Quy chuẩn khí thải 4 mức cho ô tô mới nhất 2026
Mua tài khoản Hoatieu Pro để trải nghiệm website Hoatieu.vn KHÔNG quảng cáo & Tải nhanh File chỉ từ 99.000đ. Tìm hiểu thêm »
Quy chuẩn quốc gia về khí thải mức 4 đối với xe ô tô
Ngày 23/12/2020, Bộ Giao thông vận tải ban hành Thông tư 33/2020/TT-BGTVT sửa đổi 01:2020 QCVN 86:2015/BGTVT quy chuẩn kỹ thuật quốc gia về khí thải mức 4 đối với xe ô tô sản xuất, lắp ráp và nhập khẩu mới.
Theo đó, ban hành kèm theo Thông tư 33/2020/TT-BGTVT "sửa đổi 01:2020 QCVN 86:2015/BGTVT quy chuẩn kỹ thuật quốc gia về khí thải mức 4 đối với xe ô tô sản xuất, lắp ráp và nhập khẩu mới".
CỘNG HÒA XÃ HỘI CHỦ NGHĨA VIỆT NAM
Sửa đổi 01:2020 QCVN 86:2015/BGTVT
QUY CHUẨN KỸ THUẬT QUỐC GIA VỀ KHÍ THẢI MỨC 4 ĐỐI VỚI XE Ô TÔ SẢN XUẤT, LẮP RÁP VÀ NHẬP KHẨU MỚI
National technical regulation on the fourth level of gaseous pollutants emission for new assembled, manufactured and imported automobiles
HÀ NỘI - 2020
Sửa đổi 01:2020 QCVN 86:2015/BGTVT
Lời nói đầu
Sửa đổi 01:2020 QCVN 86:2015/BGTVT sửa đổi, bổ sung một số quy định của QCVN 86:2015/BGTVT.
Sửa đổi 01:2020 QCVN 86:2015/BGTVT do Cục Đăng kiểm Việt Nam biên soạn, Vụ Môi trường trình duyệt, Bộ Khoa học và Công nghệ thẩm định, Bộ Giao thông vận tải ban hành kèm theo Thông tư số ................./TT-BGTVT ngày .... tháng .... năm 2020.
Quy chuẩn này được biên soạn trên cơ sở
1. TCVN 6785:2015 - Phương tiện giao thông đường bộ - Phát thải chất gây ô nhiễm từ ô tô theo nhiên liệu dùng cho động cơ - Yêu cầu và phương pháp thử trong phê duyệt kiểu (sau đây viết tắt là TCVN 6785).
2. TCVN 6567:2015 - Phương tiện giao thông đường bộ - Động cơ cháy do nén, động cơ cháy cưỡng bức sử dụng khí dầu mỏ hóa lỏng và động cơ sử dụng khí tự nhiên lắp trên ô tô - Yêu cầu và phương pháp thử trong phê duyệt kiểu (sau đây viết tắt là TCVN 6567).
3. TCVN 6565:2006 - Phương tiện giao thông đường bộ - Khí thải nhìn thấy được (khói) từ động cơ cháy do nén - Yêu cầu và phương pháp thử trong phê duyệt kiểu (sau đây viết tắt là TCVN 6565).
4. ECE 83-Rev03; Rev04 - Quy định phê duyệt kiểu xe về khí thải gây ô nhiễm theo các yêu cầu nhiên liệu động cơ (Uniform provisions concerning the approval of vehicles with regard to the emission of pollutants according to engine fuel requirements).
5. ECE 49-Rev05 - Quy định về xác định lượng phát thải các chất ô nhiễm dạng khí và dạng hạt từ động cơ cháy do nén và lượng phát thải các chất ô nhiễm dạng khí từ các động cơ cháy cưỡng bức sử dụng khí tự nhiên hoặc khí hóa lỏng (Uniform provisions concerning the measures to be taken against the emission of gaseous and particulate pollutants from compression- ignition engines for use in vehicles, and the emission of gaseous pollutants from positive-ignition engines fuelled with natural gas or liquefied petroleum gas for use in vehicles).
6. DIRECTIVE 2005/78/EC - Quy định về việc thực hiện Chỉ thị 2005/55/EC và các sửa đổi đối với việc xác định lượng phát thải các chất ô nhiễm dạng khí và dạng hạt từ động cơ cháy do nén và lượng phát thải các chất ô nhiễm dạng khí từ các động cơ cháy cưỡng bức sử dụng khí tự nhiên hoặc khí hóa lỏng (Implementing Directive 2005/55/EC of the European Parliament and of the Council on the approximation of the laws of the Member States relating to the measures to be taken against the emission of gaseous and particulate pollutants from compression-ignition engines for use in vehicles, and the emission of gaseous pollutants from positive ignition engines fuelled with natural gas or liquefied petroleum gas for use in vehicles and amending Annexes I, II, III, IV and VI thereto).
7. DIRECTIVE 2007/46/EC - Quy định về thiết lập Chỉ thị khung đối với chứng nhận kiểu loại xe cơ giới và linh kiện, hệ thống có liên quan (Establishing a framework for the approval of motor vehicles and their trailers, and of systems, components and separate technical units intended for such vehicles).
QUY CHUẨN KỸ THUẬT QUỐC GIA VỀ KHÍ THẢI MỨC 4 ĐỐI VỚI XE Ô TÔ SẢN XUẤT, LẮP RÁP VÀ NHẬP KHẨU MỚI
Sửa đổi 01:2020
National technical regulation on the fourth level of gaseous pollutants emission for new assembled, manufactured and imported automobiles
Amendment 1:2020
1.1. Sửa đổi khoản 1.3.6 Điều 1.3 Mục 1 như sau:
"1.3.6. Xe sử dụng nhiên liệu khí đơn (Mono-fuel gas vehicle): Là loại xe được thiết kế chủ yếu để chạy bằng một trong các loại nhiên liệu: khí thiên nhiên (NG) hoặc khí dầu mỏ hóa lỏng (LPG), nhưng cũng có thể có hệ thống nhiên liệu xăng chỉ để khởi động xe hoặc các trường hợp khẩn cấp. Tuy nhiên, dung tích thùng xăng không được vượt quá 15 lít."
1.2. Bổ sung khoản 1.3.41 và khoản 1.3.42 Điều 1.3 Mục 1:
1.2.1. Bổ sung khoản 1.3.41 Điều 1.3 như sau:
"1.3.41. Xe sát-xi (Incomplete Vehicle): Là xe ở dạng bán thành phẩm, có thể tự di chuyển, có buồng lái hoặc không có buồng lái, không có thùng chở hàng, không có khoang chở khách, không gắn thiết bị chuyên dùng."
1.2.2. Bổ sung khoản 1.3.42 Điều 1.3 như sau:
"1.3.42. Động cơ cháy cưỡng bức (Possitive ignition (P.l) engine): Động cơ làm việc theo nguyên lý cháy cưỡng bức, sau đây gọi tắt là động cơ P.I. (ví dụ, động cơ xăng)."
2.1. Sửa đổi Điều 2.1 Mục 2 như sau:
"2.1. Đối với xe áp dụng TCVN 6785
Các loại xe áp dụng TCVN 6785 bao gồm: Các xe lắp động cơ cháy cưỡng bức hoặc xe hybrid điện lắp động cơ cháy cưỡng bức và xe lắp động cơ cháy do nén hoặc xe hybrid điện lắp động cơ cháy do nén được phân loại trong Điều 1.3 QCVN 86:2015/BGTVT, sử dụng riêng hoặc kết hợp các loại nhiên liệu.
Việc áp dụng các phép thử trong TCVN 6785 đối với các loại xe nêu trên được quy định chi tiết trong khoản 3.3.1 Quy chuẩn này và điểm c, d khoản 3.3.1 QCVN 86:2015/BGTVT, Điều 3.4. Quy chuẩn này và điểm b, c, d khoản 3.3.2 QCVN 86:2015/BGTVT."
2.2. Sửa đổi Bảng 1 và Bảng 2 khoản 2.1.1 Điều 2.1 Mục 2:
2.2.1. Sửa đổi Bảng 1 khoản 2.1.1 Điều 2.1 như sau:
"Bảng 1. Giá trị giới hạn khí thải cho xe lắp động cơ cháy cưỡng bức - mức 4
|
Loại xe |
Khối lượng chuẩn Rm (kg) |
CO |
HC |
NOx |
|
|
L1 (g/km) |
L2 (g/km) |
L3 (g/km) |
|||
|
M (có khối lượng toàn bộ lớn nhất ≤ 2.500 kg) |
Tất cả |
1,00 |
0,10 |
0,08 |
|
|
M (có khối lượng toàn bộ lớn nhất > 2.500 kg) và N1 |
Nhóm I |
Rm ≤ 1.305 |
1,00 |
0,10 |
0,08 |
|
Nhóm II |
1.305 < Rm ≤ 1.760 |
1,81 |
0,13 |
0,10 |
|
|
Nhóm III |
1.760 < Rm |
2,27 |
0,16 |
0,11 |
|
|
N2 |
Tất cả |
2,27 |
0,16 |
0,11 |
|
“2.2.2. Sửa đổi Bảng 2 khoản 2.1.1 Điều 2.1 như sau:
"Bảng 2. Giá trị giới hạn khí thải của xe lắp động cơ điêzen - mức 4
|
Loại xe |
Khối lượng chuẩn Rm (kg) |
CO |
NOx |
HC + NOx |
PM |
|
|
L1 (g/km) |
L3 (g/km) |
L2 + L3 (g/km) |
L4 (g/km) |
|||
|
M (có khối lượng toàn bộ lớn nhất ≤ 2.500 kg) |
Tất cả |
0,50 |
0,25 |
0,30 |
0,025 |
|
|
M (có khối lượng toàn bộ lớn nhất > 2.500 kg)và N1 |
Nhóm I |
Rm ≤ 1.305 |
0,50 |
0,25 |
0,30 |
0,025 |
|
Nhóm II |
1.305 < Rm ≤ 1.760 |
0,63 |
0,33 |
0,39 |
0,04 |
|
|
Nhóm III |
1.760 < Rm |
0,74 |
0,39 |
0,46 |
0,06 |
|
|
N2 |
Tất cả |
0,74 |
0,39 |
0,46 |
0,06 |
|
“2.3. Bổ sung khoản 2.2.3 Điều 2.2 như sau:
"2.2.3. Đối với chu trình ETC, các tiêu chuẩn đánh giá liên quan tới sai số đường hồi quy được xác định tại Phụ lục 13 Quy chuẩn này."
3.1. Sửa đổi Điều 3.1 Mục 3 như sau:
"3.1. Phương thức kiểm tra, thử nghiệm khí thải của xe sản xuất, lắp ráp và nhập khẩu mới
Xe sản xuất, lắp ráp và nhập khẩu mới phải được kiểm tra khí thải theo các quy định hiện hành của Bộ trưởng Bộ Giao thông vận tải về kiểm tra chất lượng an toàn kỹ thuật và bảo vệ môi trường trong sản xuất, lắp ráp và nhập khẩu ô tô."
3.2. Sửa đổi điểm d khoản 3.2.2 Điều 3.2 Mục 3 như sau:
"d) Xe cần được chạy rà để đưa về điều kiện kỹ thuật tốt trước khi thử. Tổ chức, cá nhân đăng ký thử nghiệm có thể tự quyết định quãng đường chạy rà theo khuyến cáo của nhà sản xuất."
3.3. Sửa đổi điểm a, điểm b, Bảng 6 và bổ sung điểm e khoản 3.3.1 Điều 3.1 Mục 3:
3.3.1. Sửa đổi điểm a và điểm b khoản 3.3.1 Điều 3.1 như sau:
"a) Xe lắp động cơ cháy cưỡng bức
- Xe M1, M2, N1 và N2 có khối lượng chuẩn không lớn hơn 2.610 kg
+ Đối với xe sử dụng xăng, xe sử dụng nhiên liệu kép: Áp dụng các phép thử loại I theo TCVN 6785 nêu tại Điều 3.4 Quy chuẩn này, phép thử loại III theo TCVN 6785 và phép thử loại IV theo Phụ lục 9 QCVN 86:2015/BGTVT nêu tại điểm c và điểm d khoản 3.3.2 Điều 3.3 Mục 3 QCVN 86:2015/BGTVT.
+ Đối với xe chỉ sử dụng LPG hoặc NG, xe sử dụng nhiên liệu khí đơn: Áp dụng các phép thử loại I theo TCVN 6785 nêu tại Điều 3.4 Quy chuẩn này, phép thử loại III theo TCVN 6785 nêu tại điểm c khoản 3.3.2 Điều 3.3 Mục 3 QCVN 86:2015/BGTVT. Riêng xe loại M2 chỉ sử dụng LPG hoặc NG có thể thay thế phép thử loại I theo TCVN 6785 nêu tại Điều 3.4 Quy chuẩn này và phép thử loại III theo TCVN 6785 nêu tại điểm c khoản 3.3.2 Điều 3.3 Mục 3 QCVN 86:2015/BGTVT bằng việc áp dụng phép thử theo chu trình thử ETC theo TCVN 6567 nêu tại điểm e khoản 3.3.2 Điều 3.3 Mục 3 QCVN 86:2015/BGTVT nhưng không kiểm tra phát thải dạng hạt (PM).
- Xe M1, M2, N1 và N2 có khối lượng chuẩn lớn hơn 2.610 kg và các xe loại M3, N3.
+ Đối với xe sử dụng xăng, xe sử dụng nhiên liệu kép: Áp dụng các phép thử loại II và loại III theo TCVN 6785 nêu tại các điểm b và điểm c khoản 3.3.2 Điều 3.3 Mục 3 QCVN 86:2015/BGTVT.
+ Đối với xe sử dụng nhiên liệu khí đơn: Áp dụng các phép thử loại II và loại III theo TCVN 6785 nêu tại các điểm b và điểm c khoản 3.3.2 Điều 3.3 Mục 3 QCVN 86:2015/BGTVT có thể thay thế các phép thử loại II và loại III theo TCVN 6785 bằng việc áp dụng phép thử theo chu trình thử ETC theo TCVN 6567 nêu tại điểm e khoản 3.3.2 Điều 3.3 Mục 3 QCVN 86:2015/BGTVT nhưng không kiểm tra phát thải dạng hạt (PM).
+ Đối với xe chỉ dùng LPG hoặc NG: Áp dụng phép thử theo chu trình thử ETC theo TCVN 6567 nêu tại điểm e khoản 3.3.2 Điều 3.3 Mục 3 QCVN 86:2015/BGTVT nhưng không kiểm tra phát thải dạng hạt (PM).
b) Xe lắp động cơ cháy do nén
- Đối với xe loại M1:
+ Có khối lượng chuẩn không lớn hơn 2.610 kg: Áp dụng phép thử loại I theo TCVN 6785 nêu tại Điều 3.4 Quy chuẩn này và kiểm tra độ khói theo TCVN 6565 nêu tại điểm đ khoản 3.3.2 Điều 3.3 Mục 3 QCVN 86:2015/BGTVT.
+ Có khối lượng chuẩn lớn hơn 2.610 kg: Áp dụng phép thử theo chu trình thử ESC, ELR và ETC theo TCVN 6567 nêu tại điểm e khoản 3.3.2 và kiểm tra độ khói theo TCVN 6565 nêu tại điểm đ khoản 3.3.2 Điều 3.3 Mục 3 QCVN 86:2015/BGTVT. Trường hợp xe hạng nhẹ loại M1 có thể thực hiện phép thử loại I theo TCVN 6785 nêu tại Điều 3.4 Quy chuẩn này thay cho phép thử theo chu trình ESC, ELR và ETC theo TCVN 6567 nêu trên.
- Đối với xe loại N1: Áp dụng phép thử loại I theo TCVN 6785 nêu tại Điều 3.4 Quy chuẩn này và kiểm tra độ khói theo TCVN 6565 nêu tại điểm đ khoản 3.3.2 Điều 3.3 Mục 3 QCVN 86:2015/BGTVT. Trường hợp các xe N1 có khối lượng chuẩn lớn hơn 2.610 kg có thể áp dụng các phép thử theo chu trình ESC, ELR và ETC theo TCVN 6567 nêu tại điểm e khoản 3.3.2 Điều 3.3 Mục 3 QCVN 86:2015/BGTVT thay cho phép thử loại I theo TCVN 6785 nêu trên.
- Đối với xe loại M2, N2:
+ Có khối lượng chuẩn không lớn hơn 2.610 kg: Áp dụng phép thử loại I theo TCVN 6785 nêu tại Điều 3.4 Quy chuẩn này và kiểm tra độ khói theo TCVN 6565 nêu tại điểm đ khoản 3.3.2 Điều 3.3 Mục 3 QCVN 86:2015/BGTVT.
+ Có khối lượng chuẩn lớn hơn 2.610 kg: Thực hiện phép thử theo chu trình thử ESC, ELR và ETC theo TCVN 6567 nêu tại điểm e và kiểm tra độ khói theo TCVN 6565 nêu tại điểm đ khoản 3.3.2 Điều 3.3 Mục 3 QCVN 86:2015/BGTVT.
Xe sử dụng nhiên liệu LPG hoặc NG phải được thử với sự thay đổi thành phần của LPG hoặc NG như quy định tại Phụ lục L TCVN 6785. Xe sử dụng nhiên liệu kép phải được thử với cả hai nhiên liệu trong đó phải thay đổi thành phần nhiên liệu LPG hoặc NG khi cung cấp như quy định tại Phụ lục L TCVN 6785. Tuy nhiên, đối với xe sử dụng nhiên liệu khí đơn thì chỉ thực hiện phép thử loại I bằng nhiên liệu dạng khí."
3.3.2. Sửa đổi Bảng 6 khoản 3.3.1 Điều 3.1 Mục 3 như sau:
"Bảng 6. Quy định về áp dụng các phép thử theo tiêu chuẩn tương ứng cho các loại xe
|
|
Tiêu chuẩn và phép thử |
||||||||||
|
|
TCVN 6785 (ECE 83) |
TCVN 6567 (ECE 49) |
TCVN 6565 (ECE 24) |
||||||||
|
I |
II |
Ill |
IV |
ESC |
ELR |
ETC |
|||||
|
Xe lắp động cơ cháy cưỡng bức |
Xe M1, M2, N1 và N2 có Rm ≤ 2.610 kg |
Xăng |
X |
- |
X |
X |
- |
- |
- |
- |
|
|
Nhiên liệu kép |
X |
- |
X |
X |
- |
- |
- |
- |
|||
|
Nhiên liệu khí đơn (trừ LPG hoặc NG) |
X |
- |
X |
- |
- |
- |
- |
- |
|||
|
LPG hoặc NG |
M1, N1, N2 |
X |
- |
X |
- |
- |
- |
- |
- |
||
|
M2(1) |
X |
- |
X |
- |
- |
- |
X (thay thế) |
- |
|||
|
Xe M1, M2, N1 và N2 có Rm >2.610 kg và các xe loại M3 vả N3 |
Xăng |
- |
X |
X |
- |
- |
- |
- |
- |
||
|
Nhiên liệu kép |
- |
X |
X |
- |
- |
- |
- |
- |
|||
|
Nhiên liệu khí đơn(2) |
- |
X |
X |
- |
- |
- |
X (thay thế) |
- |
|||
|
LPG hoặc NG |
- |
- |
- |
- |
- |
- |
X |
- |
|||
|
Xe lắp động cơ cháy do nén (trừ xe sử dụng nhiên liệu xăng) |
M1 có Rm ≤ 2.610 kg |
X |
- |
- |
- |
- |
- |
- |
X |
||
|
M1 có Rm >2.610 kg(3) |
X (thay thế) |
- |
- |
- |
X |
X |
|||||
|
N1(4) |
X |
- |
- |
- |
X (thay thế) |
X |
|||||
|
M3, N3 |
- |
- |
- |
- |
X |
X |
|||||
|
M2, N2 có Rm > 2.610 kg |
- |
- |
- |
- |
X |
X |
|||||
|
M2, N2 có Rm ≤ 2.610 kgH |
X |
- |
- |
- |
- |
X |
|||||
|
Xe hybrid điện lắp động cơ cháy cưỡng bức |
Xe hạng nhẹ |
X |
- |
X |
X |
- |
- |
||||
|
Xe hybrid điện lắp động cơ cháy do nén |
M1 và N1 |
X |
- |
- |
- |
- |
- |
||||
Chú thích:
(1) Có thể áp dụng TCVN 6567 với phép thử theo chu trình thử ETC hoặc TCVN 6785 với các phép thử loại I và loại III.
(2) Có thể áp dụng TCVN 6567 với phép thử theo chu trình thử ETC hoặc TCVN 6785 với các phép thử loại II và loại III.
(3) Có thể áp dụng TCVN 6785 với phép thử loại I hoặc TCVN 6567 với phép thử theo chu trình ESC, ELR và ETC.
(4) Xe loại N1 sử dụng nhiên liệu điêzen, khối lượng chuẩn lớn hơn 2.610 kg có thể áp dụng TCVN 6567 với phép thử theo chu trình thử ESC, ELR, ETC hoặc theo TCVN 6785 với phép thử loại I.
(5) Đối với xe M2 có khối lượng toàn bộ lớn nhất > 3.500 kg và xe N2: Việc dùng kết quả thử nghiệm phục vụ đánh giá rủi ro để xác định chu kỳ kiểm tra, thử nghiệm của cơ quan cấp giấy chứng nhận được áp dụng tương tự như đối với xe hạng nhẹ.
(x) Áp dụng.
(-) Không áp dụng."
3.3.3. Bổ sung điểm e khoản 3.3.1 Điều 3.1 Mục 3 như sau:
"e) Xe sát-xi: Các phép thử trong thử nghiệm khí thải đối với xe sát-xi được áp dụng tương tự như đối với các xe thành phẩm (nêu tại Bảng 6) được sản xuắt, lắp ráp từ loại xe sát-xi tương ứng. Việc áp dụng được quy định như sau:
- Đối với xe sát-xi không có buồng lái: Chỉ thử nghiệm đối với các loại xe mà xe thành phẩm được sản xuất, lắp ráp từ loại xe sát-xi này là xe hạng nặng. Việc thử nghiệm áp dụng các phép thử tương ứng theo TCVN 6567 và áp dụng thêm phép thử độ khói theo TCVN 6565 đối với động cơ cháy do nén dùng nhiên liệu điêzen.
- Đối với xe sát-xi có buồng lái: Các quy định về tiêu chuẩn áp dụng đối với xe sát-xi có buồng lái được nêu trong Bảng 7 dưới đây:
Bảng 7. Quy định về tiêu chuẩn áp dụng đối với xe sát-xi có buồng lái
|
Khối lượng chuẩn xe sát- xi có buồng lái (kg) |
Khối lượng chuẩn xe thành phẩm khi đăng ký thử nghiệm xe sát-xi (kg) |
Tiêu chuẩn áp dụng(2) |
|
> 2.610 |
Tất cả |
TCVN 6567 |
|
≤ 2.610 |
> 2.610 |
TCVN 6567 |
|
≤ 2.610 0) |
TCVN 6785 |
Chú thích:
(1) Trường hợp xe thành phẩm có khối lượng chuẩn sau khi được sản xuất, lắp ráp từ loại ô tô sát-xi tương ứng phù hợp với khối lượng chuẩn đã đăng ký thì xe thành phẩm sẽ được thừa nhận kết quả kiểm tra khí thải từ xe sát-xi.
(2) Áp dụng thêm phép thử độ khói theo TCVN 6565 đối với động cơ cháy do nén sử dụng nhiên liệu điêzen."
3.4. Sửa đổi điểm a khoản 3.3.2 Điều 3.2 Mục 3 như sau:
"a) Phép thử loại I theo TCVN 6785
- Yêu cầu về đặc tính nhiên liệu thực hiện phép thử theo quy định tại Phụ lục 7 QCVN 86:2015/BGTVT. Phải sử dụng các phương pháp lấy mẫu và phân tích các khí và các hạt theo đúng quy định.
- Xe lắp động cơ cháy do nén phải tiến hành chạy thuần hóa trước khi thử. Đối với xe lắp động cơ cháy cưỡng bức, việc chạy thuần hóa được tiến hành nếu nhà sản xuất đề nghị.
- Đối với các xe phải tiến hành thử nhiều hơn một lần thử, việc tiến hành chạy thuần hóa cần được thực hiện lại nếu thời gian tính từ khi kết thúc lần thử trước tới lần thử tiếp theo lớn hơn 36h.
- Chu trình thử được bắt đầu ngay sau khi động cơ được khởi động.
- Phép thử phải được tiến hành 3 lần. Các kết quả thu được từ mỗi lần thử bằng giá trị đo nhân với các hệ số suy giảm thích hợp nêu tại Bảng 8. Trong trường hợp có sử dụng hệ thống tái sinh định kỳ, thì phải nhân với hệ số Ki trong Phụ lục 12 Quy chuẩn này hoặc theo khai báo của nhà sản xuất. Trong mỗi lần thử, khối lượng các loại khí và PM (xe lắp động cơ cháy do nén) thu được phải nhỏ hơn các giới hạn tương ứng nêu trong Bảng 1 hoặc Bảng 2 Điều 2.2 Quy chuẩn này cho mỗi loại xe. Tuy nhiên, một trong ba kết quả đo được (mỗi kết quả đo là của một lần thử) đối với mỗi loại khí hoặc PM thì có thể lớn hơn nhưng không được quá 10% mức giới hạn quy định của mỗi loại nêu tại Bảng 1 hoặc Bảng 2 Điều 2.2 Quy chuẩn này với điều kiện là giá trị trung bình cộng của ba kết quả đo phải nhỏ hơn mức giới hạn quy định đó.
Bảng 8 - Hệ số suy giảm
|
Loại động cơ |
Các hệ số suy giảm |
||||
|
CO |
HC |
NOx |
HC + NOx |
PM |
|
|
Cháy cưỡng bức |
1,2 |
1,2 |
1,2 |
- |
- |
|
Cháy do nén |
1,1 |
- |
1,0 |
1,0 |
1,2 |
- Số lần thử quy định nêu trên sẽ được giảm trong các điều kiện xác định sau đây:
+ Chỉ phải thử một lần, nếu tất cả các khí và PM đều có: V1 ≤ 0,70 L;
+ Chỉ phải thử hai lần, nếu kết quả thử V1 của mỗi khí và PM không thỏa mãn điều kiện nêu trên nhưng vẫn thỏa mãn yêu cầu sau: V1 ≤ 0,85 L, V1 + V2 ≤ 1,70 L và V2 ≤ L, trong đó:
V1 là kết quả của lần thử thứ nhất; V2 là kết quả của lần thử thứ hai và L là giá trị giới hạn đối với mỗi loại khí và PM.
- Quy trình đo khí thải từ một đến ba lần thử trong phép thử loại I quy định tại Phụ lục 8 QCVN 86:2015/BGTVT."
3.5. Sửa đổi đoạn 1 Điều 3.6 Mục 3 như sau:
"Cơ sở sản xuất, lắp ráp phải báo cáo với cơ quan cấp Giấy chứng nhận An toàn kỹ thuật và Bảo vệ Môi trường về mọi sửa đổi của kiểu loại xe, động cơ sản xuất, lắp ráp đã được chứng nhận so với xe, động cơ mẫu dựa trên kết quả đánh giá và xác nhận của cơ sở thử nghiệm đã thử nghiệm xe, động cơ đó. Cơ quan này phải xem xét và đánh giá việc sửa đổi như sau:"
3.6. Sửa đổi đoạn 1 Điều 3.7 Mục 3 như sau:
"Đối với các xe M1, M2, N1, N2 có khối lượng chuẩn không quá 2.840 kg và thỏa mãn điều kiện mở rộng thừa nhận kết quả quy định tại Điều 3.7, Điều 3.8 Quy chuẩn này và tiết b, tiết c, tiết d điểm 3.7.1.1 khoản 3.7.1, điểm 3.7.1.2 khoản 3.7.1 và khoản 3.7.2 Điều 3.7 Mục 3 QCVN 86:2015/BGTVT thì được áp dụng kết quả thử nghiệm đối với các phép thử của xe M1, M2, N1, N2 tương ứng theo đề nghị của cơ sở sản xuất hoặc nhập khẩu. Việc mở rộng thừa nhận kết quả thử nghiệm chỉ áp dụng cho kiểu loại xe M1, N1, M2, N2 đã kiểm tra khí thải theo TCVN 6785 và cho kiểu loại xe đã kiểm tra độ khói theo TCVN 6565.
Các kiểu loại xe sản xuất, lắp ráp từ xe cơ sở nếu thỏa mãn điều kiện mở rộng thừa nhận kết quả nêu trên thì được thừa nhận kết quả kiểm tra khí thải từ xe cơ sở tương ứng."
3.7. Sửa đổi đoạn 1 khoản 3.7.1 Điều 3.7 Mục 3 như sau:
"Kết quả thử nghiệm khí thải xe mẫu của kiểu loại xe đã được cấp chứng nhận chất lượng (sau đây viết tắt là kiểu loại xe đã chứng nhận) có thể được mở rộng để thừa nhận là kết quả thử nghiệm cho một kiểu loại xe có bản đăng ký thông số kỹ thuật chính quy định tại Phụ lục 1 Quy chuẩn này khác bản đăng ký thông số kỹ thuật của kiểu loại xe đã chứng nhận như sau:
- Chỉ khác nhau về số loại/tên thương mại nêu tại khoản 1.2 Điều 1 Phụ lục 1 Quy chuẩn này.
- Hoặc chỉ khác nhau về số loại/tên thương mại, khối lượng toàn bộ lớn nhất (không làm thay đổi loại xe) và các thông số theo từng trường hợp quy định tại Điều 3.8 Quy chuẩn này, tiết b, tiết c, tiết d điểm 3.7.1.1 khoản 3.7.1 và tiết 3.7.1.2 khoản 3.7.1 Điều 3.7 Mục 3 QCVN 86:2015/BGTVT."
3.8. Sửa đổi tiết a điểm 3.7.1.1 khoản 3.7.1 Điều 3.7 Mục 3 như sau:
"a) Trường hợp 1:
- Khối lượng chuẩn khác khối lượng chuẩn của kiểu loại xe đã chứng nhận nhưng tương ứng có cấp quán tính thuộc một trong hai cấp quán tính liền kề cao hơn hoặc thuộc bất kỳ cấp quán tính nào thấp hơn trong Bảng 8 QCVN 86:2015/BGTVT.
- Đối với kiểu loại xe thuộc loại N1, N2: Khối lượng chuẩn thấp hơn khối lượng chuẩn của kiểu loại xe đã được chứng nhận khí thải và kết quả đo khí thải từ kiểu loại xe đã được chứng nhận không vượt quá các giá trị giới hạn khí thải quy định đối với kiểu loại xe được xét thừa nhận kết quả này."
3.9. Sửa đổi khoản 3.8.2 Điều 3.8 Mục 3 như sau:
"3.8.2. Cơ quan cấp giấy chứng nhận thực hiện việc kiểm tra theo yêu cầu nêu tại khoản 3.8.1 Điều 3.8 Mục 3 QCVN 86:2015/BGTVT định kỳ sau 36 tháng hoặc đột xuất theo các quy định hiện hành của Bộ Giao thông vận tải."
4.1. Bổ sung Điều 4.3 Mục 4 như sau:
"4.3. Lộ trình thực hiện
4.3.1. Đối với các kiểu loại xe sát-xi quy định tại khoản 3.3.3 Điều 3.3 Quy chuẩn này áp dụng sau 06 tháng kể từ ngày Quy chuẩn này có hiệu lực."
4.3.2. Các kiểu loại xe, động cơ không thuộc trường hợp quy định tại khoản 4.3.1 Điều này, áp dụng ngay khi Quy chuẩn này có hiệu lực.
PHỤ LỤC 1
(Đối với xe áp dụng TCVN 6785)
(Annex 1 - For vehicles applying TCVN 6785)
Bản đăng ký thông số kỹ thuật chính của động cơ và xe
(Essential characteristic of vehicle and engine)
1. Sửa đổi Điều 1 Phụ lục 1:
1.1. Sửa đổi khoản 1.1 như sau:
"1.1. Loại xe (Category of the vehicle) (M1, N1, M2, N2, xe sát-xi cho loại M1/M2/N1/N2):.... "
1.2. Sửa đổi khoản 1.3 như sau:
"1.3. Số loại/tên thương mại (nếu có) (Vehicle type/model code/ commercial name(s), (if available))
“1.3. Bổ sung khoản 1.14 -1.17 như sau:
"1.14. Khối lượng bản thân lớn nhất xe thành phẩm (lắp ráp từ xe sát-xi) theo đăng ký của nhà sản xuất (Maximum unladen mass of the completed vehicle as registed by the manufacturer (in the case of an incomplete vehicle)) ............................ kg
1.15. Số lượng lốp lắp và lốp dự phòng (numer of tyres and spare tyres): ..................................................
1.16. Vận tốc lớn nhất của xe (max speed of vehicle) (km/h): ............................
1.17. Chiều dài cơ sở của xe (wheel base of vehicle) (m) : ................................
“2. Sửa đổi Điều 2 Phụ lục 1:
2.1. Sửa đổi nội dung 2.2.11.2.a) như sau:
"a) Bộ chuyển đổi xúc tác: Có/Không(1) (Catalytic converter: Yes/No)
Số lượng bộ chuyển đổi xúc tác và các bộ phận (Number of catalytic converters and elements):
Kích thước và hình dáng các bộ chuyển đổi xúc tác (thể tích.................... )(6) (Dimensions and shape of the catalytic converter(s)(volume,...)):.....................................
Kiểu phản ứng xúc tác (6) (Type of catalytic action): .................................
Tổng lượng nạp của kim loại quí (6) (Total charge of precious metal): .................
Nồng độ tương đối(6) (Relative concentration): ...................................
Lõi bộ xúc tác (cấu trúc và vật liệu)(6) (Substrate (structure and material)): ...................
Mật độ lỗ (Cell density)(6): .................................................
Kiểu vỏ bọc các bộ chuyển đổi xúc tác (6) (Type of casing for catalytic converter(s))..................................................
.........................................................................
- Vị trí các bộ chuyển đổi xúc tác (chỗ lắp và các khoảng cách tham chiếu trong hệ thống xả): (Positioning of the catalytic converter(s) (place and reference distances in the exhaust system)) ........................................................
- Hệ thống/phương pháp tái sinh hệ thống xử lý sau xả, mô tả (Regeneration systems/method of exhaust after-treatment systems, description) (6) ...................................................
Số lượng chu trình của phép thử loại 1 hoặc số chu trình trên băng thử động cơ tương đương, giữa hai chu trình tái sinh trong những điều kiện tương đương với phép thử loại 1 (đoạn D trong hình 1, Phụ lục 12) (The number of Type I operating cycles, or equivalent engine test bench cycles, between two cycles where regenerative phases occur under the conditions equivalent to Type I test (Distance D in figure 1 in Annex 12)(6): ....................
Mô tả phương pháp xác định số lượng chu trình thử giữa hai chu trình tái sinh (Description of method employed to determine the number of cycles between two cycles where regenerative phases occur) (6):.............
Các thông số xác định mức chứa chất thải yêu cầu trước khi diễn ra quá trình tái sinh (VD: nhiệt độ, áp suất v.v...) (Parameters to determine the level of loading required before regeneration occurs (i.e.: temperature, pressure etc.)(6): ...........................................................
Mô tả phương pháp được sử dụng để chất tải cho hệ thống trong quy trình thử được mô tả chi tiết trong mục 3.1, Phụ lục 12 (Description of method used to load system in the test procedure described in paragraph 3.1. Annex 12) (6):................................................................
- Cảm biến ôxy - kiểu (Oxygen sensor: type)(6).........................................................
Vị trí lắp cảm biến ôxy (6): (Location of oxygen sensor):............................................
Dải kiểm soát của cảm biến ôxy (6): (Control range of oxygen sensor): ...................................
- Nhãn hiệu cảm biến ôxy (Make of oxygen sensor):..............................................................
Mã linh kiện (Identifying part number):.........................................................................
“2.2. Sửa đổi nội dung 2.2.11.2.e) như sau:
"e) Lọc hạt: Có/Không (1) (Particulate trap: Yes/No)
Kích thước và hình dáng lọc (dung tích) (6) (Dimensions and shape of the particulate trap (capacity)):
Kiểu lọc và kết cấu (6): (Type of particulate trap and design)...................................................
Vị trí lắp lọc (các khoảng cách tham chiếu trong hệ thống xả) (Location of the particulate trap (reference distances in the exhaust system))(6):...............................................
Hệ thống/phương pháp tái sinh lọc hạt. Mô tả và bản vẽ (Regeneration system/method. Description and drawing)(6): .................................................................
- Hệ thống/phương pháp tái sinh hệ thống xử lý sau xả, mô tả (Regeneration systems/method of exhaust after-treatment systems, description) (6) ................................................
Số lượng chu trình của phép thử loại 1 hoặc số chu trình trên băng thử động cơ tương đương, giữa hai chu trình tái sinh trong những điều kiện tương đương với phép thử loại 1 (đoạn D trong hình 1, Phụ lục 12) (The number of Type I operating cycles, or equivalent engine test bench cycles, between two cycles where regenerative phases occur under the conditions equivalent to Type I test (Distance D in figure 1 in Annex 12) (6): ....................................
Mô tả phương pháp xác định số lượng chu trình thử giữa hai chu trình tái sinh (Description of method employed to determine the number of cycles between two cycles where regenerative phases occur) (6):..............
Các thông số xác định mức chứa chất thải hạt yêu cầu trước khi diễn ra quá trình tái sinh (VD: nhiệt độ, áp suất v.v...) (Parameters to determine the level of loading required before regeneration occurs (i.e. temperature, pressure etc.) (6):...........................................
- Nhãn hiệu bộ lọc hạt (Make of particulate trap)(6):...............................................................
- Mã linh kiện (Identifying part number) (6): ...........................................................................
“2.3. Bổ sung điểm 2.2.12 - 2.2.15 như sau:
"2.2.12. Phương pháp kiểm soát sự phát thải khí cac-te (mô tả) (The crankcase emission pollution control method) (description)) ................................
2.2.13. Tốc độ tối đa cho phép của động cơ theo quy định của nhà sản xuất (Maximum permitted engine speed as prescribed by the manufacturer): ... r/min
2.2.14. Mô men xoắn hữu ích lớn nhất của động cơ trên băng thử (maximum net torque of engine on bench): ...(N.m) tại tốc độ động cơ (at engine speed): ..... r/min"
2.2.15. Bộ điều khiển điện tử (Engine electronic control unit (EECU)(all engine types))
2.2.15.1. Nhãn hiệu (Makes)............................................
2.2.15.2. Kiểu loại (Type):.................................................
2.2.15.3. Mã phần mềm điều khiển EECU (EECU software version/code (s)):..."
2.4. Sửa đổi mục (6) chú thích như sau:
"(6) Không áp dụng cho xe nhập khẩu đơn chiếc, không vì mục đích kinh doanh xe (Not apply for individual imported vehicles, not for commercial purpose)"
PHỤ LỤC 2
(Đối với xe áp dụng TCVN 6785)
(Annex 2 - For vehicles applying TCVN 6785)
Báo cáo thử nghiệm khí thải xe
(Test report of emission from vehicle)
1. Sửa đổi Điều 1 Phụ lục 2
1.1. Sửa đổi khoản 1.1 như sau:
"1.1. Loại (Category of the vehicle): (M1, N1, M2, N2, xe sát-xi cho loại M1/M2/N1/N2):....... "
1.2. Sửa đổi khoản 1.3 như sau:
"1.3. Số loại/tên thương mại (nếu có) (Vehicle type/model code/commercial name(s), (if available)): "
1.3. Bổ sung điểm 1.9.1 như sau:
"1.9.1 Khối lượng chuẩn lớn nhất của xe thành phẩm (lắp ráp từ xe sát-xi) (Maximum reference mass of the completed vehicle (in the case of an incomplete vehicle)) ............. kg."
2. Sữa đổi Điều 3 Phụ lục 2 như sau:
"3. Chú ý (Remark):
3.1. Kết quả kiểm tra trong mục 2.2 QCVN 86:2015/BGTVT chỉ đúng cho xe mẫu có số nhận dạng và số động cơ nêu trong báo cáo này (the results of the test in item 2.2 QCVN 86:2015/BGTVT refer exclusively to sample vehicle with VIN and engine number mentioned in this report).
3.2. Báo cáo này đi kèm bản khai thông số kỹ thuật của xe và động cơ (this report accompanies with essential characteristic of vehicle and engine)."
PHỤ LỤC 12
Quy trình thử đối với xe được trang bị hệ thống tái sinh định kỳ
1. Sửa đổi khoản 2.1 Điều 2 Phụ lục 12 như sau:
"2.1. Họ xe được trang bị hệ thống tái sinh định kỳ
Quy trình này áp dụng cho các xe được trang bị hệ thống tái sinh định kỳ như được định nghĩa ở mục 1.3.38 QCVN 86:2015/BGTVT. Để áp dụng Phụ lục này có thể tạo ra các họ xe (gồm một nhóm các kiểu xe có cùng một xe gốc). Theo đó, các kiểu xe được trang bị hệ thống tái sinh nếu có các thông số dưới đây giống nhau hoặc nằm trong khoảng sai lệch cho phép, thì được coi là thuộc về một họ xe liên quan đến các phép đo đặc trưng đối với các hệ thống tái sinh định kỳ đã được định nghĩa.”
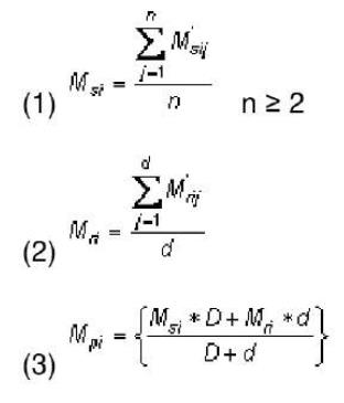
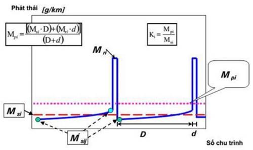
2. Sửa đổi khoản 3.3 Điều 3 Phụ lục 12 như sau:
"3.3. Tính toán lượng phát thải đối với một hệ thống tái sinh định kỳ

Trong đó:
M'sij = Khối lượng phát thải chất ô nhiễm (i) (g/km) trong một chu trình phép thử loại I (hoặc chu trình trên băng thử động cơ tương đương) không có quá trình tái sinh.
M'rij = Khối lượng phát thải chất ô nhiễm (i) (g/km) trong một chu trình phép thử loại I (hoặc chu trình trên băng thử động cơ tương đương) có diễn ra quá trình tái sinh (nếu d > 1, phép thử loại I đầu chạy nguội, các chu trình tiếp theo chạy nóng).
Msi = Giá trị trung bình của khối lượng phát thải chất ô nhiễm (i) (g/km) không có quá trình tái sinh.
Mri = Giá trị trung bình của khối lượng phát thải chất ô nhiễm (i) (g/km) trong quá trình tái sinh.
Mpi = Khối lượng phát thải chất ô nhiễm (i) (g/km).
n = Số lượng điểm đo mà ở đó việc đo khí thải (các chu trình phép thử loại I hoặc các chu trình trên băng thử động cơ tương đương) được thực hiện giữa hai chu trình tái sinh, n ≥ 2.
d = Số lượng chu trình thử trong quá trình tái sinh.
D = Số lượng chu trình thử giữa hai chu trình tái sinh.
Để rõ hơn về các thông số cần đo, xem Hình 1 bên dưới

Hình 1. Các thông số cần đo khi thử nghiệm, trong khi và giữa các chu trình
xảy ra quá trình tái sinh.
3.3.1 Cách tính toán hệ số tái sinh K cho từng chất ô nhiễm
Ki = Mpi / Msi
Kết quả của Msi, Mpi và Ki phải được lưu trong báo cáo thử nghiệm của cơ sở thử nghiệm
Ki có thể được xác định sau khi hoàn thành một chuỗi công việc."
Bổ sung Phụ lục 13 như sau:
"PHỤ LỤC 13
(Đối với xe áp dụng TCVN 6567)
(Annex 13 - For vehicles applying TCVN 6567)
Đối với chu trình ETC áp dụng TCVN 6567, sai số của phép phân tích hồi quy phải thỏa mãn giới hạn được nêu trong bảng sau:
|
|
Tốc độ |
Mô men |
Công suất |
|
Sai số ước lượng chuẩn (SE) của y theo x |
Lớn nhất: 100 r/min |
Lớn nhất: 13% (15%)(1) mô men lớn nhất của động cơ lập mô hình đặc tính công suất |
Lớn nhất: 8% (15%)(1) công suất lớn nhất của động cơ lập mô hình đặc tính công suất |
|
Độ dốc của đường hồi quy, m |
0,95 đến 1,03 |
0,83 đến 1,03 |
0,89 đến 1,03 (0,83 đến 1,03)0 |
|
Hệ số xác định (r2) |
nhỏ nhất: 0,9700 (nhỏ nhất: 0,9500) (1) |
nhỏ nhất: 0,8800 (nhỏ nhất: 0,7500) (1) |
nhỏ nhất: 0,9100 (nhỏ nhất: 0,7500) (1) |
|
Phần đoạn bị chắn y của đường hồi quy, b |
nhỏ nhất: 50 r/min |
± 20 Nm hoặc ± 2% (± 20 Nm hoặc ± 3%) (D mô men lớn nhất (chọn giá trị lớn hơn) |
± 4 kW hoặc ± 2% (± 4 kW hoặc ± 3% )(1) công suất lớn nhất (chọn giá trị lớn hơn) |
|
(1) Các số liệu trong ngoặc có thể được sử dụng để thử nghiệm trong phê duyệt kiểu loại đối với động cơ sử dụng nhiên liệu khí (gas engine). |
|||
Mời các bạn tham khảo thêm các thông tin hữu ích khác trên chuyên mục Phổ biến pháp luật của HoaTieu.vn.
-
Chia sẻ:
Trần Thu Trang
- Ngày:
Tham khảo thêm
Theo Nghị định 147/2024/ND-CP, bạn cần xác thực tài khoản trước khi sử dụng tính năng này. Chúng tôi sẽ gửi mã xác thực qua SMS hoặc Zalo tới số điện thoại mà bạn nhập dưới đây:
Phổ biến Pháp luật tải nhiều
Pháp luật tải nhiều
-
Công văn 1886/SGDĐT-TCCB về việc tạm dừng tuyển dụng viên chức trường công lập tại Hà Nội
-
Quyết định 1130/QĐ-BGDĐT về việc công bố thủ tục hành chính mới ban hành lĩnh vực GD&ĐT thuộc hệ thống giáo dục quốc dân
-
Hướng dẫn 2518/HD-TSQS dự thi đánh giá năng lực các trường Quân đội năm 2026
-
Công văn 2272/BGDĐT-KHCNTT của BGDĐT về việc hướng dẫn triển khai mô hình hợp tác giữa Nhà nước - Nhà trường - Doanh nghiệp
-
Kế hoạch 165/KH-UBND Thi đua 150 ngày đêm xây dựng 1.000 phòng học tại TP.HCM
-
Quy trình đánh giá chuẩn hiệu trưởng cơ sở giáo dục phổ thông
-
Quyết định 54/2026/QĐ-UBND của UBND Thành phố Hà Nội về cơ sở giáo dục chất lượng cao
-
Quyết định 2364/QĐ-UBND sửa đổi, bổ sung hỗ trợ học phí sinh viên sư phạm tại Hà Nội
-
Quyết định 2664/QĐ-UBND của UBND TP.HCM về thành lập Ban Chỉ đạo thi tốt nghiệp THPT trên địa bàn thành phố năm 2026
-
Quyết định 2663/QĐ-UBND của UBND TP.HCM về thành lập Ban chỉ đạo các kỳ thi tuyển sinh đầu cấp năm học 2026 - 2027
Bài viết hay Phổ biến Pháp luật
-
Biểu mẫu nghị định 122 2020 về đăng ký doanh nghiệp
-
Quy trình khám nghiệm hiện trường vụ tai nạn giao thông đường bộ mới nhất từ 2025
-
Hướng dẫn làm bài Cuộc thi học sinh với an ninh mạng 2026 online
-
Nghĩa vụ công an 2025 - 12 thông tin quan trọng cần biết
-
Quy định tách thửa, hợp thửa đất tại Hà Nội 2026
-
Cách thay đổi nguyện vọng sau khi biết điểm 2026