Hướng dẫn 40-HD/BTCTW thực hiện biểu mẫu thống kê cơ bản về tổ chức đảng, đảng viên
Mua tài khoản Hoatieu Pro để trải nghiệm website Hoatieu.vn KHÔNG quảng cáo & Tải nhanh File chỉ từ 99.000đ. Tìm hiểu thêm »
Hướng dẫn 40-HD/BTCTW về Thống kê Tổ chức Đảng, Đảng viên
Để đảm bảo tính thống nhất, chính xác và khoa học trong toàn hệ thống, Ban Tổ chức Trung ương đã ban hành Hướng dẫn số 40-HD/BTCTWt hực hiện biểu mẫu thống kê cơ bản về tổ chức đảng, đảng viên. Hướng dẫn này không chỉ là cẩm nang nghiệp vụ giúp các cấp ủy, cán bộ làm công tác tổ chức thực hiện việc thống kê một cách đồng bộ mà còn là tiêu chuẩn bắt buộc nhằm nâng cao chất lượng hồ sơ, dữ liệu. Kính mời quý cấp ủy và đồng chí cán bộ nghiên cứu kỹ lưỡng nội dung Hướng dẫn số 40-HD/BTCTW cùng các biểu mẫu đính kèm để áp dụng chuẩn xác, kịp thời, góp phần nâng cao hiệu quả công tác quản lý tổ chức đảng, đảng viên trong đơn vị mình.
|
BAN CHẤP HÀNH TRUNG ƯƠNG |
ĐẢNG CỘNG SẢN VIỆT NAM |
|
Số 40-HD/BTCTW |
Hà Nội, ngày 10 tháng 10 năm 2025 |
HƯỚNG DẪN
THỰC HIỆN BIỂU MẪU THỐNG KÊ CƠ BẢN VỀ TỔ CHỨC ĐẢNG, ĐẢNG VIÊN
- Căn cứ Điều lệ Đảng;
- Căn cứ Quy định số 294-QĐ/TW, ngày 26/5/2025 của Ban Chấp hành Trung ương khóa XIII về thi hành Điều lệ Đảng;
- Căn cứ Hướng dẫn số 06-HD/TW, ngày 09/6/2025 của Ban Bí thư Trung ương Đảng khóa XIII về một số vấn đề cụ thể thi hành Điều lệ Đảng;
- Căn cứ Quyết định số 216-QĐ/TW, ngày 28/12/2024 của Bộ Chính trị khóa XIII về chức năng, nhiệm vụ, tổ chức bộ máy của Ban Tổ chức Trung ương
Ban Tổ chức Trung ương ban hành Hướng dẫn thực hiện biểu mẫu thống kê cơ bản về tổ chức đảng, đảng viên như sau:
I. NHỮNG VẤN ĐỀ CHUNG
1. Mục đích
Tổng hợp số liệu thống kê cơ bản nhằm xây dựng cơ sở dữ liệu đầy đủ, chính xác về tổ chức đảng và đảng viên, phục vụ cho việc phân tích, đánh giá, nhận định, dự báo tình hình, định hướng chỉ đạo và đề ra các giải pháp phù hợp, góp phần củng cố, nâng cao năng lực lãnh đạo, sức chiến đấu của tổ chức đảng và chất lượng đội ngũ đảng viên trong giai đoạn hiện nay.
2. Yêu cầu
- Số liệu thống kê phải được tổng hợp từ cơ sở lên.
- Việc tổng hợp số liệu phải chính xác, khoa học, đầy đủ, kịp thời; bảo đảm sự thống nhất giữa các tiêu chí, hình thức và nội dung báo cáo trong các biểu thống kê.
3. Phạm vi, nguyên tắc
a. Phạm vi thống kê: Tất cả tổ chức đảng và đảng viên trong có trong một đảng bộ, chi bộ.
b. Nguyên tắc: Mỗi tổ chức đảng, đảng viên,... chỉ được thống kê một lần, do một nơi thống kê và báo cáo theo biểu mẫu quy định để tránh trùng lặp, chồng chéo.
4. Chế độ báo cáo
a. Thời điểm tổng hợp số liệu thống kê
- Báo cáo 06 tháng, số liệu được tổng hợp tính đến hết ngày 30/6 của năm báo cáo gồm: Biểu số 1-BTCTW, Biểu số 2-BTCTW, Biểu số 4-BTCTW và Biểu số 5-BTCTW.
- Báo cáo năm, số liệu được tổng hợp hằng năm tính đến hết ngày 31/12 của năm báo cáo gồm: Biểu số 1-BTCTW, Biểu số 2-BTCTW, Biểu số 3- BTCTW, Biểu số 4-BTCTW, Biểu số 5-BTCTW và Biểu số 6-BTCTW.
- Riêng biểu số 7-BTCTW, số liệu được tổng hợp sau khi có kết quả đánh giá, xếp loại chất lượng tổ chức đảng và đảng viên hằng năm.
b. Thời gian gửi báo cáo thống kê
- Ngay khi kết thúc thời điểm báo cáo theo quy định ở trên (ngày 30/6 đối với báo cáo 6 tháng; ngày 31/12 đối với báo cáo năm): Cấp ủy cơ sở báo cáo cấp ủy cấp trên trực tiếp sau 05 ngày làm việc; cơ quan tham mưu về công tác tổ chức xây dựng Đảng (gọi chung là cơ quan tổ chức) của cấp ủy cấp trên trực tiếp cơ sở báo cáo cơ quan tổ chức của cấp ủy trực thuộc Trung ương sau 10 ngày làm việc; cơ quan tổ chức của cấp ủy trực thuộc Trung ương báo cáo Ban Tổ chức Trung ương sau 20 ngày làm việc.
- Đối với biểu số 7-BTCTW, cơ quan tổ chức của cấp ủy trực thuộc Trung ương báo cáo Ban Tổ chức Trung ương trước ngày 15/3 hằng năm.
- Đối với các biểu thống kê “Kết quả kiểm điểm, đánh giá, xếp loại chất lượng hằng năm đối với tổ chức đảng, đảng viên và tập thể, cá nhân cán bộ lãnh đạo, quản lý các cấp”, đề nghị thực hiện theo các văn bản quy định, hướng dẫn của Trung ương.
c. Hình thức báo cáo
Cơ quan tổ chức của cấp ủy trực thuộc Trung ương gửi báo cáo thống kê về Ban Tổ chức Trung ương qua 02 hình thức:
- Gửi bản quét (scan) có dấu hoặc chữ ký số (dạng *.pdf) kèm theo bản điện tử (dạng *.xlsx) về Ban Tổ chức Trung ương qua Hệ thống thông tin điều hành tác nghiệp các cơ quan Đảng.
- Cập nhật trên Phần mềm tổng hợp báo cáo qua địa chỉ http://thbc.btctw.dcs.vn trên mạng thông tin diện rộng của Đảng.
* Lưu ý:
- Các file điện tử gửi về Ban Tổ chức Trung ương phải được trích xuất từ Phần mềm tổng hợp báo cáo; không chỉnh sửa, thay đổi, bổ sung thêm.
II. HƯỚNG DẪN CỤ THỂ
BIỂU SỐ 1-BTCTW: THỐNG KÊ TĂNG, GIẢM ĐẢNG VIÊN
Thống kê số liệu 6 tháng đầu năm và cả năm.
Thống kê 6 tháng đầu năm ghi: “6 tháng đầu” vào dòng (...) và ghi năm báo cáo vào dòng (năm 20...).
Thống kê cả năm ghi năm báo cáo vào dòng (năm 20...).
Nội dung các cột trong biểu:
Cột 1: Tiêu chí thống kê.
Cột 2: Thống kê số đảng viên tăng, giảm xảy ra trong kỳ báo cáo.
Cột 3: Số liệu thống kê cùng kỳ năm trước chuyển sang[1].
Cột 4: Lấy số liệu ở cột 2 nhân với 100 rồi chia cho số liệu ở cột 3 để ra tỷ lệ (%) của kỳ này so với cùng kỳ năm trước (lấy 2 số thập phân sau dấu phẩy)[2].
Các mục trong biểu:
Mục A: Tổng số đảng viên cuối kỳ trước chuyển sang
Là tổng số đảng viên đã thống kê được (theo danh sách đảng viên và các tài liệu khác có liên quan do tổ chức cơ sở đảng và chi bộ trực thuộc đảng ủy cấp trên trực tiếp cơ sở quản lý) đến hết ngày 31/12 của năm trước (liền kề với kỳ báo cáo) chuyển sang.
Mục B: Đảng viên tăng trong kỳ
Được tính theo công thức:
Đối với đảng bộ trực thuộc Trung ương (gọi tắt là đảng bộ cấp tỉnh): B = 1 + 2a + 3
Đối với đảng bộ trực thuộc cấp ủy cấp tỉnh: B = 1 + 2a + 2b + 3
1. Kết nạp: Là số đảng viên mới được kết nạp trong kỳ báo cáo (trong đó gồm cả kết nạp mới và kết nạp lại).
2. Chuyển đến: Là số đảng viên ở các đảng bộ khác đã giới thiệu sinh hoạt đảng chính thức chuyển đến đảng bộ, cụ thể:
a. Đảng bộ cấp tỉnh khác chuyển đến: Là số đảng viên từ các đảng bộ cấp tỉnh khác đã giới thiệu sinh hoạt đảng chính thức chuyển đến đảng bộ trong kỳ báo cáo.
b. Đảng bộ khác trực thuộc cấp ủy cấp tỉnh chuyển đến: Là số đảng viên được chuyển đến từ các đảng bộ khác cùng trực thuộc một cấp ủy cấp tỉnh (gồm đảng bộ cấp trên trực tiếp cấp cơ sở, đảng bộ cơ sở trực thuộc tỉnh ủy, thành ủy,…).
3. Phục hồi đảng tịch (nếu có): Là số đảng viên trước đây đã bị tổ chức đảng khai trừ, xoá tên, nay được cấp uỷ có thẩm quyền công nhận lại quyền đảng viên trong kỳ báo cáo.
Mục C: Đảng viên giảm trong kỳ
Được tính theo công thức:
Đối với đảng bộ cấp tỉnh: C = 1 + 2 + 3 + 4 + 5a
Đối với đảng bộ trực thuộc cấp ủy cấp tỉnh: C = 1 + 2 + 3 + 4 + 5a + 5b
1. Từ trần: Là số đảng viên từ trần trong kỳ báo cáo.
2. Khai trừ: Là số đảng viên bị kỷ luật khai trừ khỏi Đảng trong kỳ báo cáo.
3. Xoá tên: Là số đảng viên chính thức và số đảng viên dự bị bị xoá tên khỏi danh sách đảng viên trong kỳ báo cáo; trong đó thống kê rõ:
a. Đảng viên dự bị: Số lượng đảng viên dự bị bị xóa tên khỏi danh sách đảng viên.
b. Lý do bị xóa tên (theo Điểm 8.1, Điều 8, Quy định số 294-QĐ/TW ngày 26/5/2025 của Ban Chấp hành Trung ương Đảng).
* Lưu ý: Tổng số trường hợp đảng viên bị xóa tên phải thống nhất với số liệu xóa tên tại điểm 3, mục C cùng kỳ báo cáo.
4. Xin ra khỏi Đảng: Là số đảng viên tự nguyện làm đơn xin ra khỏi Đảng đã được cấp uỷ có thẩm quyền quyết định cho ra khỏi Đảng; gồm các nhóm đối tượng sau:
- Cán bộ, công chức, viên chức (gồm cán bộ, công chức, viên chức cơ quan Nhà nước và cơ quan Đảng, Mặt trận Tổ quốc, các đoàn thể chính trị - xã hội)
- Cán bộ, công chức, viên chức sau khi về hưu, nghỉ thôi việc
- Học sinh, sinh viên
- Bộ đội, công an xuất ngũ
- Lãnh đạo, quản lý và lao động trong các doanh nghiệp
- Đối tượng khác (những đối tượng không thuộc 05 nhóm đối tượng nêu trên thì thống kê vào “Đối tượng khác”)
* Lưu ý: Tổng số trường hợp đảng viên xin ra khỏi Đảng phải thống nhất với số liệu xin ra khỏi Đảng tại điểm 4, mục C cùng kỳ báo cáo.
5. Chuyển đi: Là số đảng viên được cấp ủy giới thiệu sinh hoạt đảng chính thức chuyển đi đảng bộ khác trong kỳ báo cáo, cụ thể:
a. Chuyển đi đảng bộ cấp tỉnh khác: Là số đảng viên được cấp ủy giới thiệu sinh hoạt đảng chính thức chuyển đi đảng bộ cấp tỉnh khác trong kỳ báo cáo.
b. Chuyển đi đảng bộ khác trực thuộc cấp ủy cấp tỉnh: Là số đảng viên chuyển đi các đảng bộ khác cùng trực thuộc một cấp ủy cấp tỉnh.
Mục D: Đảng viên trong danh sách cuối kỳ báo cáo
Là tổng số đảng viên của đảng bộ có đến cuối kỳ báo cáo:
Được tính theo công thức: D = A + B - C
BIỂU SỐ 2-BTCTW: THỐNG KÊ ĐẢNG VIÊN MỚI KẾT NẠP
Thống kê số liệu 6 tháng đầu năm và cả năm.
Thống kê 6 tháng đầu năm ghi: “6 tháng đầu” vào dòng (...) và ghi năm báo cáo vào dòng (năm 20...).
Thống kê cả năm ghi năm báo cáo vào dòng (năm 20...).
Nội dung các cột trong biểu:
Cột 1: Thứ tự các tiêu chí cần thống kê và tổng hợp.
Cột 2: Thống kê số đảng viên mới kết nạp trong kỳ báo cáo.
Cột 3: Số liệu thống kê cùng kỳ năm trước.
Cột 4: Lấy số liệu ở cột 2 nhân với 100 rồi chia cho số liệu ở cột 3 để ra tỷ lệ (%) của kỳ này so với cùng kỳ năm trước (lấy 2 số thập phân sau dấu phẩy).
Các mục trong biểu
Mục I. Tổng số đảng viên mới kết nạp: Số liệu này phải thống nhất với số liệu kết nạp tại điểm 1, mục B, Biểu 1-BTCTW, cùng kỳ báo cáo.
Tổng số đảng viên trên được phân tích theo các tiêu chí: nữ; dân tộc thiểu số; người theo tôn giáo; đoàn viên Đoàn Thanh niên cộng sản Hồ Chí Minh; chủ doanh nghiệp tư nhân; quốc tịch gốc nước ngoài (thống kê số đảng viên mới kết nạp là người nước ngoài đã nhập quốc tịch Việt Nam, sau đó ghi chú tên quốc tịch gốc của những đảng viên đó xuống cuối biểu); có quan hệ hôn nhân với người nước ngoài; kết nạp lại.
Mục II. Phân tích đảng viên mới kết nạp:
1. Nghề nghiệp: Tổng số đảng viên mới kết nạp phân tích theo các nghề nghiệp nêu trên phải bằng tổng số đảng viên mới kết nạp.
- Cán bộ, công chức cơ quan Nhà nước;
- Cán bộ, công chức cơ quan Đảng, Mặt trận Tổ quốc, đoàn thể chính trị - xã hội;
- Người hoạt động không chuyên trách thôn, tổ dân phố;
- Viên chức, người lao động trong các đơn vị sự nghiệp công lập;
- Người lao động trong các đơn vị sự nghiệp ngoài công lập;
- Lãnh đạo, quản lý và lao động trong các doanh nghiệp:
+ Lãnh đạo, quản lý doanh nghiệp (bao gồm chủ doanh nghiệp tư nhân, thành viên hợp danh, chủ tịch hội đồng thành viên, thành viên hội đồng thành viên, chủ tịch công ty, chủ tịch hội đồng quản trị, thành viên hội đồng quản trị, giám đốc hoặc tổng giám đốc,... và cá nhân giữ chức danh quản lý khác có thẩm quyền nhân danh công ty ký kết giao dịch của công ty theo quy định tại Điều lệ công ty và Luật Doanh nghiệp hiện hành).
+ Nhân viên, người gián tiếp sản xuất (bao gồm những người hỗ trợ, phối hợp và quản lý hoạt động sản xuất kinh doanh nhưng không trực tiếp tham gia vào quá trình tạo ra sản phẩm; ví dụ: Nhân viên hành chính, kế toán,....)
+ Công nhân, lao động trực tiếp sản xuất (bao gồm những người trực tiếp tham gia vào quá trình sản xuất kinh doanh, tạo ra sản phẩm hoặc dịch vụ)
- Người làm nông, lâm, ngư nghiệp;
- Sỹ quan, chiến sỹ quân đội;
- Sỹ quan, chiến sỹ công an;
- Sinh viên;
- Học sinh;
- Khác (Lao động tự do,…).
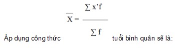
2. Tuổi đời:
Phân tích số lượng đảng viên mới được kết nạp theo 08 nhóm tuổi khác nhau, sau đó tính tuổi bình quân. Cách tính tuổi bình quân như sau:
- Tính trị số giữa cho từng nhóm tuổi, theo cách tính: Lấy tổng của tuổi đầu nhóm và tuổi cuối nhóm chia cho 2, cụ thể:
Nhóm tuổi đầu (từ 18 đến 30 tuổi).
Trị số giữa của nhóm tuổi này sẽ là: (18 + 30)/2 = 24
Theo cách tính trên, trị số giữa của nhóm tuổi: 31 - 35 là 33 tuổi; 36 - 40 là 38 tuổi; 41 - 45 là 43 tuổi; 46 - 50 là 48 tuổi; 51 - 55 là 53 tuổi; 56 - 60 là 58 tuổi; riêng nhóm trên 60 quy ước lấy độ tuổi cuối nhóm là 80. Trị số giữa của nhóm tuổi này sẽ là: (61 + 80): 2 = 70,5 tuổi.
- Tuổi bình quân: Ký hiệu là (X) được tính theo công thức:

Trong đó: x’ là trị số giữa của mỗi nhóm tuổi.
f là số đảng viên mới được kết nạp của mỗi nhóm tuổi.
Ví dụ: số đảng viên được kết nạp trong kỳ là 120 đồng chí.
Trong đó: Độ tuổi từ 18 - 30, có 40 đồng chí; độ tuổi từ 31 - 35, có 30 đồng chí; độ tuổi từ 36 - 40, có 25 đồng chí; độ tuổi từ 41 - 45, có 15 đồng chí; độ tuổi từ 46 - 50, có 06 đồng chí; độ tuổi từ 51 - 55, có 03 đồng chí; độ tuổi 56 - 60 tuổi có 01 đồng chí.


3. Trình độ giáo dục phổ thông:
- Biết đọc, biết viết chữ quốc ngữ: Là số đảng viên chưa hoàn thành chương trình giáo dục tiểu học.
- Tiểu học: Là số đảng viên đã hoàn thành chương trình tiểu học (kể cả hệ phổ thông, bổ túc văn hóa và giáo dục thường xuyên…). Tiểu học được tính từ lớp 1 đến lớp 5 (hệ 12 năm); từ lớp 1 đến lớp 4 (hệ 10 năm).
- Trung học cơ sở: Là số đảng viên đã hoàn thành chương trình trung học cơ sở (kể cả hệ phổ thông, bổ túc văn hóa và giáo dục thường xuyên…). Trung học cơ sở tính từ lớp 6 đến lớp 9 (hệ 12 năm); từ lớp 5 đến lớp 7 (hệ 10 năm).
- Trung học phổ thông: Là số đảng viên đã hoàn thành chương trình trung học phổ thông (kể cả hệ phổ thông, bổ túc văn hóa và giáo dục thường xuyên…). Trung học phổ thông tính từ lớp 10 đến hết lớp 12 (hệ 12 năm); từ lớp 8 đến lớp 10 (hệ 10 năm).
* Lưu ý: Tổng số đảng viên mới kết nạp được phân tích theo trình độ giáo dục phổ thông phải bằng tổng số đảng viên mới kết nạp.
4. Trình độ chuyên môn:
- Sơ cấp: Là số đảng viên đã có bằng hoặc chứng chỉ chứng nhận đã tốt nghiệp các lớp sơ cấp, dạy nghề hoặc chuyên môn kỹ thuật, nghiệp vụ dưới trình độ trung học chuyên nghiệp (ví dụ: Công nhân kỹ thuật, nhân viên nghiệp vụ,…).
- Trung cấp: Là số đảng viên đã có bằng tốt nghiệp các cơ sở giáo dục - đào tạo của bậc trung cấp chuyên nghiệp.
- Cao đẳng: Là số đảng viên đã có bằng tốt nghiệp các trường đào tạo bậc cao đẳng.
- Đại học: Là số đảng viên đã có bằng tốt nghiệp đào tạo bậc đại học (ví dụ: Cử nhân, kỹ sư,…).
- Thạc sĩ: Là số đảng viên đã có bằng thạc sĩ hoặc tương đương (ví dụ: Bác sĩ chuyên khoa I,...).
- Tiến sĩ: Là số đảng viên đã có bằng tiến sĩ hoặc tương đương (ví dụ: Bác sĩ chuyên khoa II,...).
*Lưu ý: Tổng số đảng viên được phân tích theo trình độ chuyên môn nêu trên phải bằng hoặc nhỏ hơn tổng số đảng viên mới được kết nạp.
Những đảng viên có nhiều bằng cấp (ví dụ vừa có bằng tốt nghiệp trung học chuyên nghiệp, vừa có bằng tốt nghiệp đại học) chỉ thống kê bằng cấp cao nhất (ở ví dụ trên là “đại học”).
5. Chức danh khoa học: Là số đảng viên được Nhà nước phong là phó giáo sư, giáo sư; nếu 1 đảng viên được phong cả 2 chức danh khoa học trên thì thống kê chức danh cao nhất.
BIỂU SỐ 3-BTCTW: THỐNG KÊ ĐỘI NGŨ ĐẢNG VIÊN
Thống kê số liệu cả năm, ghi năm báo cáo vào dòng (năm 20...).
Nội dung các cột trong biểu:
Cột 1: Thứ tự các tiêu chí cần thống kê và tổng hợp.
Cột 2: Đảng viên trong kỳ báo cáo.
Cột 3: Số liệu đảng viên thống kê cùng kỳ năm trước.
Cột 4: Lấy số liệu ở cột 2 nhân với 100 rồi chia cho số liệu ở cột 3 để ra tỷ lệ (%) của kỳ này so với cùng kỳ năm trước (lấy 2 số thập phân sau dấu phẩy).
Các mục trong biểu
Mục I. Đảng viên trong danh sách có đến cuối kỳ báo cáo: Là số đảng viên của mục D trong Biểu số 1-BTCTW.
Tổng số đảng viên trên được phân tích theo các tiêu chí: nữ; đảng viên dự bị; dân tộc thiểu số; người theo tôn giáo; đoàn viên Đoàn Thanh niên cộng sản Hồ Chí Minh; chủ doanh nghiệp tư nhân; quốc tịch gốc nước ngoài (thống kê số đảng viên là người nước ngoài, đã nhập quốc tịch Việt Nam, sau đó ghi chú tên quốc tịch gốc của những đảng viên đó xuống cuối biểu); có quan hệ hôn nhân với người nước ngoài; đảng viên được miễn công tác và sinh hoạt Đảng (trong đó thống kê riêng số đảng viên xin miễn công tác và sinh hoạt Đảng do tuổi cao, sức khỏe yếu).
Mục II. Phân tích đội ngũ đảng viên
1. Nghề nghiệp: Thống kê tổng số đảng viên đang làm việc, công tác (như phần 1, mục II của Biểu số 2-BTCTW); đảng viên hưu trí và đảng viên nghỉ thôi việc, nghỉ mất sức, phục viên (đối với lực lượng vũ trang),...
* Lưu ý: Tổng số đảng viên được phân tích theo nghề nghiệp phải bằng tổng số đảng viên trong danh sách có đến cuối kỳ báo cáo ở mục I.
2. Tuổi đời: Là số đảng viên trong danh sách có đến cuối kỳ báo cáo, được phân tích theo 08 nhóm tuổi như đã ghi trong Biểu. Khi tổng hợp, các cấp uỷ phải căn cứ vào hồ sơ đảng viên và danh sách đảng viên để tính tuổi cho từng đảng viên. Tuổi bình quân cũng được tính như hướng dẫn tại Biểu số 2-BTCTW.
3. Thời gian kết nạp vào Đảng: Căn cứ vào ngày kết nạp của đảng viên ghi trong lý lịch đảng viên.
4. Trình độ giáo dục phổ thông: Xem giải thích tại Biểu số 2-BTCTW.
5. Trình độ chuyên môn: Xem giải thích tại Biểu số 2-BTCTW.
6. Chức danh khoa học: Xem giải thích tại Biểu số 2-BTCTW.
7. Trình độ lý luận chính trị: Được phân tích 02 loại trình độ lý luận: trung cấp và cao cấp (hoặc cử nhân chính trị). Tổng số đảng viên được phân tích theo trình độ lý luận chính trị bằng hoặc nhỏ hơn số đảng viên.
* Lưu ý: Để bảo đảm thống kê số liệu chính xác, các cấp uỷ đảng phải thường xuyên kiểm tra, đối chiếu với lý lịch đảng viên và kịp thời cập nhật những thông tin thay đổi (nếu có); đồng thời, tập trung xây dựng hệ thống cơ sở dữ liệu đảng viên để thuận lợi trong công tác theo dõi, tổng hợp.
BIỂU SỐ 4-BTCTW: THỐNG KÊ ĐẢNG VIÊN VÀ CÔNG TÁC PHÁT TRIỂN ĐẢNG VIÊN THEO DÂN TỘC, TÔN GIÁO
Thống kê số liệu 6 tháng đầu năm và cả năm.
Thống kê 6 tháng đầu năm ghi: “6 tháng đầu” vào dòng (...) và ghi năm báo cáo vào dòng (năm 20...).
Thống kê cả năm ghi năm báo cáo vào dòng (năm 20...).
Nội dung các cột trong biểu:
Cột 1: Số thứ tự.
Cột 2: Tên các dân tộc, tôn giáo.
Cột 3: Tổng số đảng viên theo các dân tộc, tôn giáo.
Cột 4: Tổng số đảng viên mới kết nạp theo các dân tộc, tôn giáo
Cột 5: Tổng số đảng viên theo các dân tộc, tôn giáo là nữ.
Cột 6: Tổng số đảng viên theo các dân tộc, tôn giáo có trình độ chuyên môn từ đại học trở lên
Cột 7:
- Để tính tỷ lệ (%) đảng viên chia theo dân tộc, lấy số liệu ở cột 3 của từng dân tộc nhân với 100 rồi chia cho tổng số “Đảng viên chia theo dân tộc” (lấy 2 số thập phân sau dấu phẩy).
- Để tính tỷ lệ (%) đảng viên chia theo tôn giáo, lấy số liệu ở cột 3 của từng tôn giáo nhân với 100 rồi chia cho tổng số “Đảng viên chia theo tôn giáo” (lấy 2 số thập phân sau dấu phẩy).
Các mục trong biểu:
Mục I. Đảng viên chia theo dân tộc: Chia ra 54 dân tộc đã được Nhà nước công nhận.
* Lưu ý:
- Đối với “Đảng viên chia theo dân tộc”:
+ Tổng số “Đảng viên chia theo dân tộc” tại Biểu số 4-BTCTW và “Đảng viên có quốc tịch gốc nước ngoài” tại Biểu số 3-BTCTW phải bằng tổng số đảng viên trong danh sách có đến cuối kỳ báo cáo ở mục D trong Biểu số 1-BTCTW.
+ Số liệu đảng viên trong kỳ báo cáo được phân tích theo 53 dân tộc (không tính dân tộc Kinh) ở mục I, cột 3 của Biểu này phải bằng với tổng số đảng viên là người dân tộc thiểu số ở mục I, cột 2 của Biểu số 3-BTCTW.
- Đối với “Đảng viên mới chia theo dân tộc”:
+ Tổng số “Đảng viên mới chia theo dân tộc” tại Biểu số 4-BTCTW và “Đảng viên mới kết nạp có quốc tịch gốc nước ngoài” tại Biểu số 2-BTCTW phải bằng tổng số đảng viên mới kết nạp trong danh sách có đến cuối kỳ báo cáo ở mục I trong Biểu số 2-BTCTW.
+ Số liệu đảng viên mới kết nạp trong kỳ báo cáo được phân tích theo 53 dân tộc (không tính dân tộc Kinh), ở mục I, cột 4 của Biểu này phải bằng với tổng số đảng viên mới kết nạp là người dân tộc thiểu số ở mục I, cột 2 trang 1 của Biểu số 2-BTCTW.
Mục II. Đảng viên chia theo tôn giáo: Thống kê 16 tôn giáo được Nhà nước công nhận. Ngoài ra, những đảng viên được tổ chức đảng phân công tham gia sinh hoạt trong giáo hội cũng được thống kê theo tôn giáo tương ứng.
* Lưu ý:
- Số liệu đảng viên trong kỳ báo cáo được phân tích theo 16 tôn giáo ở mục II, cột 3 của Biểu này bằng với số đảng viên là “Người theo tôn giáo” ở mục I, cột 2 của Biểu số 3-BTCTW.
- Số liệu đảng viên mới kết nạp trong kỳ báo cáo được phân tích theo 16 tôn giáo ở mục II, cột 4 của Biểu này bằng với số đảng viên là “Người theo tôn giáo” ở mục I, cột 2 của Biểu số 2-BTCTW.
- Quá trình tổng hợp Biểu số 4-BTCTW, các cấp uỷ cần căn cứ vào lý lịch đảng viên (đối với đảng viên chính thức) và lý lịch người xin vào Đảng (đối với đảng viên mới kết nạp); đồng thời, trao đổi với các ngành có liên quan để thống nhất về tên các dân tộc thiểu số và tôn giáo có trong đảng bộ.
BIỂU SỐ 5-BTCTW: THỐNG KÊ TỔ CHỨC ĐẢNG VÀ ĐẢNG VIÊN TRONG CÁC LOẠI HÌNH CƠ SỞ
Thống kê số liệu 6 tháng đầu năm và cả năm.
Thống kê 6 tháng đầu năm ghi: “6 tháng đầu” vào dòng (...) và ghi năm báo cáo vào dòng (năm 20...).
Thống kê cả năm ghi năm báo cáo vào dòng (năm 20...).
Nội dung các cột trong biểu:
Cột 1: Loại hình tổ chức đảng.
Cột 2: Số tổ chức cơ sở đảng, bằng tổng giá trị ở cột 3 và cột 11.
Cột 3: Số đảng bộ cơ sở, chia ra:
Cột 4: Đảng bộ cơ sở trực thuộc tỉnh ủy, thành ủy, đảng ủy trực thuộc Trung ương;
Cột 5: Đảng bộ cơ sở trực thuộc đảng ủy cấp trên trực tiếp cơ sở;
Cột 6: Đảng bộ cơ sở được giao quyền cấp trên trực tiếp cơ sở;
Cột 7: Đảng bộ cơ sở được thí điểm giao quyền cấp trên trực tiếp cơ sở;
Cột 8: Đảng bộ cơ sở trực thuộc đảng ủy cơ sở được giao quyền cấp trên trực tiếp cơ sở;
Cột 9: Đảng bộ cơ sở trực thuộc đảng ủy cơ sở được thí điểm giao quyền cấp trên trực tiếp cơ sở;
Cột 10: Đảng bộ cơ sở được ủy quyền kết nạp, khai trừ đảng viên.
Cột 11: Số chi bộ cơ sở.
Cột 12: Số chi bộ trực thuộc đảng ủy cấp trên trực tiếp cơ sở
Cột 13: Số chi bộ trực thuộc đảng ủy cơ sở
Cột 14: Số đảng bộ bộ phận trực thuộc đảng ủy cơ sở
Cột 15: Số chi bộ trực thuộc đảng ủy bộ phận
Cột 16: Tổng số đảng viên ở mỗi loại hình tổ chức đảng; bao gồm tất cả đảng viên có trong danh sách tại kỳ báo cáo của mỗi loại hình tổ chức đảng.
Cột 17: Tổng số đảng viên mới kết nạp ở mỗi loại hình cơ sở; bao gồm tất cả đảng viên được kết nạp trong kỳ báo cáo của mỗi loại hình tổ chức đảng.
Các mục trong biểu:
Việc thống kê tổ chức đảng và đảng viên được chia theo các loại hình tổ chức đảng dưới đây:
1. Thôn, tổ dân phố: Là tổ chức đảng được lập trong các thôn, làng, ấp, bản, buôn, bon, phum, sóc,… (gọi chung là thôn) ở xã, đặc khu hoặc tổ dân phố, khu phố, khối phố, khóm, tiểu khu,… (gọi chung là tổ dân phố) ở phường, đặc khu (trong trường hợp được công nhận loại đô thị theo quy định của pháp luật).
2. Đặc khu: Là đảng bộ cơ sở theo Quy định số 300-QĐ/TW ngày 09/6/2025 của Ban Bí thư về “Chức năng nhiệm vụ của đảng bộ cơ sở đặc khu”.
3. Cơ quan Đảng, Mặt trận Tổ quốc, đoàn thể chính trị - xã hội: Là tổ chức cơ sở đảng được lập trong tất cả các cơ quan của Đảng, Mặt trận Tổ quốc, đoàn thể chính trị - xã hội.
4. Cơ quan Nhà nước: Là tổ chức cơ sở đảng được lập trong tất cả các cơ quan của Nhà nước.
5. Đơn vị sự nghiệp: Là tổ chức cơ sở đảng được lập trong các đơn vị do cơ quan Nhà nước (hoặc các cơ quan Đảng, đoàn thể chính trị - xã hội) có thẩm quyền thành lập, có tư cách pháp nhân, có tài khoản, con dấu riêng, thực hiện chức năng phục vụ quản lý nhà nước hoặc cung cấp sản phẩm, dịch vụ công hoặc xã hội hóa trong các ngành, lĩnh vực theo quy định của pháp luật; gồm có đơn vị sự nghiệp công lập và đơn vị sự nghiệp ngoài công lập.
Các đơn vị hoạt động sự nghiệp bao gồm: Các cơ sở nghiên cứu, ứng dụng khoa học, kỹ thuật, công nghệ; các cơ sở giáo dục, đào tạo, hướng nghiệp, dạy nghề; các cơ sở y tế; các đơn vị xuất bản, báo chí, văn học nghệ thuật...
* Lưu ý: Khi tổng hợp ở các đơn vị doanh nghiệp, xí nghiệp, nhà máy lớn... nếu có các cơ sở hoạt động sự nghiệp như trên và được xác định là cấp cơ sở đều phải tách và thống kê riêng vào mục này.
6. Quân đội: Là tổ chức cơ sở đảng được lập trong tất cả các đơn vị cơ sở thuộc hệ thống quân đội (bao gồm cả doanh nghiệp, đơn vị sự nghiệp quốc phòng,…) theo Quy định số 332-QĐ/TW ngày 24/6/2025 của Bộ Chính trị về “tổ chức đảng trong Quân đội nhân dân Việt Nam”.
7. Công an: Là tổ chức cơ sở đảng được lập trong các đơn vị cơ sở của ngành công an theo Quy định số 343-QĐ/TW ngày 23/7/2025 của Bộ Chính trị về “tổ chức đảng trong Công an nhân dân”.
8. Doanh nghiệp và hợp tác xã, gồm:
a. Doanh nghiệp có vốn Nhà nước
Là tổ chức đảng được lập trong các tổ chức kinh tế nhà nước sở hữu toàn bộ vốn điều lệ hoặc có cổ phần, vốn góp chi phối, được tổ chức dưới hình thức công ty Nhà nước, công ty cổ phần Nhà nước, công ty trách nhiệm hữu hạn một thành viên, công ty trách nhiệm hữu hạn có 2 thành viên trở lên. Hiện nay các doanh nghiệp Nhà nước có tư cách pháp nhân do Nhà nước giao cho vốn kinh doanh và tự chịu trách nhiệm về quản lý sản xuất chịu trách nhiệm về kinh tế và chịu bù đắp hay hưởng lợi nhuận với mức vốn được cấp đó.
Chia theo 03 loại hình:
- Nhà nước nắm giữ 100% vốn điều lệ;
- Nhà nước nắm giữ từ 50% vốn điều lệ trở lên;
- Nhà nước nắm giữ dưới 50% vốn điều lệ.
b. Doanh nghiệp ngoài khu vực Nhà nước, chia theo 05 loại hình:
- Công ty cổ phần: Là tổ chức đảng được lập trong các loại hình doanh nghiệp mà vốn điều lệ được chia thành nhiều phần bằng nhau gọi là cổ phần. Công ty cổ phần có tư cách pháp nhân kể từ ngày được cấp giấy chứng nhận đăng ký kinh doanh. Công ty cổ phần có quyền phát hành các loại chứng khoán như cổ phiếu, trái phiếu, chứng chỉ quỹ đầu tư và các loại chứng khoán khác để huy động vốn.
- Doanh nghiệp tư nhân: Là tổ chức đảng được lập trong các loại hình doanh nghiệp do một cá nhân đứng lên xây dựng làm chủ chịu trách nhiệm với pháp luật về các hoạt động cũng như tài sản của doanh nghiệp. Doanh nghiệp tư nhân không được phát hành bất kỳ một loại chứng khoán nào. Các doanh nghiệp và cá nhân đó là người có thể đứng lên điều hành trực tiếp hoặc gián tiếp những hoạt động của doanh nghiệp đó và phải chịu toàn bộ về các khoản nợ cũng như lãi suất của doanh nghiệp đó.
- Công ty trách nhiệm hữu hạn: Là tổ chức đảng được lập trong các loại hình doanh nghiệp phổ biến hiện nay, gồm công ty trách nhiệm hữu hạn có 02 thành viên trở lên và công ty trách nhiệm hữu hạn 01 thành viên.
- Công ty hợp danh: Là tổ chức đảng được lập trong các loại hình đặc trưng của công ty đối nhân trong đó có các cá nhân và thương nhân cùng hoạt động lĩnh vực thương mại dưới một hãng và cùng nhau chịu mọi trách nhiệm về các khoản nợ của công ty.
- Doanh nghiệp có vốn nước ngoài: Là tổ chức đảng được lập trong các loại hình doanh nghiệp có nhà đầu tư nước ngoài là thành viên hoặc cổ đông.
(Trong đó, doanh nghiệp 100% vốn nước ngoài: Là tổ chức đảng được lập trong các loại hình doanh nghiệp mà nhà đầu tư nước ngoài góp 100% số vốn đầu tư).
c. Hợp tác xã
Là tổ chức đảng được lập trong các tổ chức kinh tế tập thể, đồng sở hữu, có tư cách pháp nhân, do ít nhất 07 thành viên tự nguyện thành lập và hợp tác tương trợ lẫn nhau trong hoạt động sản xuất, kinh doanh.
9. Tổ chức cơ sở đảng ở ngoài nước: Là tổ chức đảng được lập trong các đơn vị cơ sở ở ngoài nước.
10. Loại hình cơ sở khác: Là tổ chức đảng được lập trong loại hình cơ sở chưa thống kê vào 09 loại hình trên, tổng hợp vào mục 10.
Cộng (1 + ... + 10) phản ánh toàn bộ số đảng viên và tổ chức đảng của đảng bộ.
* Lưu ý:
- Tổng số đảng viên ở biểu này phải thống nhất với đảng viên trong danh sách đến cuối kỳ báo cáo ở mục D, Biểu số 1-BTCTW.
- Tổng số đảng viên mới kết nạp ở biểu này phải thống nhất với đảng viên mới kết nạp trong danh sách đến cuối kỳ báo cáo ở mục I, cột 2 Biểu số 2-BTCTW.
BIỂU SỐ 6-BTCTW: THỐNG KÊ TỔ CHỨC ĐẢNG CẤP TRÊN TRỰC TIẾP CƠ SỞ
Thống kê số liệu cả năm, ghi năm báo cáo vào dòng (năm 20...).
Nội dung các cột trong biểu:
Cột 1: Loại hình tổ chức đảng.
Cột 2: Số tổ chức đảng cấp trên trực tiếp cơ sở có trong kỳ báo cáo; trong đó, thống kê riêng số đảng bộ cấp trên trực tiếp của tổ chức cơ sở đảng ở những nơi có đặc điểm riêng (Cột 3).
Cột 4: Số tổ chức đảng cấp trên trực tiếp cơ sở cùng kỳ năm trước; trong đó, thống kê riêng số đảng bộ cấp trên trực tiếp của tổ chức cơ sở đảng ở những nơi có đặc điểm riêng (Cột 5).
Cột 6: Lấy số liệu ở cột 2 nhân với 100 rồi chia cho số liệu ở cột 4 để ra tỷ lệ (%) của kỳ này so với cùng kỳ năm trước (lấy 2 số thập phân sau dấu phẩy).
Các mục trong biểu:
Việc thống kê tổ chức đảng cấp trên trực tiếp cơ sở được chia theo các loại hình dưới đây:
1,2,3: Đảng bộ xã, phường, đặc khu: Là đảng bộ cấp trên trực tiếp của tổ chức cơ sở đảng, chi bộ trực thuộc ở cấp xã.
4. Đảng bộ các cơ quan Đảng tỉnh, thành phố: Là đảng bộ cấp trên trực tiếp của tổ chức cơ sở đảng trong các cơ quan tham mưu, giúp việc, đơn vị sự nghiệp của tỉnh ủy, hội đồng nhân dân, Mặt trận Tổ quốc, các đoàn thể chính trị - xã hội, viện kiểm sát nhân dân, tòa án nhân dân cấp tỉnh, các hội quần chúng cấp tỉnh do Đảng, Nhà nước giao nhiệm vụ.
5. Đảng bộ UBND tỉnh, thành phố: Là đảng bộ cấp trên trực tiếp của tổ chức cơ sở đảng ở các cơ quan chuyên môn, đơn vị sự nghiệp, doanh nghiệp nhà nước trực thuộc UBND cấp tỉnh và các cơ quan chuyên trách tham mưu, giúp việc của Đảng ủy UBND tỉnh.
6. Đảng bộ trực thuộc 04 đảng bộ trực thuộc Ban Chấp hành Trung ương: Thống kê các loại hình đảng bộ cấp trên trực tiếp cơ sở trực thuộc 04 đảng bộ[3] trực thuộc Ban Chấp hành Trung ương, gồm:
- Cơ quan Đảng
- Cơ quan Nhà nước
- Cơ quan Mặt trận tổ quốc, đoàn thể chính trị - xã hội
- Đơn vị sự nghiệp
- Doanh nghiệp
7. Đảng bộ trong lực lượng quân đội, công an:
- Quân đội: Là đảng bộ cấp trên trực tiếp của tổ chức cơ sở đảng trong hệ thống quân đội (bao gồm cả doanh nghiệp, đơn vị sự nghiệp quốc phòng,…) theo Quy định số 332-QĐ/TW ngày 24/6/2025 của Bộ Chính trị.
- Công an: Là đảng bộ cấp trên trực tiếp của tổ chức cơ sở đảng trong ngành công an (bao gồm cả đảng bộ cấp trên cơ sở doanh nghiệp của Bộ Công an) theo Quy định số 343-QĐ/TW ngày 23/7/2025 của Bộ Chính trị về “tổ chức đảng trong Công an nhân dân”.
8. Đảng bộ khác: Là đảng bộ cấp trên trực tiếp của tổ chức cơ sở đảng chưa thống kê vào 07 loại hình trên, tổng hợp vào mục 8.
* Lưu ý: Biểu số 6-BTCTW do đảng bộ cấp tỉnh thực hiện tổng hợp thống kê số liệu của các đảng bộ cấp trên trực tiếp cơ sở.
BIỂU SỐ 7-BTCTW: THỐNG KÊ VỀ NGHIỆP VỤ CÔNG TÁC ĐẢNG VIÊN
Thống kê số liệu cả năm, ghi năm báo cáo vào dòng (năm 20...).
Các mục trong biểu:
Mục I. Khen thưởng tổ chức đảng và đảng viên trong năm
Số tổ chức đảng được khen thưởng gồm 05 loại: đảng bộ cấp trên trực tiếp cơ sở, đảng bộ cơ sở, đảng bộ bộ phận, chi bộ cơ sở, chi bộ trực thuộc (gồm chi bộ trực thuộc đảng ủy cơ sở và chi bộ trực thuộc đảng ủy cấp trên trực tiếp cơ sở); trong đó:
- Tổng hợp 02 hình thức khen thưởng “tặng cờ, tặng bằng khen” đối với đảng bộ cấp trên trực tiếp cơ sở.
- Tổng hợp 03 hình thức khen thưởng “tặng cờ, tặng bằng khen, tặng giấy khen” đối với đảng bộ cơ sở và chi bộ cơ sở.
- Tổng hợp 02 hình thức khen thưởng “tặng bằng khen và tặng giấy khen” đối với đảng bộ bộ phận và chi bộ trực thuộc.
Số đảng viên được các cấp ủy khen thưởng có 02 hình thức khen thưởng “tặng bằng khen và tặng giấy khen”.
Mục II. Tặng huy hiệu đảng trong năm
Thống kê số đảng viên được tặng Huy hiệu 30 năm hoặc 40, 45, 50, 55, 60, 65, 70, 75, 80, 85, 90 năm tuổi đảng. Tuổi đảng của đảng viên được tính từ ngày cấp có thẩm quyền ra quyết định kết nạp, trừ thời gian không tham gia sinh hoạt đảng (Điểm 4.5, Điều 5, Quy định số 294-QĐ/TW ngày 26/5/2025 của Ban Chấp hành Trung ương).
Mục III. Phát thẻ đảng viên trong năm
Thống kê số thẻ đảng viên được phát cho đảng viên chính thức; số thẻ đảng viên được cấp lại cho đảng viên do mất và số thẻ đảng viên được cấp lại cho đảng viên do bị hỏng.
Mục IV. Giới thiệu sinh hoạt đảng trong năm
1. Số lượt đảng viên chuyển sinh hoạt đảng chính thức
Thống kê tổng số lượt chuyển sinh hoạt đảng chính thức (giới thiệu chuyển đi; tiếp nhận chuyển đến), gồm: (1) Chuyển sinh hoạt đảng chính thức ở trong nước (giữa các tổ chức đảng trực thuộc đảng ủy cấp trên trực tiếp cơ sở; giữa các đảng bộ cấp trên trực tiếp cơ sở khác trong tỉnh; chuyển đi tỉnh khác,...); (2) Chuyển sinh hoạt đảng chính thức ra ngoài nước và từ ngoài nước về.
2. Số lượt đảng viên chuyển sinh hoạt đảng tạm thời
Thống kê tổng số lượt chuyển sinh hoạt đảng tạm thời (giới thiệu chuyển đi; tiếp nhận chuyển đến), gồm: (1) Chuyển sinh hoạt đảng tạm thời ở trong nước (tương tự như chuyển sinh hoạt đảng chính thức); (2) Chuyển sinh hoạt Đảng tạm thời ra nước ngoài.
3. Một số nội dung liên quan đến giới thiệu sinh hoạt đảng
Thống kê số đảng viên nơi khác chuyển sinh hoạt đảng đến, số đảng viên giới thiệu sinh hoạt đảng đi chưa đúng quy định (Điểm 6.3, Điều 6, Quy định số 294-QĐ/TW ngày 26/5/2025 của Ban Chấp hành Trung ương) và số trường hợp phát hiện giả mạo qua giới thiệu sinh hoạt đảng.
III. TỔ CHỨC THỰC HIỆN
Căn cứ Hướng dẫn thực hiện biểu mẫu thống kê cơ bản về tổ chức đảng, đảng viên của Ban Tổ chức Trung ương, các cấp ủy, tổ chức đảng lãnh đạo, chỉ đạo triển khai thực hiện một số nội dung chủ yếu sau:
1. Cấp ủy cơ sở quản lý hồ sơ đảng viên và danh sách đảng viên theo đúng quy định (cấp ủy cơ sở nào không có điều kiện quản lý và bảo quản hồ sơ đảng viên thì cấp ủy cấp trên trực tiếp quản lý, bảo quản). Định kỳ 3 tháng 1 lần kiểm tra phiếu báo chuyển sinh hoạt đảng để theo dõi số đảng viên chuyển đến, đối khớp danh sách đảng viên giữa các đảng bộ, chi bộ trực thuộc với cấp ủy cấp trên trực tiếp và đột xuất khi cần. Thực hiện chỉ đạo của cấp uỷ cấp trên trực tiếp về việc báo cáo các số liệu thống kê có liên quan.
2. Cấp uỷ cấp trên trực tiếp cơ sở theo dõi, hướng dẫn, kiểm tra cấp uỷ cơ sở và chỉ đạo cơ quan tổ chức thực hiện các biểu thống kê theo quy định. Cơ quan tổ chức của cấp uỷ chịu trách nhiệm về tính chính xác của số liệu; trước khi lập và ký duyệt biểu thống kê phải kiểm tra, so sánh, đối chiếu với số liệu kỳ trước và liên hệ với tình hình thực tế để phát hiện những chỉ tiêu tăng, giảm không hợp lý hoặc không đồng nhất giữa các biểu ở cùng một chỉ tiêu.
3. Cấp ủy trực thuộc Trung ương chỉ đạo, hướng dẫn, kiểm tra cấp uỷ, tổ chức đảng trực thuộc và cơ quan tổ chức thực hiện biểu thống kê cơ bản trong hệ thống tổ chức đảng theo quy định; kịp thời tổng hợp, gửi báo cáo về Ban Tổ chức Trung ương.
Hướng dẫn thực hiện biểu mẫu thống kê cơ bản về tổ chức đảng, đảng viên (kèm theo hệ thống biểu mẫu) được thực hiện thống nhất trong toàn Đảng kể từ ngày ký và thay thế cho Hướng dẫn số 11-HD/BTCTW ngày 13/12/2021 của Ban Tổ chức Trung ương “Thực hiện biểu mẫu thống kê cơ bản về công tác tổ chức xây dựng Đảng”. Trong quá trình thực hiện, có vấn đề gì cần bổ sung, sửa đổi, đề nghị các cấp ủy đảng kịp thời gửi văn bản về Ban Tổ chức Trung ương.
|
Nơi nhận: |
K/T TRƯỞNG BAN |
Mời các bạn tham khảo thêm nội dung Hành chính trong chuyên mục Văn bản pháp luật của HoaTieu.vn.
-
Chia sẻ:
Phạm Thu Hương
- Ngày:
Hướng dẫn 40-HD/BTCTW thực hiện biểu mẫu thống kê cơ bản về tổ chức đảng, đảng viên
149,3 KB 06/12/2025 10:31:00 SA-
Hướng dẫn 40-HD/BTCTW thực hiện biểu mẫu thống kê cơ bản về tổ chức đảng, đảng viên (PDF)
302,5 KB Xem thử
Tham khảo thêm
-
Hướng dẫn 42-HD/BTCTW thực hiện Chỉ thị số 50-CT/TW về tiếp tục đổi mới và nâng cao chất lượng sinh hoạt chi bộ trong giai đoạn mới
-
Hướng dẫn 43-HD/BTCTW về kiểm điểm và đánh giá, xếp loại chất lượng tập thể, cá nhân trong hệ thống chính trị
-
Tải Hướng dẫn 25-HD/BTCTW 2023 file DOC, PDF
-
Hướng dẫn 45-HD/BTCTW Phân cấp quản lý cán bộ, bổ nhiệm, giới thiệu ứng cử, tạm đình chỉ công tác đối với cán bộ
Theo Nghị định 147/2024/ND-CP, bạn cần xác thực tài khoản trước khi sử dụng tính năng này. Chúng tôi sẽ gửi mã xác thực qua SMS hoặc Zalo tới số điện thoại mà bạn nhập dưới đây:
Hành chính tải nhiều
-
Bài thu hoạch nghị quyết Trung Ương 4 khóa XII của đảng viên
-
Luật viên chức số 58/2010/QH12
-
Tải Luật tổ chức chính quyền địa phương số 77/2015/QH13 mới nhất file Doc, Pdf
-
Thông tư 113/2016/TT-BQP về chế độ nghỉ của quân nhân chuyên nghiệp, công nhân và viên chức quốc phòng
-
Luật xử lý vi phạm hành chính số 15/2012/QH13
Pháp luật tải nhiều
-
Quyết định 950/QĐ-TTg của Thủ tướng Chính phủ về việc kiện toàn Ban Chỉ đạo xây dựng trường học cho các xã biên giới
-
Công văn 3547/SNV-XDCQ 2026 hướng dẫn thực hiện chế độ, chính sách đối với người hoạt động không chuyên trách ở cấp xã theo Nghị định 154
-
Thông báo 408-TB/HVCTQG tuyển sinh đào tạo Chương trình Công tác kiểm tra của Đảng
-
Thông tư 58/2026/TT-BTC hướng dẫn Chế độ kế toán cho doanh nghiệp siêu nhỏ
-
Nghị định 185/2026/NĐ-CP tổ chức, hoạt động của thôn, tổ dân phố và chế độ, chính sách đối với người hoạt động không chuyên trách
-
Công văn 4321/UBND-VX tiếp nhận cán bộ không chuyên trách vào làm công chức viên chức tại TP.HCM
-
Quyết định 2632/QĐ-UBND về kiện toàn Tổ công tác lĩnh vực giáo dục, đào tạo tại Hà Nội
-
Công văn 2329/SGDĐT-CTTTHSSV tăng cường công tác phòng, chống nắng nóng, bảo vệ sức khỏe trẻ em, học sinh trong các cơ sở giáo dục
-
Thông báo 879/TB-BGDĐT Tuyển sinh đi du học tại Campuchia năm 2026
-
Quyết định 755/QĐ-TTPVHCC công bố thủ tục hành chính lĩnh vực giáo dục tại Hà Nội
Bài viết hay Hành chính
-
Thông tư số 12-2011-TT-BGTVT
-
Tải Thông tư 08/2023/TT-BLĐTBXH file doc, pdf về sửa đổi quy định việc nộp, xuất trình sổ hộ khẩu giấy
-
Quyết định 2412/QĐ-NHNN 2019 cơ chế một cửa giải quyết thủ tục hành chính NHNN
-
Quyết định 596/QĐ-TTg
-
Công văn 1129/UBTVQH13-PL hướng dẫn Điều 73 Luật bầu cử đại biểu Quốc hội và đại biểu Hội đồng nhân dân
-
Nghị định 34/2020/NĐ-CP quy định chức năng, nhiệm vụ, quyền hạn và cơ cấu tổ chức của Đài truyền hình Việt Nam
-
Thuế - Lệ phí - Kinh phí
-
Giáo dục - Đào tạo
-
Y tế - Sức khỏe
-
Thể thao
-
Bảo hiểm
-
Chính sách
-
Hành chính
-
Cơ cấu tổ chức
-
Quyền Dân sự
-
Tố tụng - Kiện cáo
-
Dịch vụ Pháp lý
-
An ninh trật tự
-
Trách nhiệm hình sự
-
Văn bản Nông - Lâm - Ngư nghiệp
-
Tài nguyên - Môi trường
-
Công nghệ - Thông tin
-
Khoa học công nghệ
-
Văn bản Giao thông vận tải
-
Hàng hải
-
Văn hóa Xã hội
-
Doanh nghiệp
-
Xuất - Nhập khẩu
-
Tài chính - Ngân hàng
-
Lao động - Tiền lương
-
Đầu tư - Chứng khoán - Thương mại
-
Xây dựng - Đô thị - Đất đai - Nhà ở
-
Lĩnh vực khác