Đề thi Toán quốc tế TIMO lớp 5
Mua tài khoản Hoatieu Pro để trải nghiệm website Hoatieu.vn KHÔNG quảng cáo & Tải nhanh File chỉ từ 99.000đ. Tìm hiểu thêm »
Đề luyện thi Toán TIMO lớp 5
Kỳ thi Olympic Toán học quốc tế TIMO được tổ chức hàng năm nhằm tạo cơ hội cho học sinh các khối lớp từ mẫu giáo đến trung học phổ thông có sở thích về Toán học tham gia. Trong bài viết này Hoatieu xin chia sẻ tổng hợp mẫu đề thi Toán TIMO lớp 5 có đáp án vòng loại và vòng quốc gia. Đây sẽ là tài liệu tham khảo và ôn tập bổ ích cho các em học sinh khi tham gia kì thi Toán quốc tế TIMO.
Dưới đây là bộ đề tổng hợp Toán TIMO lớp 5 của vòng loại và vòng quốc gia các năm trước. Mời các em cùng tham khảo.
Đề thi Toán TIMO lớp 5 vòng loại




Đề thi Toán TIMO lớp 5 vòng quốc gia
ĐỀ THI VÒNG 2 TIMO LỚP 5 NĂM 2024
Logical Thinking / Tư duy logic
1. A store had a box of toy cars. One half but 7 fewer toy cars were sold on the first day. One half of the remaining part but 9 fewer toy cars were sold on the second day. Finally, 20 toy cars are left. How many toy cars did the box contain originally?
One half: Một nửa; Feuer: Ít hơn; Remaining part: Phần còn lại; Left: Còn lại; Contain: Chứa; Originally: Ban đầu.
2. There are some chickens and rabbits. The number of chickens is 8 less than the number of rabbits. If there are 158 legs in total, how many rabbits are there? Chicken: Con gà; Rabbit: Con thỏ; Less than: Ít hơn; Leg: Cái chân; In total: Tổng cộng.
3. It takes 7 people 9 days to complete a task. How many days are required for 3 people to finish the same task?
Day: Ngày; Task: Công việc; Require: Cần; The same: Giống
4. According to the pattern shown below, what is the missing number?
Pattern: Quy luật; Missing number: Số còn thiếu.

5. There are 50 blue balls, 51 red balls and 29 green balls in a bag. At least how many balls should be picked up randomly to ensure there are 3 balls for each colour?
At least: Ít nhất; Randomly: Ngẫu nhiên; Ensure: Chắc chắn; Each colour: Mỗi màu.
Arithmetic / Số học
6. Find the value of 8 + 15 + 22 + 29 +.....+ 106 + 113 + 120 + 127 .
Value: Giá trị.
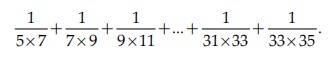
7. Find the value of
Value: Giá trị.

Mời các bạn xem trọn bộ 10 đề thi có kèm theo đáp án trong file tải về.
Mời các bạn tham khảo thêm các thông tin hữu ích khác trên chuyên mục Lớp 5 của HoaTieu.vn.
-
Chia sẻ:
Nguyễn Huyền Trang
- Ngày:
Đề thi Toán quốc tế TIMO lớp 5
5,4 MB 13/03/2025 9:06:00 SANhiều người quan tâm
Tham khảo thêm
-
Đề thi giữa kì 2 Tiếng Việt 5 kết nối tri thức
-
Đề ôn thi giữa kì 2 lớp 5 môn Tiếng Việt có đáp án
-
Đề thi giữa kì 2 Tiếng Việt 5 Chân trời sáng tạo 2026
-
Đề thi giữa kì 2 Toán 5 Cánh Diều 2026
-
Đề thi giữa kì 2 Tiếng Việt 5 Cánh Diều 2026
-
Đề thi giữa kì 2 Toán 5 Chân trời sáng tạo 2026
-
Đề thi giữa kì 2 Toán 5 Kết nối tri thức năm 2026
Theo Nghị định 147/2024/ND-CP, bạn cần xác thực tài khoản trước khi sử dụng tính năng này. Chúng tôi sẽ gửi mã xác thực qua SMS hoặc Zalo tới số điện thoại mà bạn nhập dưới đây:
-
Tiếng Việt
- Đề đọc hiểu
- Giữa học kì 1
-
Cuối học kì 1
- Đề thi học kì 1 Tiếng Việt 5 Kết nối tri thức
- Đề thi học kì 1 Tiếng Việt 5 Kết nối tri thức - Số 2
- Đề thi học kì 1 lớp 5 môn Tiếng Việt Chân trời sáng tạo
- Đề thi học kì 1 Tiếng Việt 5 Chân trời sáng tạo - Số 2
- Đề thi học kì 1 Tiếng Việt 5 Cánh diều
- Đề thi học kì 1 Tiếng Việt 5 Cánh diều - Số 2
- Đề thi học kì 1 môn Tiếng Việt lớp 5
- Giữa học kì 2
- Cuối học kì 2
-
Đề cương
- Đề cương ôn tập học kì 1 Tiếng Việt 5 Cánh Diều
- Đề cương ôn tập giữa học kì 2 Tiếng Việt 5 sách Chân trời sáng tạo
- Đề cương ôn tập giữa học kì 2 Tiếng Việt 5 sách Cánh diều
- Đề cương ôn tập giữa học kì 2 Tiếng Việt 5 sách Kết nối tri thức
- Đề cương ôn tập học kì 2 môn Tiếng Việt 5 sách Chân trời sáng tạo
- Đề cương ôn tập học kì 2 môn Tiếng Việt 5 sách Cánh diều
- Đề cương ôn tập học kì 2 môn Tiếng Việt 5 sách Kết nối tri thức
- Đề cương ôn thi cuối học kì 2 lớp 5 sách mới các môn học
- Toán
- Khoa học
- Đạo đức
-
Công nghệ
- Giữa học kì 1
-
Cuối học kì 1
- Đề thi Học kì 1 Công nghệ 5 Cánh Diều
- Đề thi cuối kì 1 Công nghệ 5 Kết nối tri thức
- Đề thi Học kì 1 Công nghệ 5 Chân trời sáng tạo
- Đề thi Học kì 1 Công nghệ lớp 5 sách mới
- Đề thi giữa kì 2 Công nghệ 5 Cánh Diều
- Đề thi giữa kì 2 Công nghệ 5 Chân trời sáng tạo
- Đề thi giữa kì 2 Công nghệ 5 Kết nối tri thức
- Cuối học kì 2
- Đề cương
- Lịch sử Địa lí
- Tin học
-
Tiếng Anh
- Giữa học kì 1
-
Cuối học kì 1
- Đề thi Tiếng Anh lớp 5 học kì 1 các bộ sách
- Đề khảo sát chất lượng đầu năm môn Tiếng Anh lớp 5
- Đề thi học kì 1 Tiếng Anh 5 Global Success
- Đề thi học kì 1 Tiếng Anh 5 I-Learn Smart Start
- Đề thi Học kì 1 Tiếng Anh 5 English Discovery
- Bộ 5 đề thi học kì 1 tiếng Anh 5 Global Success
- Bộ 5 đề thi học kì 1 tiếng Anh 5 Family and Friends
- Bộ 5 đề thi học kì 1 tiếng Anh 5 Wonderful world
- Bộ 5 đề thi học kì 1 tiếng Anh 5 i-Learn Smart Start
- Bộ 3 đề thi học kì 1 tiếng Anh 5 English Discovery
-
Cuối học kì 2
- Top 10 Đề thi học kì 2 Tiếng Anh lớp 5
- Đề thi cuối kì 2 Tiếng Anh 5 Discovery
- Đề thi cuối kì 2 Tiếng Anh 5 Family and friends
- Đề thi cuối kì 2 Tiếng Anh 5 Global Success
- Đề cương ôn thi cuối kì 2 Tiếng Anh 5 Global Success
- Đề cương ôn tập học kì 2 môn Tiếng Anh lớp 5
- Đề cương ôn thi giữa kì 2 Tiếng Anh 5 Family and Friends
- Học sinh giỏi
Đề thi, đề kiểm tra tải nhiều
-
Đề thi học sinh giỏi môn Tiếng Nhật lớp 9 cấp thành phố Đà Nẵng 2026
-
Đề thi học sinh giỏi môn Tiếng Pháp lớp 9 cấp thành phố Đà Nẵng 2026
-
Đề thi học sinh giỏi môn Tiếng Anh lớp 9 cấp thành phố Đà Nẵng 2026
-
Đề thi học sinh giỏi môn Sinh học lớp 9 cấp thành phố Đà Nẵng 2026
-
Đề thi học sinh giỏi môn Vật lí lớp 9 cấp thành phố Đà Nẵng 2026
-
Đề thi học sinh giỏi môn Hóa học lớp 9 cấp thành phố Đà Nẵng 2026
-
Đề thi học sinh giỏi môn Địa lí lớp 9 cấp thành phố Đà Nẵng 2026
-
Đề thi học sinh giỏi môn Tin học lớp 9 cấp thành phố Đà Nẵng 2026
-
Đề thi học sinh giỏi môn Lịch sử lớp 9 cấp thành phố Đà Nẵng 2026
-
Đề thi học sinh giỏi môn Ngữ văn lớp 9 cấp thành phố Đà Nẵng 2026
Bài viết hay Đề thi, đề kiểm tra
-
Đề cương ôn tập học kì 2 Khoa học tự nhiên 6 Chân trời sáng tạo
-
Bộ đề thi học kì 1 lớp 6, 7, 8, 9 môn KHTN Cánh diều Theo CV 7991 (Dạy nối tiếp)
-
Đề cương ôn tập học kì 2 Toán lớp 3 sách Kết nối tri thức
-
Đề thi học sinh giỏi Toán 10 Hà Nội
-
Đề cương ôn tập học kì 2 Khoa học 4 Cánh Diều
-
Bộ đề thi học kì 1 Toán lớp 9 có đáp án CV 7991