Thông tư 42/2024/TT-BTC về Chuẩn mực thẩm định giá Việt Nam về Thẩm định giá bất động sản
Mua tài khoản Hoatieu Pro để trải nghiệm website Hoatieu.vn KHÔNG quảng cáo & Tải nhanh File chỉ từ 99.000đ. Tìm hiểu thêm »
Thông tư số 42 2024 của Bộ tài chính
Bộ Tài chính đã ban hành Thông tư số 42/2024/TT-BTC ngày 20/6/2024 ban hành Chuẩn mực thẩm định giá Việt Nam về Thẩm định giá bất động sản. Thông tư này có hiệu lực thi hành kể từ ngày 5/8/2024.
Theo đó, Chuẩn mực thẩm định giá Việt Nam này quy định và hướng dẫn về thẩm định giá bất động sản khi thẩm định giá theo quy định của pháp luật về giá. Chuẩn mực thẩm định giá Việt Nam này không áp dụng đối với trường hợp định giá đất theo quy định của pháp luật về đất đai.
Nội dung Thông tư số 42/2024/TT-BTC
|
BỘ TÀI CHÍNH _______ Số: 42/2024/TT-BTC |
CỘNG HÒA XÃ HỘI CHỦ NGHĨA VIỆT NAM Độc lập - Tự do - Hạnh phúc ________________________ Hà Nội, ngày 20 tháng 6 năm 2024 |
THÔNG TƯ
Ban hành Chuẩn mực thẩm định giá Việt Nam về Thẩm định giá bất động sản
___________
Căn cứ Luật Giá ngày 19 tháng 6 năm 2023;
Căn cứ Nghị định số 14/2023/NĐ-CP ngày 20 tháng 04 năm 2023 của Chính phủ quy định chức năng, nhiệm vụ, quyền hạn và cơ cấu tổ chức của Bộ Tài chính;
Theo đề nghị của Cục trưởng Cục Quản lý giá;
Bộ trưởng Bộ Tài chính ban hành Thông tư ban hành Chuẩn mực thẩm định giá Việt Nam về Thẩm định giá bất động sản.
Điều 1. Ban hành kèm theo Thông tư này Chuẩn mực thẩm định giá Việt Nam về Thẩm định giá bất động sản.
Điều 2. Hiệu lực thi hành
1. Thông tư này có hiệu lực thi hành kể từ ngày 05 tháng 8 năm 2024.
2. Thông tư số 145/2016/TT-BTC ngày 06/10/2016 của Bộ trưởng Bộ Tài chính ban hành Tiêu chuẩn thẩm định giá Việt Nam số 11 - Thẩm định giá bất động sản hết hiệu lực kể từ ngày Thông tư này có hiệu lực thi hành.
Điều 3. Tổ chức thực hiện
1. Các tổ chức, cá nhân có liên quan chịu trách nhiệm thực hiện Chuẩn mực thẩm định giá Việt Nam ban hành kèm theo Thông tư này.
2. Trong quá trình thực hiện nếu có vướng mắc, đề nghị các tổ chức, cá nhân phản ánh kịp thời về Bộ Tài chính để nghiên cứu, giải quyết./.
|
Nơi nhận: - Ban Bí thư Trung ương Đảng; - Thủ tướng, các Phó Thủ tướng Chính phủ; - Văn phòng Trung ương Đảng và các Ban của Đảng; - Văn phòng Tổng bí thư; - Văn phòng Quốc hội, Hội đồng dân tộc; - Các Ủy ban của Quốc hội; - Văn phòng Chủ tịch nước; - Văn phòng Chính phủ; - Ủy ban Trung ương Mặt trận Tổ quốc Việt Nam; - Viện kiểm sát nhân dân tối cao; - Tòa án nhân dân tối cao; - Kiểm toán nhà nước; - Các Bộ, cơ quan ngang Bộ, cơ quan thuộc Chính phủ; - Cơ quan Trung ương của các Hội, Đoàn thể; - HĐND, UBND các tỉnh, thành phố trực thuộc trung ương; - Sở Tài chính các tỉnh, thành phố trực thuộc trung ương; - Cục Kiểm tra văn bản quy phạm pháp luật, Bộ Tư pháp; - Công báo; - Cổng thông tin điện tử Chính phủ; - Cổng thông tin điện tử Bộ Tài chính; - Liên đoàn Thương mại và Công nghiệp Việt Nam; - Hội thẩm định giá Việt Nam; - Các đơn vị thuộc Bộ Tài chính; - Lưu: VT, QLG (400b). |
KT. BỘ TRƯỞNG THỨ TRƯỞNG
Lê Tấn Cận
|
|
BỘ TÀI CHÍNH _______ |
CỘNG HÒA XÃ HỘI CHỦ NGHĨA VIỆT NAM Độc lập - Tự do - Hạnh phúc ________________________ |
CHUẨN MỰC THẨM ĐỊNH GIÁ VIỆT NAM
VỀ THẨM ĐỊNH GIÁ BẤT ĐỘNG SẢN
(Kèm theo Thông tư số 42/2024/TT-BTC ngày 20 tháng 6 năm 2024
của Bộ trưởng Bộ Tài chính)
_____________
Chương I. QUY ĐỊNH CHUNG
Điều 1. Phạm vi điều chỉnh
Chuẩn mực thẩm định giá Việt Nam này quy định và hướng dẫn về thẩm định giá bất động sản khi thẩm định giá theo quy định của pháp luật về giá. Chuẩn mực thẩm định giá Việt Nam này không áp dụng đối với trường hợp định giá đất theo quy định của pháp luật về đất đai.
Điều 2. Đối tượng áp dụng
1. Thẩm định viên về giá, doanh nghiệp thẩm định giá thực hiện hoạt động cung cấp dịch vụ thẩm định giá theo quy định của pháp luật về giá.
2. Tổ chức, cá nhân thực hiện hoạt động thẩm định giá của Nhà nước theo quy định của pháp luật về giá.
3. Tổ chức, cá nhân yêu cầu thẩm định giá, bên thứ ba sử dụng báo cáo thẩm định giá theo hợp đồng thẩm định giá (nếu có).
Điều 3. Giải thích từ ngữ
1. Bất động sản có tiềm năng phát triển là đất trồng để xây dựng hoặc đất có công trình trên đất có thể cải tạo hoặc phá dỡ xây dựng công trình trên đất để sử dụng tốt nhất và có hiệu quả nhất.
2. Phương pháp thặng dư là phương pháp thẩm định giá xác định giá trị của bất động sản có tiềm năng phát triển dựa trên cơ sở lấy giá trị phát triển ước tính của tài sản (tổng doanh thu phát triển) trừ đi các chi phí dự kiến phát sinh hợp lý (bao gồm lợi nhuận nhà đầu tư) để tạo ra sự phát triển đó (tổng chi phí phát triển).
Điều 4. Các cách tiếp cận và phương pháp thẩm định giá bất động sản
1. Các cách tiếp cận áp dụng trong thẩm định giá bất động sản bao gồm cách tiếp cận từ thị trường, cách tiếp cận từ chi phí và cách tiếp cận từ thu nhập theo quy định tại Chuẩn mực thẩm định giá Việt Nam hoặc sử dụng kết hợp các cách tiếp cận.
2. Phương pháp thẩm định giá sử dụng trong thẩm định giá bất động sản bao gồm các phương pháp thẩm định giá thuộc các cách tiếp cận hoặc kết hợp các cách tiếp cận quy định tại khoản 1 Điều này. Phương pháp thặng dư là phương pháp thẩm định giá được xây dựng dựa trên cơ sở kết hợp cách tiếp cận từ thị trường, cách tiếp cận từ chi phí và cách tiếp cận từ thu nhập.
3. Căn cứ vào đặc điểm của bất động sản cần thẩm định giá, mục đích thẩm định giá, thời điểm thẩm định giá, cơ sở giá trị thẩm định giá, các thông tin và số liệu về bất động sản cần thẩm định giá có thể thu thập được để lựa chọn cách tiếp cận và phương pháp thẩm định giá phù hợp.
Chương II. PHƯƠNG PHÁP THẶNG DƯ
Điều 5. Áp dụng phương pháp thặng dư
1. Công thức trong phương pháp thặng dư:
V = DT - CP
Trong đó:
V: Giá trị tài sản thẩm định giá;
DT: Tổng doanh thu phát triển;
CP: Tổng chi phí phát triển.
2. Nội dung thực hiện:
a) Xác định việc sử dụng tốt nhất và có hiệu quả nhất của bất động sản;
b) Xác định giai đoạn dự báo dòng tiền trong tương lai (n);
c) Xác định tổng doanh thu phát triển (DT);
d) Xác định tổng chi phí phát triển (CP);
đ) Xác định giá trị của bất động sản (V).
3. Các trường hợp về thời điểm phát sinh doanh thu phát triển và chi phí phát triển bất động sản:
a) Trường hợp 1: Doanh thu phát triển bất động sản, chi phí phát triển bất động sản chi phát sinh trong cùng 01 năm. Khi đó doanh thu và chi phí phát triển bất động sản được tính toán theo mặt bằng giá tại thời điểm thẩm định giá.
V = DT - CP (tại thời điểm thẩm định giá)
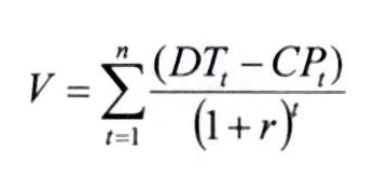
b) Trường hợp 2: Quá trình phát triển bất động sản kéo dài nhiều năm, sau khi xây dựng cho thuê để kinh doanh hoặc cho thuê một phần để kinh doanh hoặc bán từng phần bất động sản qua nhiều năm.

Trong đó:
V : Giá trị tài sản thẩm định giá;
DTt : Doanh thu phát triển dự kiến năm thứ t;
CPt : Chi phí phát triển dự kiến năm thứ t;
r: Tỷ suất chiết khấu;
n: Giai đoạn dự báo dòng tiền trong tương lai;
t: Năm dự báo.
Điều 6. Xác định việc sử dụng tốt nhất và có hiệu quả nhất của bất động sản
Việc sử dụng tốt nhất và có hiệu quả nhất của bất động sản được xác định trên cơ sở:
1. Đặc điểm của bất động sản thẩm định giá.
2. Các thông tin về quy hoạch sử dụng đất, quy hoạch xây dựng, quy hoạch giao thông, quy định về chuyển mục đích sử dụng đất và các quy định về đầu tư xây dựng đã được cấp có thẩm quyền phê duyệt.
3. Hướng dẫn phân tích việc sử dụng tốt nhất và có hiệu quả nhất tại Chuẩn mực thẩm định giá Việt Nam về Thu thập và phân tích thông tin về tài sản thẩm định giá.
Điều 7. Xác định giai đoạn dự báo dòng tiền trong tương lai (n)
Việc xác định giai đoạn dự báo dòng tiền trong tương lai được thực hiện theo hướng dẫn tại Chuẩn mực thẩm định giá Việt Nam về Cách tiếp cận từ thu nhập.
Điều 8. Xác định tổng doanh thu phát triển (DT)
1. Tổng doanh thu phát triển của bất động sản là tổng doanh thu dự kiến có được của bất động sản thẩm định giá phù hợp với mục đích sử dụng tốt nhất và có hiệu quả nhất của bất động sản.
2. Tổng doanh thu phát triển của bất động sản được xác định trên cơ sở điều tra khảo sát, thu thập các thông tin về giá chuyển nhượng, giá cho thuê và các yếu tố khác hình thành doanh thu (như thời gian bán hàng, thời điểm bắt đầu bán hàng, tỷ lệ bán hàng, tỷ lệ lấp đầy) của tối thiểu 03 bất động sản có đặc điểm tương tự với dự án dự kiến đầu tư xây dựng tại khu vực có bất động sản thẩm định giá hoặc khu vực có khả năng sinh lợi, điều kiện kết cấu hạ tầng kỹ thuật và hạ tầng xã hội tương đương có tính đến xu hướng và mức độ biến động của giá chuyển nhượng, giá cho thuê và các yếu tố khác hình thành doanh thu của dự án dự kiến đầu tư xây dựng trong tương lai. Khi xác định tổng doanh thu phát triển cần phân tích và đánh giá về khả năng thực hiện, hoàn thành và đưa vào vận hành, khai thác dự án theo tiến độ đầu tư đã cam kết và theo các quy định hiện hành về bất động sản.
Việc xác định mức biến động của giá chuyển nhượng, giá cho thuê và các yếu tố khác hình thành doanh thu căn cứ vào kết quả điều tra, khảo sát thị trường hoặc số liệu công bố của cơ quan thống kê hoặc cơ quan quản lý thị trường bất động sản, đảm bảo phù hợp mức biến động của thị trường bất động sản qua các năm.
3. Tổng doanh thu phát triển được xác định thông qua cách tiếp cận từ thị trường hoặc cách tiếp cận từ thu nhập.
a) Trong trường hợp tổng doanh thu phát triển chỉ phát sinh trong cùng 01 năm, doanh thu phát triển được tính toán theo mặt bằng giá tại thời điểm thẩm định giá đối với bất động sản sau khi đầu tư xây dựng bán lại toàn bộ sản phẩm tại thời điểm thẩm định giá;
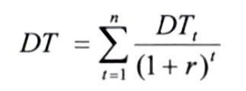
b) Trong trường hợp quá trình phát triển kéo dài nhiều năm, sau khi xây dựng cho thuê để kinh doanh hoặc cho thuê một phần để kinh doanh hoặc bán từng phần bất động sản qua nhiều năm, việc chuyển đổi tổng doanh thu phát triển của bất động sản về thời điểm thẩm định giá được thực hiện theo công thức tổng quát sau:

Điều 9. Xác định tổng chi phí phát triển (CP)
1. Tổng chi phí phát triển của bất động sản là toàn bộ các chi phí phát triển cần thiết dự kiến đầu tư vào bất động sản thẩm định giá, phù hợp với quy định của pháp luật (về các định mức kinh tế - kỹ thuật, tiêu hao nguyên nhiên vật liệu và hạch toán chi phí sản xuất, đầu tư) và đáp ứng được mục đích sử dụng tốt nhất và có hiệu quả nhất của bất động sản thẩm định giá.
2. Tổng chi phí phát triển của bất động sản gồm:
a) Chi phí đầu tư xây dựng bao gồm: chi phí xây dựng hạ tầng kỹ thuật, xây dựng công trình, hạng mục công trình khác; chi phí thiết bị; chi phí tư vấn đầu tư xây dựng; chi phí quản lý dự án và các chi phí có liên quan;
b) Chi phí dự phòng;
c) Chi phí kinh doanh (như chi phí quảng cáo, bán hàng, chi phí quản lý vận hành và các chi phí khác có liên quan);
d) Chi phí tài chính, thuế nếu có (như thuế sử dụng tài sản/bất động sản);
đ) Các khoản chi phí hợp lý khác;
e) Lợi nhuận của nhà đầu tư được xác định trên cơ sở tỷ lệ lợi nhuận trung bình trên thị trường tính trên tổng chi phí (bao gồm cả giá trị tài sản đầu tư ban đầu nhưng không bao gồm chi phí tài chính) của ít nhất 03 dự án đầu tư kinh doanh bất động sản tương tự trên thị trường hoặc được xác định là trung bình tỷ lệ phần trăm lợi nhuận trước thuế thu nhập doanh nghiệp (đã được kiểm toán hoặc quyết toán) trên tổng chi phí của ít nhất 03 doanh nghiệp bất động sản tương tự trên thị trường;
g) Chi phí bồi thường, giải phóng mặt bằng bao gồm tiền bồi thường, hỗ trợ tái định cư, kinh phí tổ chức thực hiện bồi thường giải phóng mặt bằng không tính đến trong tổng chi phí phát triển.
3. Các khoản mục chi phí trên được xác định trên cơ sở điều tra, khảo sát, thu thập các khoản mục chi phí thực tế phổ biến của các dự án bất động sản tương tự và mặt bằng giá trên thị trường (như nguyên, nhiên vật liệu, đơn giá nhân công, thiết bị) tại thời điểm thẩm định giá, phù hợp với các quy định của pháp luật về xây dựng và những nội dung liên quan quy định tại Chuẩn mực thẩm định giá Việt Nam về Cách tiếp cận từ chi phí. Khi không thu thập được các thông tin trên thị trường về các khoản mục chi phí, có thể áp dụng các quy định hiện hành của cơ quan nhà nước có thẩm quyền về các phương pháp xác định tổng chi phí đầu tư dự án, các định mức kinh tế - kỹ thuật, đơn giá xây dựng, suất vốn đầu tư của các dự án bất động sản tương tự theo từng năm dự báo phù hợp với tiến độ xây dựng dự án bất động sản; tuy nhiên cần lập luận về mức độ phù hợp với mục đích và thời điểm thẩm định giá và thực hiện việc điều chỉnh các định mức, đơn giá và suất vốn đầu tư (nếu cần thiết) trước khi đưa vào sử dụng.
Trường hợp pháp luật quy định việc xác định các khoản mục chi phí phải thực hiện theo các định mức kinh tế - kỹ thuật, đơn giá xây dựng, suất vốn đầu tư do cơ quan nhà nước có thẩm quyền ban hành thì sử dụng các định mức, đơn giá, suất vốn đầu tư đó để xác định tổng chi phí phát triển của bất động sản.
4. Việc xác định tổng chi phí phát triển của bất động sản cần tính đến mức biến động giá trị của các khoản mục chi phí kéo dài cả vòng đời dự án bất động sản (nếu có) để đảm bảo phù hợp mức biến động nguyên nhiên vật liệu trong suốt giai đoạn dự báo dòng tiền.
5. Tổng chi phí phát triển được xác định thông qua cách tiếp cận từ thị trường hoặc cách tiếp cận từ thu nhập.
a) Trường hợp tổng chi phí phát triển bất động sản chi phát sinh trong cùng 01 năm, chi phí phát triển được tính toán theo mặt bằng giá tại thời điểm thẩm định giá đối với bất động sản sau khi đầu tư xây dựng bán lại toàn bộ sản phẩm tại thời điểm thẩm định giá;
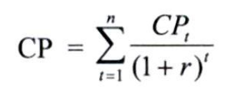
b) Trường hợp quá trình phát triển bất động sản kéo dài nhiều năm và phát sinh các khoản chi phí, việc chuyển đổi tổng chi phí phát triển của bất động sản về thời điểm thẩm định giá được thực hiện theo công thức tổng quát sau:

Điều 10. Xác định tỷ suất chiết khấu (r)
1. Việc xác định tỷ suất chiết khấu cần phản ánh được giá trị biến đổi theo thời gian của tiền và các rủi ro liên quan đến dòng tiền phát sinh trong quá trình xây dựng, hoàn thành và vận hành dự án bất động sản.
2. Tỷ suất chiết khấu được xác định theo một trong các cách sau:
a) Tỷ suất chiết khấu xác định theo cách tiếp cận từ thu nhập được quy định tại Chuẩn mực thẩm định giá Việt Nam về Cách tiếp cận từ thu nhập;
b) Tỷ suất chiết khấu được xác định trên cơ sở lãi suất cho vay trung hạn bình quân của loại tiền gửi VNĐ tại các ngân hàng thương mại do Nhà nước nắm giữ trên 50% vốn điều lệ hoặc tổng số cổ phần có quyền biểu quyết có trụ sở hoặc chi nhánh trên địa bàn cấp tỉnh tại thời điểm thẩm định giá để thực hiện dự án đầu tư, kinh doanh bất động sản./.
BỘ TÀI CHÍNH
Văn bản pháp luật này thuộc lĩnh vực Đất đai được HoaTieu.vn cập nhật và đăng tải, mời các bạn sử dụng file tải về để lưu làm tài liệu sử dụng.
Thông tư 42/2024/TT-BTC về Chuẩn mực thẩm định giá Việt Nam về Thẩm định giá bất động sản
100,6 KB 30/07/2024 4:06:00 CH-
Tải Thông tư 42/2024/TT-BTC pdf
| Cơ quan ban hành: | Bộ Tài chính | Người ký: | Lê Tấn Cận |
| Số hiệu: | 42/2024/TT-BTC | Lĩnh vực: | Đất đai |
| Ngày ban hành: | 20/06/2024 | Ngày hiệu lực: | 05/08/2024 |
| Loại văn bản: | Thông tư | Ngày hết hiệu lực: | Đang cập nhật |
| Tình trạng hiệu lực: | Còn hiệu lực |
-
Chia sẻ:
Trần Thu Trang
- Ngày:
Theo Nghị định 147/2024/ND-CP, bạn cần xác thực tài khoản trước khi sử dụng tính năng này. Chúng tôi sẽ gửi mã xác thực qua SMS hoặc Zalo tới số điện thoại mà bạn nhập dưới đây:
Hướng dẫn & Hỗ trợ
Chọn một tùy chọn bên dưới để được giúp đỡ
Bài liên quan
-
Nghị định số 100/2024/NĐ-CP về Luật Nhà ở về phát triển và quản lý nhà ở xã hội
-
Tải Nghị định 95/2024/NĐ-CP quy định một số điều của Luật Nhà ở 2023 file Doc, Pdf
-
Chính sách mới có hiệu lực từ tháng 12/2024
-
Thông tư 02/2024/TT-BVHTTDL điều kiện thăng hạng viên chức ngành thư viện, di sản văn hóa
-
Đất không có Sổ đỏ có được xây nhà không 2025?
-
Khung giờ không được sử dụng còi xe từ 01/01/2025
-
Tải Thông tư 49/2024/TT-BTC về dự toán ngân sách nhà nước 2025 file Doc, Pdf
-
Tải Quyết định 11/2024/QĐ-TTg về nhà ở công vụ file Doc, Pdf
Pháp luật tải nhiều
-
Công văn 5228/SGDĐT-TССВ rà soát việc xét thăng hạng giáo viên tại TP Hồ Chí Minh
-
Dự thảo Thông tư sửa đổi Quy chế thi tốt nghiệp THPT theo Thông tư 24/2024/TT-BGDĐT
-
Trách nhiệm của thanh niên trong sự nghiệp công nghiệp hóa, hiện đại hóa đất nước
-
Điều lệ trường mầm non mới nhất
-
Quyết định 2732/QĐ-TTg: Phê duyệt Đề án tăng cường dạy và học ngoại ngữ giai đoạn 2025 - 2035, định hướng đến năm 2045
-
Ký hiệu biển số xe ô tô, mô tô của tổ chức, cá nhân nước ngoài 2025
-
Nghị định 47/2016/NĐ-CP quy định mức lương cơ sở đối với cán bộ, công chức, viên chức và lực lượng vũ trang
-
Chi tiết số tiết học của từng cấp học trong chương trình giáo dục phổ thông mới
-
Quy định về chuẩn nghề nghiệp giáo viên mầm non mới nhất
-
Lịch thi đánh giá năng lực năm 2026 mới nhất
Bài viết hay Xây dựng - Đô thị - Đất đai - Nhà ở
-
Hướng dẫn 22/HD-VKSTC công tác kiểm sát giải quyết vụ án hành chính lĩnh vực đất đai
-
18 thay đổi về đất đai cần biết trước khi bước sang năm 2018
-
Văn bản hợp nhất 48/VBHN-VPQH 2018
-
Thông tư liên tịch 88/2016/TTLT/BTC-BTNMT trình tự, thủ tục tiếp nhận, luân chuyển hồ sơ xác định nghĩa vụ tài chính về đất đai
-
Thông tư 25/2016/TT-NHNN quy định về cho vay hỗ trợ nhà ở theo Nghị quyết 02/NQ-CP
-
Quyết định 5474/QĐ-UBND 2021 Thanh Hóa quy định hệ số điều chỉnh giá đất năm 2022
-
Thuế - Lệ phí - Kinh phí
-
Giáo dục - Đào tạo
-
Y tế - Sức khỏe
-
Thể thao
-
Bảo hiểm
-
Chính sách
-
Hành chính
-
Cơ cấu tổ chức
-
Quyền Dân sự
-
Tố tụng - Kiện cáo
-
Dịch vụ Pháp lý
-
An ninh trật tự
-
Trách nhiệm hình sự
-
Văn bản Nông - Lâm - Ngư nghiệp
-
Tài nguyên - Môi trường
-
Công nghệ - Thông tin
-
Khoa học công nghệ
-
Văn bản Giao thông vận tải
-
Hàng hải
-
Văn hóa Xã hội
-
Doanh nghiệp
-
Xuất - Nhập khẩu
-
Tài chính - Ngân hàng
-
Lao động - Tiền lương
-
Đầu tư - Chứng khoán - Thương mại
-
Xây dựng - Đô thị - Đất đai - Nhà ở
-
Lĩnh vực khác