Cấu trúc đề thi THPT quốc gia 2025 môn Vật lí
Mua tài khoản Hoatieu Pro để trải nghiệm website Hoatieu.vn KHÔNG quảng cáo & Tải nhanh File chỉ từ 99.000đ. Tìm hiểu thêm »
Cấu trúc định dạng đề thi tốt nghiệp THPT 2025 môn Vật lí
Đề minh họa 2025 Vật lí vừa được Bộ giáo dục công bố nhằm giúp các em học sinh và quý phụ huynh nắm được cấu trúc đề thi THPT quốc gia 2025 môn Vật lí theo định hướng của chương trình giáo dục phổ thông mới.
Theo đó, đề minh họa theo cấu trúc định dạng mới được xây dựng theo hướng đánh giá năng lực, phù hợp với Chương trình giáo dục phổ thông 2018. Thông qua đề minh họa các em học sinh sẽ nắm được đề thi gồm mấy phần, có những dạng thức câu hỏi trắc nghiệm nào, những (thành phần) năng lực nào được đánh giá trong đề minh họa.
Nội dung đề minh họa 2025 môn Lí
PHẦN I. Câu trắc nghiệm nhiều phương án lựa chọn. Thí sinh trả lời từ câu 1 đến câu 18. Mỗi câu hỏi thí sinh chỉ chọn một phương án.
Câu 1: Đối tượng nghiên cứu của Vật lí học là
A. Thế giới sinh vật gồm thực vật, động vật, vi sinh vật, nấm, …
B. Các dạng vận động đơn giản, tổng quát nhất của vật chất và tương tác giữa chúng.
C. Thành phần cấu trúc, tính chất và sự biến đổi của các đơn chất và hợp chất.
D. Các dạng vận động của vật chất.
Câu 2: Nội dung nào dưới đây không thuộc các bước của tiến trình tìm hiểu tự nhiên dưới góc độ vật lí?
A. Đề xuất vấn đề liên quan đến vật lí.
B. Đưa ra phán đoán và xây dựng giả thuyết.
C. Kiểm tra giả thuyết (hay dự đoán).
D. Đánh giá được ảnh hưởng của một vấn đề thực tiễn.
Câu 3: Một ô tô chạy trên đoạn đường thẳng từ A đến B mất khoảng thời gian t. Trong 1/4 đầu của khoảng thời gian t này, ô tô có tốc độ là 40 km/h. Trong khoảng thời gian còn lại, ô tô có tốc độ là 60 km/h. Tốc độ trung bình của ô tô trên cả đoạn đường AB là
A. 45 km/h.
B. 49 km/h.
C. 55 km/h.
D. 50 km/h.
Câu 4: Một học sinh đo tốc độ trung bình của viên bi được giá trị v = (2,50 ± 0,04) m/s. Sai số tỉ đối của phép đo này là
A. 1,6%.
B. 2,5%.
C. 62,5%.
D. 4,0%.
Câu 5: Một học sinh đo chiều dài của một chiếc bút chì bằng thước có độ chia nhỏ nhất là 0,1 cm. Kết quả của 5 lần đo lần lượt là 16,0 cm; 16,1 cm; 15,9 cm; 16,2 cm; 15,8 cm. Chiều dài của bút chì là
A. (16,00 ± 0,12) cm.
B. (16,0 ± 0,1) cm.
C. (16,00 ± 0,22) cm.
D. (16,0 ± 0,2) cm.
Câu 6: Hai đại lượng nào sau đây là hai đại lượng vectơ?
A. Quãng đường và tốc độ.
B. Độ dịch chuyển và vận tốc.
C. Quãng đường và độ dịch chuyển.
D. Tốc độ và vận tốc.
Câu 7: Một mặt bàn hình chữ nhật ABCD có chiều dài AB = 0,8 m và chiều rộng BC = 0,6 m. Một con nhện bò dọc theo các cạnh của mặt bàn, từ A đến C. Độ dịch chuyển của con nhện là
A. 1,0 m.
B. 1,4 m.
C. 0,2 m.
D. 1,2 m.
Câu 8: Một vật chuyển động trên một đường thẳng Ox, chiều dương là chiều Ox. Xét trong một khoảng thời gian xác định, phát biểu nào sau đây đúng?
A. Vật chỉ chuyển động theo chiều dương, tốc độ trung bình nhỏ hơn vận tốc trung bình.
B. Vật chỉ chuyển động theo chiều âm, tốc độ trung bình nhỏ hơn vận tốc trung bình.
C. Vật chuyển động theo chiều dương và sau đó chuyển động theo chiều ngược lại, tốc độ trung bình lớn hơn vận tốc trung bình.
D. Vật chuyển động theo chiều âm và sau đó chuyển động theo chiều ngược lại, tốc độ trung bình bằng vận tốc trung bình.
Câu 9: Dựa vào độ dốc của đồ thị độ dịch chuyển - thời gian có thể xác định đại lượng nào sau đây?
A. Vận tốc.
B. Gia tốc.
C. Độ dịch chuyển.
D. Khoảng thời gian.
Câu 10: Hình bên là đồ thị độ dịch chuyển - thời gian của ô tô chuyển động thẳng theo một hướng xác định. Tốc độ lớn nhất của ô tô tương ứng với đoạn nào trên đồ thị?

A. 1.
B. 2.
C. 3.
D. 4.
Câu 11: Hình sau thể hiện giờ đi từ Hà Nội (02/01/2024) và giờ đến Vinh của các tàu SE7, SE5, SE3, SE19. Trong các tàu nói trên, tàu có tốc độ trung bình lớn nhất là

A. SE3.
B. SE5.
C. SE7.
D. SE19.
Câu 12: Một xe ô tô đồ chơi chuyển động trên đường thẳng có đồ thị độ dịch chuyển - thời gian như hình bên. Tốc độ của xe ô tô đồ chơi tại thời điểm 10 s là

A. 0,7 m/s.
B. 1,5 m/s.
C. 0 m/s.
D. 1 m/s.
Câu 13: Dựa vào độ dốc của đồ thị vận tốc - thời gian có thể xác định đại lượng nào sau đây?
A. Vận tốc.
B. Độ dịch chuyển.
C. Quãng đường.
D. Gia tốc.
Câu 14: Khi rơi trong không khí, sự rơi của vật nào sau đây có thể coi là rơi tự do?
A. Viên bi sắt.
B. Tờ giấy.
C. Quả bóng bàn.
D. Chiếc cốc nhựa.
Câu 15: Khi vật được thả rơi tự do thì gia tốc của vật
A. tăng lên.
B. giảm đi.
C. không đổi.
D. giảm đi rồi tăng lên.
Câu 16: Trong quá trình rơi tự do của viên bi sắt thì tốc độ của nó
A. giảm đi.
B. không thay đổi.
C. lúc đầu không thay đổi, về sau giảm đi.
D. tăng lên.
Câu 17: Một quả bóng được ném xiên góc xuống sàn, nó nảy lên theo phương hợp với phương nằm ngang một góc nào đó. Trong chuyển động nảy lên, thành phần vận tốc theo phương nằm ngang.
A. bị ảnh hưởng bởi trọng lực.
B. không bị ảnh hưởng bởi trọng lực.
C. có độ lớn tăng dần.
D. bị ảnh hưởng của lực tiếp xúc với mặt sàn.
Câu 18: Nếu bỏ qua sức cản của không khí, một vật được ném từ mặt đất sẽ đạt tầm xa cực đại khi góc giữa vận tốc ban đầu và phương nằm ngang là
A. 30o .
B. 37o .
C. 90o .
D. 45o .
PHẦN II. Câu trắc nghiệm đúng sai. Thí sinh trả lời từ câu 1 đến câu 4. Trong mỗi ý a), b), c), d) ở mỗi câu, thí sinh chọn đúng hoặc sai.
Câu 1: Khi chơi gôn (golf), người chơi cần đánh quả bóng gôn từ điểm xuất phát (Tee) sao cho quả bóng gôn đến được lỗ (Hole) trong vùng xanh (Green). Biết điểm gần nhất của vùng xanh cách điểm xuất phát 250 m.

Lấy g = 10 m/s2 .
a) Chuyển động của quả bóng gôn là chuyển động thẳng.
b) Bỏ qua sức cản của không khí, gia tốc của quả bóng gôn ở điểm cao nhất bằng gia tốc rơi tự do.
c) Tốc độ của quả bóng gôn ở điểm cao nhất bằng không.
d) Để quả bóng gôn từ điểm xuất phát đến được vùng xanh thì tốc độ ban đầu của nó không nhỏ hơn 50 m/s.
Câu 2: Một thiết bị tạo ra các chấm trên một băng giấy chuyển động với khoảng thời gian giữa 2 chấm liên tiếp là 0,02 s. Hình 1, Hình 2 và Hình 3 biểu diễn kết 3 quả chuyển động thẳng của băng giấy. Mốc thời gian được chọn tại chấm 0.

a) Kết quả ở Hình 1 chứng tỏ băng giấy chuyển động thẳng đều.
b) Kết quả ở Hình 2 và Hình 3 chứng tỏ băng giấy chuyển động nhanh dần.
c) Tốc độ trung bình của băng giấy ở Hình 1 và Hình 2 trong 0,1 s (tính từ mốc thời gian) là bằng nhau.
d) Độ lớn gia tốc của băng giấy ở Hình 2 lớn hơn độ lớn gia tốc của băng giấy ở Hình 3.
Câu 3: Trong một tình huống bóng đá, thủ môn xuất phát từ vạch ngang nối hai cột của khung thành chạy thẳng lên phía trước để bắt bóng. Hình bên là đồ thị độ dịch chuyển - thời gian của thủ môn. Điểm A tương ứng với điểm xuất phát, đoạn AB có dạng parabol, BC là đoạn thẳng.

a) Trong khoảng thời gian từ 0 s đến 6 s thủ môn không đổi hướng chuyển động.
b) Thủ môn tăng tốc trong khoảng thời gian từ 0 s đến 2 s.
c) Tốc độ chuyển động của thủ môn từ điểm B đến điểm C là 10 m/s.
d) Từ 4 giây đến 6 giây, vận tốc chuyển động của thủ môn có giá trị −10 m/s.
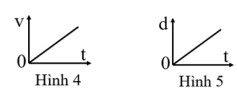
Câu 4: Từ tầng cao của một tòa nhà tại nơi có gia tốc trọng trường là 9,80 m/s2 , một vật rơi tự do chạm mặt đất hết thời gian 3,00 s (lúc t = 0 vật bắt đầu rơi, chiều dương là chiều chuyển động).

a) Đồ thị vận tốc - thời gian của vật rơi như Hình 4.
b) Đồ thị độ dịch chuyển - thời gian của vật rơi như Hình 5.
c) Tốc độ của vật khi chạm đất là 29,4 m/s.
d) Quãng đường rơi của vật (trong 3,00 s) là 44,1 m.
PHẦN III. Câu trắc nghiệm trả lời ngắn. Thí sinh trả lời từ câu 1 đến câu 6.
Câu 1: Chuyển động của một viên bi có đồ thị vận tốc - thời gian như hình bên. Ở thời điểm nào (tính bằng giây), vận tốc viên bi có giá trị bằng không?

Câu 2: Hình bên là ảnh chụp đồng hồ đo tốc độ trên ô tô đang chuyển động.
Tốc độ của ô tô tại thời điểm chụp ảnh là bao nhiêu km/h?

Câu 3: Một vận động viên chạy từ điểm xuất phát lên một quả đồi với tốc độ không đổi là 3 m/s. Khi chạy được 90 m thì vận động viên này lập tức chạy ngược lại theo đường cũ về điểm xuất phát với tốc độ không đổi là 6 m/s. Ở cả hành trình trên, tốc độ trung bình của vận động viên là bao nhiêu m/s?
Câu 4: Một viên đạn chuyển động có các thành phần vận tốc theo hai trục vuông góc Ox và Oy với độ lớn lần lượt νx = 10 m/s và νy = 30 m/s. Góc tạo bởi vận tốc của viên đạn và phương Oy là α có tanα là bao nhiêu? (Kết quả lấy đến 2 chữ số sau dấu phẩy thập phân).
Câu 5: Một quả bóng rơi tự do từ độ cao h (so với mặt đất) với thời gian rơi là t. Độ cao của quả bóng tại thời điểm t/2 (từ lúc bắt đầu rơi) bằng bao nhiêu phần của độ cao h?
Câu 6: Chuyển động của hai viên bi B1 và B2 có đồ thị vận tốc thời gian như hình bên.
Gọi s1 và s2 là quãng đường đi được tương ứng của B1 và B2 trong cùng thời gian. Tỉ số s2/s1 là bao nhiêu? (Kết quả lấy đến 1 chữ số sau dấu phẩy thập phân)

Mời các bạn tham khảo thêm các thông tin hữu ích khác trong nhóm Lớp 12 thuộc chuyên mục Học tập của HoaTieu.vn.
Tham khảo thêm
-
Đáp án chi tiết môn GDCD THPT Quốc gia 2024
-
200 Đề thi thử THPT Quốc gia môn Văn có đáp án (932 trang)
-
Cấu trúc đề thi THPT quốc gia 2025 môn Văn
-
So sánh điểm thi THPT quốc gia 2023 và 2024
-
Đáp án môn Sinh học THPT Quốc gia 2025
-
Trường Đại học Y Dược Huế tuyển sinh 2023
-
Đáp án Lịch sử THPT Quốc gia 2025 (Tất cả mã đề)
-
Đáp án GDCD THPT Quốc gia 2024 (24 mã đề)
-
Chia sẻ:
Trần Thu Trang
- Ngày:
Cấu trúc đề thi THPT quốc gia 2025 môn Vật lí
673,2 KB 30/12/2023 10:06:00 SANhiều người quan tâm
Theo Nghị định 147/2024/ND-CP, bạn cần xác thực tài khoản trước khi sử dụng tính năng này. Chúng tôi sẽ gửi mã xác thực qua SMS hoặc Zalo tới số điện thoại mà bạn nhập dưới đây:
Hướng dẫn & Hỗ trợ
Chọn một tùy chọn bên dưới để được giúp đỡ
Thi THPT Quốc Gia tải nhiều
-
Đề thi thử tốt nghiệp THPT 2025 môn Văn sở Nam Định lần 2
-
Đã có đáp án chính thức của Bộ 2025
-
Bộ đề thi thử THPT quốc gia 2022 môn Sử
-
Đáp án chi tiết đề thi THPT quốc gia môn Toán 2025 (Full 24 mã đề)
-
Kiến thức trọng tâm Lịch sử lớp 12 thi tốt nghiệp THPT 2025
-
Bộ đề tham khảo tốt nghiệp THPT 2025 Bộ GDĐT (15 môn)
-
Đề thi tốt nghiệp THPT môn Địa Mới nhất 2024
-
(Cập nhật nhanh nhất) 24 mã đề thi THPT quốc gia môn Sử
-
Đáp án đề minh họa Sinh 2025 (mới nhất)
-
Trọng tâm kiến thức Địa lý thi THPT quốc gia
Học tập tải nhiều
-
Bộ đề thi học kì 1 môn Tiếng Việt 5 năm 2025 - 2026 sách Cánh diều - Số 2
-
Kế hoạch tuyên truyền an toàn giao thông 2025 (6 Mẫu)
-
Bài tập về Câu
-
Ma trận đề thi học kì 1 môn Giáo dục Kinh tế và Pháp luật 10 (CV 7991)
-
Bộ đề thi học kì 1 Giáo dục Kinh tế và Pháp luật 11 năm 2025 - 2026 (Sách mới)
-
Đề thi học kì 1 Giáo dục Kinh tế và Pháp luật 11 Cánh diều
-
Bộ đề thi học kì 1 Giáo dục Kinh tế và Pháp luật 11 Chân trời sáng tạo
-
Bộ đề thi học kì 1 Giáo dục Kinh tế và Pháp luật 11 Kết nối tri thức
-
Bộ đề thi học kì 1 Giáo dục Kinh tế và Pháp luật 10 năm 2025 - 2026 (Sách mới)
-
Bộ đề thi học kì 1 Giáo dục Kinh tế và Pháp luật 10 Cánh diều
Bài viết hay Thi THPT Quốc Gia
-
Đề thi thử tốt nghiệp THPT 2025 môn Lịch sử sở Hải Dương
-
Đáp án đề tiếng Trung THPT Quốc gia 2024
-
Đề thi thử tốt nghiệp THPT 2025 môn Ngữ văn Bến Tre
-
Đề thi thử tốt nghiệp THPT 2025 môn Văn sở Bình Phước lần 2
-
Đề thi thử tốt nghiệp THPT 2025 môn Văn sở Quảng Bình lần 2
-
Đề minh hoạ tốt nghiệp THPT 2025 môn Kinh tế pháp luật Huế