và Phát triển 2024
- Điểm chuẩn NEU 2024 - Điểm chuẩn đại học Kinh tế quốc dân
- Điểm chuẩn Đại học Thủy lợi 2024
- UEB điểm chuẩn - Điểm chuẩn đại học Kinh tế - Đại học Quốc gia Hà Nội
- Điểm chuẩn Đại học Huế 2024
- Điểm chuẩn Đại học Thương mại 2024
- Điểm chuẩn đại học 2024 Đại học Quốc gia TP HCM
- Trường Đại học Bách khoa TP HCM điểm chuẩn 2024
- Đại học Khoa học Tự nhiên điểm chuẩn 2024
-
Điểm chuẩn Đại học quốc gia Hà Nội 2024
- Đại học Ngoại ngữ - Đại học Quốc gia Hà Nội điểm chuẩn 2024
- Điểm chuẩn Đại học Giáo dục 2024
- Điểm chuẩn Đại học Việt Nhật 2024
- Điểm chuẩn Đại học Y Dược - Đại học Quốc gia Hà Nội 2024
- Điểm chuẩn Đại học Quản trị và Kinh doanh - Đại học Quốc gia Hà Nội 2024
- Điểm chuẩn Đại học Quốc tế Đại học Quốc gia Hà Nội 2024
- Học viện Kỹ thuật mật mã điểm chuẩn 2024
- Điểm chuẩn HUFI 2024
- Đại học Kinh tế - Tài chính thành phố Hồ Chí Minh điểm chuẩn 2024
- Điểm chuẩn Đại học Thủ Dầu Một 2024
- Học viện Cảnh sát nhân dân điểm chuẩn 2024
- Điểm chuẩn Học viện Ngân hàng 2024
- Điểm chuẩn Đại học Công nghệ TP HCM 2024
- Điểm chuẩn Y Dược Tp HCM 2024
- Điểm chuẩn Đại học Khoa học Xã hội và Nhân văn 2024
- Điểm chuẩn FTU 2024 - Điểm chuẩn Đại học Ngoại thương
- Đại học Luật TP HCM điểm chuẩn 2024
- Lịch công bố điểm chuẩn đại học 2024
- So sánh điểm thi THPT quốc gia 2023 và 2024
- Cách điều chỉnh nguyện vọng các trường Công an 2024
- Nguyện vọng 2 có tăng điểm không?
- Con gái thi khối A nên chọn ngành gì?
- Điểm chuẩn đại học Quy Nhơn 2024
- Điểm chuẩn Đại học Công nghiệp Hà Nội 2024
- Điểm chuẩn Đại học Mở Hà Nội 2024
- Điểm chuẩn đại học Tôn Đức Thắng 2024
- Điểm sàn nhóm ngành đào tạo giáo viên và sức khỏe 2024
- Điểm chuẩn Học viện Tài chính 2024
- Điểm chuẩn đại học Kinh doanh và công nghệ Hà Nội 2024
- Điểm chuẩn đại học Cần Thơ 2024 - CTU điểm chuẩn học bạ 2024
- UEH điểm chuẩn 2024 - Điểm chuẩn Đại học Kinh tế TP HCM
- Đại học Thủ đô Hà Nội điểm chuẩn 2024
- Các trường Đại học đã công bố điểm chuẩn 2024
- Điểm chuẩn Đại học Sư phạm Hà Nội 2024
- Cách đăng ký, điều chỉnh nguyện vọng xét tuyển trên Cổng dịch vụ công quốc gia
- Điểm sàn là gì? Điểm chuẩn là gì?
- Sau khi có điểm chuẩn thí sinh cần làm gì?
- Điểm chuẩn Đại học Văn Lang 2024
- Dự đoán điểm chuẩn đại học 2023
- Điểm Chuẩn Đại học Y Khoa Vinh 2024
- Đại học Nông lâm TP HCM điểm chuẩn 2024
- Điểm chuẩn Học viện Phụ nữ Việt Nam 2024
- Điểm chuẩn Đại học Sư phạm TP HCM 2024
- Đại học Công đoàn điểm chuẩn 2024
- Điểm chuẩn HANU 2024
- Đại học Đồng Tháp điểm chuẩn 2024
- Điểm chuẩn Đại học Kiến trúc Hà Nội 2024
- Quy đổi điểm IELTS sang điểm thi đại học
- Học viện Chính sách và Phát triển học phí 2024
- Học phí UEF 2024
- Học phí Đại học Công nghiệp TPHCM 2024
- Xét tuyển PTIT 2024
- Điểm chuẩn Đại học Hoa Sen 2024
- Đáp án chính thức đề thi Hóa THPT Quốc gia năm 2024
- Đáp án của bộ đề thi THPT quốc gia 2024 môn Địa
- D07 gồm những môn nào?
- Tuyển sinh Đại học Luật TP HCM 2024
- Đại học Giao thông Vận tải tuyển sinh 2024
- Tuyển sinh công an 2024
- Tuyển sinh Đại học Quy Nhơn 2024
- Tuyển sinh Trường ĐH Ngoại ngữ - Tin học TP. HCM 2024
- Tuyển sinh UEH 2024
- Tuyển sinh đại học Kinh tế Đà Nẵng 2024
- Mã trường Đại học Y dược TP HCM
- Đại học Thăng Long điểm chuẩn 2024
- Đại học Văn hoá điểm chuẩn 2024
- Đại học Võ Trường Toản học phí 2024
- Mã ngành trường Sĩ quan Chính trị 2024
- Mã trường Đại học Quốc gia Hà Nội 2024
- HANU tuyển sinh 2024
- Cách xem nguyện vọng đã đăng ký
- Đáp án thi tốt nghiệp THPT 2024 đầy đủ các môn
- Nhận định đề thi THPT quốc gia năm nay
- Khi nào Bộ công bố đáp án chính thức?
- Phương thức tuyển sinh Đại học ngoại thương 2024
- Cách chấm điểm Văn THPT quốc gia 2024
- Đại học Điện lực điểm chuẩn xét học bạ 2024
- Điểm chuẩn đánh giá năng lực 2024
- Tra cứu điểm chuẩn đại học 2024
- Điểm chuẩn đại học 2024
- Phương án tuyển sinh Đại học Quốc gia Hà Nội 2024
- Phương án tuyển sinh Đại học quốc gia TP HCM 2024
- Chỉ tiêu tuyển sinh Đại học quốc gia Hà Nội 2024
- Tuyển sinh Trung cấp công an 2024
- Đề án tuyển sinh Học viện báo chí 2024
- Điểm chuẩn UFM 2024 học bạ
- Điểm chuẩn UAH 2024
- Điểm chuẩn Học viện Hành chính quốc gia 2024
- Đại học Sư phạm Hà Nội 2 điểm chuẩn 2024
- Điểm chuẩn Học viện Nông Nghiệp Việt Nam 2024
- Điểm chuẩn Đại học công nghệ – Đại học Quốc gia Hà Nội 2024
- Đại học Khoa học tự nhiên – Đại học quốc gia TP HCM điểm chuẩn 2024
- Điểm chuẩn Đại học Kinh tế Luật TP HCM 2024
- Điểm chuẩn Đại học Ngân hàng thành phố Hồ Chí Minh 2024
- Phổ điểm thi THPT quốc gia 2024
- Điểm sàn các trường quân đội 2024
- Được 15-21 điểm thi THPT Quốc gia nên đăng ký trường nào?
- Đại học quản lý và công nghệ TP HCM điểm chuẩn 2024
- Đại học Khoa học công nghệ Hà Nội điểm chuẩn 2024
- Đại học An ninh nhân dân điểm chuẩn 2024 chính thức
- Danh sách các trường xét học bạ 2024 (mới cập nhật)
- Trường Sĩ quan Lục quân 2 tuyển sinh 2024
- Học phí Đại học Quốc gia Hà Nội 2024
- Điểm chuẩn Đại học Ngân hàng thành phố Hồ Chí Minh 2024
- Điểm chuẩn Đại học Giáo dục 2024
- Điểm chuẩn Đại học công nghệ – Đại học Quốc gia Hà Nội 2024
- Điểm chuẩn Đại học Quốc tế Đại học Quốc gia Hà Nội 2024
- (Tất cả các môn) Phổ điểm thi THPT quốc gia 2025
- (Mới nhất) Phổ điểm thi THPT quốc gia 2024 theo khối
- C01 gồm những môn nào?
- Điểm chuẩn Học viện Hành chính quốc gia 2024
- Học viện Báo chí và Tuyên truyền điểm chuẩn 2024 mới cập nhật
- Điểm chuẩn Đại học Kinh tế Luật TP HCM 2024
- Đại học Ngoại ngữ - Đại học Quốc gia Hà Nội điểm chuẩn 2024
- Điểm chuẩn Đại học Y Dược - Đại học Quốc gia Hà Nội 2024
- (Mới) Điểm sàn các trường quân đội 2024
- Đại học Sư phạm Hà Nội 2 điểm chuẩn 2024
- Điểm chuẩn UFM 2024
- Điểm chuẩn Khoa học Xã hội và Nhân văn TP HCM 2024
Tuyển sinh tải nhiều
-
Câu hỏi trắc nghiệm cơ sở văn hóa Việt Nam có đáp án
-
(Mới) Điểm thi tuyển sinh lớp 10 năm 2025 Bạc Liêu
-
Đã có Điểm chuẩn Đại học Giao thông vận tải 2025
-
Điểm chuẩn FTU 2024 - Điểm chuẩn Đại học Ngoại thương
-
Điểm chuẩn Học viện Hành chính quốc gia 2025
-
(Mới cập nhật) Học viện Báo chí và Tuyên truyền điểm chuẩn 2024
-
Điểm chuẩn đại học Sư phạm kỹ thuật TP.HCM 2024
-
Điểm chuẩn Đại học quốc gia Hà Nội 2024 mới cập nhật
-
Đáp án đề tham khảo 2025 môn Địa chính thức
-
(Mới) Đáp án đề tham khảo Hóa 2025 của Bộ giáo dục
Bài viết hay Tuyển sinh
-
Điểm thi tuyển sinh lớp 10 năm 2025 Đắk Nông
-
(Mới nhất) Điểm chuẩn Học viện Chính sách và Phát triển 2024
-
(Mới) Đáp án đề tham khảo Hóa 2025 của Bộ giáo dục
-
Điểm chuẩn FTU 2024 - Điểm chuẩn Đại học Ngoại thương
-
Điểm chuẩn các trường Công an 2023 mới nhất
-
Tuyển sinh Trường ĐH Ngoại ngữ - Tin học TP. HCM 2023