Đề thi tuyển sinh lớp 10 THPT năng khiếu TP HCM 2025
Mua tài khoản Hoatieu Pro để trải nghiệm website Hoatieu.vn KHÔNG quảng cáo & Tải nhanh File chỉ từ 99.000đ. Tìm hiểu thêm »
Đề thi tuyển sinh lớp 10 phổ thông năng khiếu
- 1. Đề thi vào 10 chuyên Năng khiếu TP HCM 2025 tất các các môn
- 2. Đáp án đề thi ptnk 2023 môn Toán chuyên
- 3. Đề thi ptnk 2023 môn Toán không chuyên
- 4. Đáp án đề thi phổ thông năng khiếu môn Toán không chuyên 2023
- 5. Đề thi văn vào lớp 10 phổ thông Năng khiếu 2023
- 6. Bộ đề thi tuyển sinh vào lớp 10 phổ thông Năng khiếu 2022
Sáng nay, kỳ thi tuyển sinh lớp 10 vào Trường THPT Chuyên Năng khiếu TP.HCM năm 2025 chính thức diễn ra, thu hút hàng nghìn thí sinh xuất sắc tham dự. Đề thi các môn chuyên năm nay được đánh giá có tính phân loại cao, bám sát chương trình, đồng thời xuất hiện nhiều câu hỏi mở, đòi hỏi tư duy và khả năng vận dụng kiến thức linh hoạt. Dưới đây là đề thi tuyển sinh lớp 10 phổ thông năng khiếu 2025-2026 từng môn để thí sinh và phụ huynh tham khảo, đánh giá mức độ khó dễ và chuẩn bị cho các năm thi tiếp theo.
1. Đề thi vào 10 chuyên Năng khiếu TP HCM 2025 tất các các môn
Trường Phổ thông Năng khiếu (Đại học Quốc gia TPHCM) công bố đề các môn thi vào lớp 10 năm học 2025 - 2026 gồm: Đề thi các môn không chuyên (Toán, Văn) và Đề các môn chuyên (Toán, Tin, Lý, Hóa, Sinh, Anh, Văn).
Để xem nội dung chi tiết tất cả các đề thi vào lớp 10 chuyên năng khiếu TP HCM 2025, mời các em sử dụng file tải về của Hoatieu.

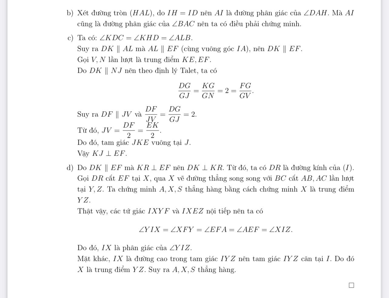
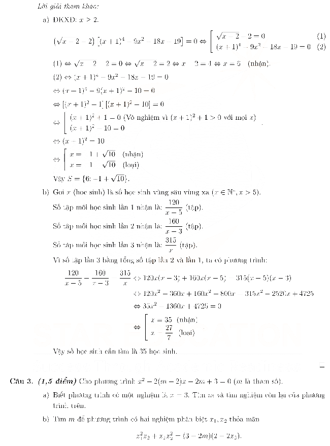
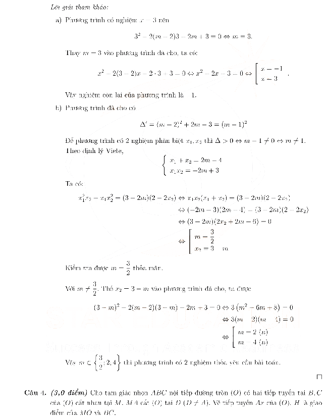
2. Đáp án đề thi ptnk 2023 môn Toán chuyên






3. Đề thi ptnk 2023 môn Toán không chuyên


4. Đáp án đề thi phổ thông năng khiếu môn Toán không chuyên 2023





5. Đề thi văn vào lớp 10 phổ thông Năng khiếu 2023
Lưu ý: Hiện tại chưa có đề thi vào lớp 10 môn Văn THPT năng khiếu TP HCM 2023. Mời các bạn tham khảo đề thi của năm 2022. Hoatieu sẽ cập nhật đề thi môn Văn vào 10 THPT Năng khiếu 2023 ngay sau khi kì thi kết thúc.
TRƯỜNG PHỔ THÔNG NĂNG KHIẾU
HỘI ĐỒNG TUYỂN SINH LỚP 10
Môn thi: NGỮ VĂN (Không chuyên)
Thời gian làm bài: 120 phút, không kể thời gian phát đề
NĂM HỌC 2022 – 2023
Câu 1 (3.0 điểm)
Đọc văn bản và thực hiện các yêu cầu:
“Làm vệ sinh thân thể thì ai nấy cũng sẵn sàng làm hàng ngày, thậm chí mỗi ngày còn làm đến vài ba lần. Ta có thể đánh răng một ngày ba lần, tắm rửa ba lần (nếu trời nóng nực). Làm vệ sinh thân thể thì rất dễ dàng bởi những loại kem đánh răng tốt, sữa tắm mới, các thứ xà-bông vệ sinh ngày nay không thiếu. Thế nhưng làm thế nào để giải quyết các ưu tư sầu khổ, làm thế nào để vượt qua cơn sốc, làm thế nào để gượng dậy và đứng lên đi tiếp trên đường đời thì quả là hơi khó. Mà ai sống ở trên đời cũng có thể gặp những tình trạng căng thẳng (stress) như vậy. Vì vậy, tôi đề xuất với các em một khái niệm hơi mới: vệ sinh tinh thần.
Đời sống tinh thần là một cái gì hết sức trừu tượng nhưng rõ ràng, đó là một thực tế cần được đặc biệt quan tâm, chăm sóc. Nếu khi nào em bị một trạng thái tương tự như các trạng thái mà tôi vừa nói, nếu khi nào em bị mất quân bình về mặt tâm lý thì xin hiểu rằng mình đang có nguy cơ “bệnh” về mặt tinh thần. Và hãy cảnh giác với những bệnh lý tinh thần này. Cũng như các nguy cơ bệnh về thể chất, các em phải có bổn phận chăm sóc, giải quyết các căn bệnh tinh thần ấy ngay, tránh để các em rơi vào tình trạng căng thẳng nặng nề, có thể dẫn đến những hậu quả khốc liệt không lường được. Giản dị nhất trong đời là các em phải biết tự thư giãn bằng cách tìm đến những cách giải trí lành mạnh, thanh nhã. Đọc một quyển sách hay của một tác giả mà em yêu thích, đến gần một ngôi chùa hay nhà thờ lắng nghe tiếng chuông chiều, xem một bộ phim hài hước,... đều có thể làm cho tinh thần của em tốt đẹp hơn. Đó là những chỗ thoát hơi nho nhỏ giúp cho em tự giải quyết, đẩy căng thẳng ra khỏi lòng em.”
(Theo Vũ Đức Sao Biển, Đối thoại với tuổi đôi mươi, NXB Trẻ, TP.HCM, 2017, tr.189-192) Phần trắc nghiệm (2.0 điểm)
Thí sinh chọn phương án đúng và ghi vào giấy làm bài (Ví dụ: 1. A; 2. A; 3. A)
1. Phương thức biểu đạt chính của văn bản trên là (0.25 điểm)
A. Tự sự.
B. Nghị luận.
C. Thuyết minh.
D. Miêu tả.
2. Các phép liên kết về hình thức được sử dụng trong đoạn văn thứ ba là (0.25 điểm)
A. Phép thế và phép trái nghĩa.
B. Phép nối và phép lặp.
C. Phép nối và phép thế.
D. Phép thế và phép lặp.
3. Phương án nào giải thích đúng và đầy đủ nhất cụm từ “mất quân bình về mặt tâm lý”? (0.25
điểm)
A. Đánh mất khả năng giữ sự bình tĩnh của tâm hồn.
B. Đánh mất khả năng giữ sự hào hứng của tâm hồn.
C. Đánh mất khả năng giữ sự cân bằng của tâm hồn.
D. Đánh mất khả năng giữ sự bình thản của tâm hồn.
4. Câu “Mà ai sống ở trên đời cũng có thể gặp những tình trạng căng thẳng (stress) như vậy.” chứa thành phần biệt lập nào? (0.25 điểm)
A. Thành phần tình thái.
B. Thành phần gọi đáp.
C. Thành phần phụ chú.
D. Thành phần cảm thán.
5. Phương án nào không chứa từ được dùng theo nghĩa chuyển trong văn bản trên? (0.5 điểm)
A. “vệ sinh tinh thần”.
B. “những chỗ thoát hơi”.
C. “đẩy căng thẳng”.
D. “vệ sinh thân thể”.
6. Ý nghĩa khái quát nhất của văn bản trên là (0.5 điểm)
A. Chúng ta chú trọng đến vệ sinh thân thể hơn vệ sinh tinh thần nên đời sống tinh thần của chúng ta chưa được chăm sóc đúng mức.
B. Chúng ta cần quan tâm, chăm sóc đời sống tinh thần và có những giải pháp để vượt khỏi nguy cơ bị mắc phải căn bệnh tinh thần.
C. Chúng ta cần cảnh giác căn bệnh về tinh thần vì căn bệnh này có thể gây ra những hậu quả nặng nề, gây nguy hiểm đến tính mạng.
D. Chúng ta cần biết cách tự thư giãn, tự làm cho đời sống tinh thần của mình được thanh thản bằng những hoạt động giải trí lành mạnh.
Phần tự luận (1.0 điểm)
Viết đoạn văn (khoảng 08 đến 10 dòng) để chia sẻ cách thức em vượt qua một nỗi buồn hoặc một trạng thái căng thẳng, bất ổn tâm lý.
Câu 2 (3.0 điểm)
Người lớn thường hay nghĩ: “Trẻ con, biết gì mà nói” dù rằng đứa trẻ ấy đã 15 tuổi. 15 tuổi, trẻ con biết nhiều lắm chứ và trẻ con cũng rất muốn được bày tỏ ý kiến về mọi thứ xung quanh mình. Ví dụ như nạn ô nhiễm môi trường, những vấn đề đổi mới giáo dục hay cách ứng xử phù hợp với mọi người,...
Vậy còn em, ở lứa tuổi 15, vấn đề xã hội em quan tâm nhất là gì?
Hãy viết bài văn nghị luận (khoảng 01 trang giấy thi) với nhan đề “Điều em muốn nói” để trả lời câu hỏi trên.
Câu 3 (4.0 điểm)
Chọn một trong hai đề sau:
Đề 1
Cụ Hứa Văn Cường, thân sinh của nhà thơ Y Phương, từng dặn con mình:
“Không bao giờ quỳ gối và nói lời cong
Con phải sống thẳng băng như đường mực”
(Lê Thị Bích Hồng, Vĩnh biệt nhà thơ Y Phương: “Tiếng hát tháng Giêng” đã cất vào “ruột đá”, Báo Thể thao Văn hoá online, 11/02/2022)
Đến lượt Y Phương, ông cũng dặn con:
“Người đồng mình thương lắm con ơi
Cao đo nỗi buồn
Xa nuôi chí lớn
Dẫu làm sao thì cha vẫn muốn
Sống trên đá không chê đá gập ghềnh
Sống trong thung không chê thung nghèo đói
Sống như sông như suối
Lên thác xuống ghềnh
Không lo cực nhọc
Người đồng mình thô sơ da thịt
Chẳng mấy ai nhỏ bé đâu con
Người đồng mình tự đục đá kê cao quê hương
Còn quê hương thì làm phong tục”
(Y Phương, Nói với con, Ngữ văn 9 tập hai, NXB Giáo dục Việt Nam, 2020, tr.72) Cảm nhận về những lời dặn dò trên và cho biết ý nghĩa của những lời dặn dò ấy đối với em.
Đề 2
“Bằng việc đọc sách, con người có thể làm sâu sắc tri thức, làm sâu sắc tư duy và làm sâu sắc cả nhân cách”.
(Takashi Saito, Nơi chỉ người đọc sách mới có thể chạm tới, NXB Phụ nữ Việt Nam, Hà Nội, 2021)
Từ ý kiến trên và từ những trải nghiệm trong quá trình đọc, hãy viết về một tác phẩm văn học đã khiến em tiến xa hơn trên hành trình trở thành người sâu sắc.
6. Bộ đề thi tuyển sinh vào lớp 10 phổ thông Năng khiếu 2022
Để xem chi tiết đề thi vào lớp 10 THPT Năng khiếu TP HCM 2022 mời các bạn nhấn vào link bên dưới.
- Đề toán không chuyên: https://ptnk.edu.vn/wp-content/uploads/2022/06/TOÁN-Không-chuyên.pdf
- Đề anh văn không chuyên: https://ptnk.edu.vn/wp-content/uploads/2022/06/TIẾNG-ANH-Không-chuyên.pdf
- Đề ngữ văn không chuyên: https://ptnk.edu.vn/wp-content/uploads/2022/06/NGỮ-VĂN-Không-chuyên.pdf
- Đề toán chuyên: https://ptnk.edu.vn/wp-content/uploads/2022/06/TOÁN-Chuyên.pdf
- Đề tin học chuyên: https://ptnk.edu.vn/wp-content/uploads/2022/06/TIN-HỌC.pdf
- Đề Vật lý chuyên: https://ptnk.edu.vn/wp-content/uploads/2022/06/VẬT-LÝ.pdf
- Đề hoá học chuyên: https://ptnk.edu.vn/wp-content/uploads/2022/06/HÓA-HỌC.pdf
- Đề sinh học chuyên: https://ptnk.edu.vn/wp-content/uploads/2022/06/SINH-HỌC.pdf
- Đề anh văn chuyên: https://ptnk.edu.vn/wp-content/uploads/2022/06/TIẾNG-ANH-Chuyên.pdf
- Đề văn chuyên: https://ptnk.edu.vn/wp-content/uploads/2022/06/NGỮ-VĂN-Chuyên.pdf
Mời các bạn tham khảo thêm các thông tin hữu ích khác trên chuyên mục Học tập - Lớp 9 của HoaTieu.vn.
Tham khảo thêm
-
(4 mẫu) Viết đoạn văn về tình cảm của bé Thu dành cho ông Sáu
-
Top 3 bài cảm nhận về diễn biến tâm trạng của Thúy Kiều qua đoạn trích Kiều ở lầu Ngưng Bích
-
(3 đề) Đọc hiểu Ngọn gió và cây sồi có đáp án
-
Cảm nhận của em về hình ảnh người lính trong bài thơ Đồng chí
-
Dẫn chứng về lòng biết ơn
-
Đề thi chuyên Hóa vào lớp 10 2023
-
Tổng hợp các tác phẩm văn học lớp 9 kì 1
-
Phân tích khổ 5 6 bài Bếp lửa
-
Chia sẻ:
Trần Thu Trang
- Ngày:
Đề thi tuyển sinh lớp 10 THPT năng khiếu TP HCM 2025
8 MB 27/05/2025 8:44:00 SATheo Nghị định 147/2024/ND-CP, bạn cần xác thực tài khoản trước khi sử dụng tính năng này. Chúng tôi sẽ gửi mã xác thực qua SMS hoặc Zalo tới số điện thoại mà bạn nhập dưới đây:
Hướng dẫn & Hỗ trợ
Chọn một tùy chọn bên dưới để được giúp đỡ
Thi vào lớp 10 tải nhiều
-
Đề thi vào lớp 10 môn tiếng Anh năm học 2025 có đáp án
-
Tài liệu ôn thi vào lớp 10 môn Ngữ văn phần thơ và truyện
-
Bộ đề thi tuyển sinh lớp 10 môn Toán 2025
-
Đáp án đề thi vào 10 môn Văn Hà Nội 2025
-
Bộ đề thi tuyển sinh lớp 10 môn Văn 2025
-
Đáp án đề thi vào 10 môn Toán Hà Nội 2025
-
Đề thi mẫu vào lớp 10 THPT chuyên Ngoại ngữ năm 2021
-
Chuyên đề nghị luận xã hội thi vào lớp 10
-
Đề thi tuyển sinh lớp 10 THPT năng khiếu TP HCM 2025
-
(Mới) Đề thi vào 10 Nguyễn Tất Thành 2024 môn tiếng Anh
Học tập tải nhiều
-
Bộ đề thi học kì 1 môn Tiếng Việt 5 năm 2025 - 2026 sách Cánh diều - Số 2
-
Kế hoạch tuyên truyền an toàn giao thông 2025 (6 Mẫu)
-
Bài tập về Câu
-
Ma trận đề thi học kì 1 môn Giáo dục Kinh tế và Pháp luật 10 (CV 7991)
-
Bộ đề thi học kì 1 Giáo dục Kinh tế và Pháp luật 11 năm 2025 - 2026 (Sách mới)
-
Đề thi học kì 1 Giáo dục Kinh tế và Pháp luật 11 Cánh diều
-
Bộ đề thi học kì 1 Giáo dục Kinh tế và Pháp luật 11 Chân trời sáng tạo
-
Bộ đề thi học kì 1 Giáo dục Kinh tế và Pháp luật 11 Kết nối tri thức
-
Bộ đề thi học kì 1 Giáo dục Kinh tế và Pháp luật 10 năm 2025 - 2026 (Sách mới)
-
Bộ đề thi học kì 1 Giáo dục Kinh tế và Pháp luật 10 Cánh diều
Bài viết hay Thi vào lớp 10
-
Điểm thi tuyển sinh lớp 10 năm 2025 Điện Biên
-
Đáp án Đề thi tuyển sinh lớp 10 môn Anh Hòa Bình 2025
-
Đáp án đề thi tuyển sinh lớp 10 môn Anh trường THPT Chuyên Tây Ninh 2025-2026
-
Đáp án đề thi tuyển sinh lớp 10 môn Anh An Giang 2025
-
Đáp án Đề thi tuyển sinh lớp 10 môn Anh Bắc Ninh 2025
-
Đáp án đề thi tuyển sinh lớp 10 môn Anh Tiền Giang 2025