Bài tập ôn hè Toán lớp 5 lên lớp 6 năm 2025 (60 đề)
Mua tài khoản Hoatieu Pro để trải nghiệm website Hoatieu.vn KHÔNG quảng cáo & Tải nhanh File chỉ từ 99.000đ. Tìm hiểu thêm »
Bài tập ôn hè Toán lớp 5 lên lớp 6 được Hoatieu.vn đăng tải sau đây sẽ giúp các em học sinh ôn tập, củng cố chắc kiến thức lớp 5, làm nền tảng tốt khi học lên chương trình lớp 6.
Bài tập ôn hè Toán lớp 5 lên 6 năm 2025 gồm: 39 đề ôn toán lớp 5 vào lớp 6 có đáp án; 2 bộ tài liệu ôn hè Toán 5 theo chuyên đề kèm nhiều đề ôn tập hè lớp 5 lên 6 môn Toán không có đáp án được tuyển chọn kỹ lưỡng, hỗ trợ các em học sinh trong giai đoạn thi chuyển cấp. Mời các bạn tải file bộ đề ôn tập toán lớp 5 lên 6 về máy để xem bản đầy đủ.
Tài liệu ôn tập hè Toán lớp 5 lên lớp 6
1. Kiến thức trọng tâm ôn tập Toán lớp 5
I. CHƯƠNG I:
- Ôn tập và bổ sung về phân số
- Giải toán liên quan đến tỉ lệ
- Bảng đơn vị đo diện tích
II. Chương II:
- Số thập phân
- Các phép tính với số thập phân : Phép cộng, phép trừ, phép nhân, phép chia
III. Chương III:
- Hình tam giác, hình thang, hình hộp chữ nhật, hình lập phương
- Diện tích hình tam giác, hình thang, hình hộp chữ nhật, hình lập phương
IV. Chương IV
- Số đo thời gian
- Toán chuyển động đều
V. Chương V
- Ôn tập về số tự nhiên, phân số, số thập phân, số đo đại lượng
- Ôn tập về các phép tính với các số tự nhiên, phân số, số thập phân
- Ôn tập về hình học
- Ôn tập về giải toán
2. Đề ôn tập hè lớp 5 lên lớp 6 môn Toán theo chuyên đề
CHƯƠNG 1. ÔN TẬP VÀ BỔ SUNG VỀ PHÂN SỐ, GIẢI TOÁN LIÊN QUAN ĐẾN TỈ LỆ, BẢNG ĐƠN VỊ ĐO DIỆN TÍCH
I. KIẾN THỨC CẦN NHỚ
1. Khái niệm về phân số:
- Phân số gồm tử số và mẫu số ( khác 0 )
- Mọi số tự nhiên có thể viết thành phân số với mẫu số là 1.
VD:
\(5=\frac{5}{1}=5\)
- Số 1 có thể viết thành phân số có tử số và mẫu số bằng nhau và khác 0
Ví dụ:
\(1=\frac{10}{10}\)
- Số 0 có thể viết thành phân số có tử số bằng 0 và mẫu số khác 0
Ví dụ:
\(0=\frac{0}{2019}\)
2. Các tính chất của phân số:
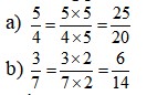
- Nếu nhân cả tử số và mẫu số của một phân số với cùng một số tự nhiên khác 0 thì được một phân số mới bằng phân số đã cho.
Ví dụ 1:

- Nếu chia cả tử số và mẫu số của một phân số với cùng một số tự nhiên khác 0 thì được một phân số bằng phân số đã cho.
Ví dụ 2:

-Áp dụng tính chất cơ bản của phân số để:
+ Rút gọn phân số
+ Quy đồng mẫu số các phân số
3. So sánh hai phân số:
- So sánh hai phân số có cùng mẫu số
- So sánh hai phân số khác mẫu:
+ Quy đồng mẫu số
+ So sánh cùng tử số
- So sánh phân số với 1
4. Hỗn số:

* Lưu ý: Phần phân số của hỗn số bao giờ cũng bé hơn 1 đơn vị
- Cách chuyển hỗn số về phân số: Tử số của phân số bằng phần nguyên nhân với mẫu số rồi cộng với tử số của phần phân số trong hỗn số, mẫu số giữ VD:
Ví dụ: ![]()
- Cách chuyển phân số về hỗn số: Lấy tử số chia mẫu số được thương là phân nguyên, số dư là tử số của phần phân số, mẫu số giữ nguyên.
Ví dụ: Chuyển phân
\(\frac{16}{3}\) số thành hỗn số:
![]()
.......................
3. Bộ đề ôn tập môn Toán lớp 5 lên lớp 6 có đáp án
ÔN CUỐI NĂM LỚP 5
DẠNG 1: THỰC HIỆN CÁC PHÉP TÍNH


.................
4. 39 đề ôn Toán lớp 5 vào lớp 6 (có đáp án)
Bài 1: Tính: (2 điểm)
a)
\(\frac{1}{2}+\frac{1}{3}+\frac{1}{4}\)
b) (27,09 + 258,91) x 25,4
Bài 2: Tìm y: (2 điểm)
52 x (y : 78 ) = 3380
Bài 3: (3 điểm)
Một người thợ làm trong 2 ngày mỗi ngày làm 8 giờ thì làm được 112 sản phẩm. Hỏi người thợ đó làm trong 3 ngày mỗi ngày làm 9 giờ thì được bao nhiêu sản phẩm cùng loại?
Bài 4: (3 điểm)
Cho tam giác ABC có diện tích là 150 m2. Nếu kéo dài đáy BC (về phía B) 5 m thì diện tích tăng thêm là 35 m2. Tính đáy BC của tam giác .
HƯỚNG DẪN CHẤM BÀI KIỂM TRA
Bài 1: (2 điểm) Mỗi tính đúng cho (1 điểm)
a)
\(\frac{1}{2}+\frac{1}{3}+\frac{1}{4}=\ \frac{12}{24}+\frac{8}{24}+\frac{6}{24}=\frac{12+8+6}{24}=\frac{26}{24}=\frac{13}{12}\)
b) (27,09 + 258,91) x 25,4 = 286 25,4 = 7264,4
Bài 2: Tìm y: (2 điểm)
52 x (y : 78) = 3380
(y : 78) = 3380 : 52 (1điểm)
(y : 78) = 65 (0,5 điểm)
y = 65 x 78
y = 5070 (0,5 điểm)
Bài 3: (3 điểm)
Mỗi giờ người thợ đó làm được số sản phẩm là:
112 : (8 x 2) = 7 (sản phẩm). (1 điểm)
Trong ba ngày người thợ đó làm tất cả số giờ là:
9 x 3 = 27 (giờ). (0,5 điểm)
Trong ba ngày người thợ đó được tất cả số sản phẩm là:
7 x 27 = 189 (sản phẩm). (1 điểm)
Đáp số: 189 sản phẩm. (0,5 điểm)
Bài 4: (3 điểm)
- Vẽ được hình cho ( 0,5 điểm ) A

- Chiều cao hạ từ đỉnh A xuống đáy BC của tam giác là:
30 x 2 : 5 = 12 (cm) (1 điểm)
- Vì AH là chiều cao chung của hai tam giác ABC và ADB
Nên đáy BC của tam giác là:
150 x 2 : 12 = 25 (cm) (1 điểm)
Đáp số: 30 (cm) (0,5 điểm)
...............
Để xem đầy đủ nội dung Bài tập ôn hè Toán lớp 5 lên lớp 6, mời bạn tải file về
Mời các bạn tham khảo các tài liệu có liên quan trên chuyên mục Học tập - Lớp 5.
Nhận bài tập hè chất lượng, được biên soạn phù hợp chương trình mới. Thầy cô có nhu cầu liên hệ Zalo: 0936.120.169
-
Chia sẻ:
Tran Thao
- Ngày:
Bài tập ôn hè Toán lớp 5 lên lớp 6 năm 2025 (60 đề)
16,9 MB 23/05/2025 2:31:00 CHNhiều người quan tâm
Tham khảo thêm
Theo Nghị định 147/2024/ND-CP, bạn cần xác thực tài khoản trước khi sử dụng tính năng này. Chúng tôi sẽ gửi mã xác thực qua SMS hoặc Zalo tới số điện thoại mà bạn nhập dưới đây:
Hướng dẫn & Hỗ trợ
Chọn một tùy chọn bên dưới để được giúp đỡ
- Lớp 1
- Lớp 2
-
Lớp 3
- Bài tập ôn hè lớp 3 lên lớp 4 (3 môn)
- Bài tập ôn hè Tiếng Anh lớp 3 lên lớp 4
- Bài tập ôn hè Toán lớp 3 lên lớp 4
- Bài tập ôn hè Tiếng Việt lớp 3 lên lớp 4
- Bài tập ôn hè lớp 3 môn Tiếng Việt sách Kết nối tri thức
- Bài tập ôn hè lớp 3 môn Tiếng Việt sách Chân trời sáng tạo
- Bài tập ôn hè lớp 3 môn Tiếng Việt sách Cánh diều
-
Lớp 4
- Bài tập ôn hè lớp 4 lên lớp 5
- Bài tập ôn hè Tiếng Anh lớp 4 lên lớp 5
- Bài ôn tập hè Toán, Tiếng Việt lớp 4 lên lớp 5
- Bài tập ôn hè Toán lớp 4 lên lớp 5
- Bài tập ôn hè Tiếng Việt lớp 4 lên lớp 5
- Bài tập ôn hè lớp 4 môn Tiếng Việt sách Kết nối tri thức
- Bài tập ôn hè lớp 4 môn Tiếng Việt sách Chân trời sáng tạo
- Bài tập ôn hè lớp 4 môn Tiếng Việt sách Cánh diều
- Lớp 5
Lớp 5 tải nhiều
-
Phiếu bài tập cuối tuần lớp 5 môn Tiếng Việt Cánh diều - Tuần 19 (Cơ bản + Nâng cao)
-
Phiếu bài tập cuối tuần lớp 5 môn Tiếng Việt Chân trời sáng tạo - Tuần 19 (Cơ bản + Nâng cao)
-
Phiếu bài tập cuối tuần lớp 5 môn Tiếng Việt Kết nối tri thức - Tuần 19 (Cơ bản + Nâng cao)
-
Phiếu bài tập cuối tuần lớp 5 môn Tiếng Việt Cánh diều - Tuần 18 (Cơ bản + Nâng cao)
-
Phiếu bài tập cuối tuần lớp 5 môn Tiếng Việt Chân trời sáng tạo - Tuần 18 (Cơ bản + Nâng cao)
-
Phiếu bài tập cuối tuần lớp 4 môn Tiếng Việt Kết nối tri thức - Tuần 18 (Cơ bản + Nâng cao)
-
Phiếu bài tập cuối tuần lớp 5 môn Tiếng Việt Kết nối tri thức - Tuần 18 (Cơ bản + Nâng cao)
-
Top 8 Tả một đồ vật hoặc món quà có ý nghĩa sâu sắc với em siêu hay
-
Phiếu bài tập cuối tuần lớp 5 môn Tiếng Việt Cánh diều - Tuần 17 (Cơ bản + Nâng cao)
-
Phiếu bài tập cuối tuần lớp 5 môn Tiếng Việt Chân trời sáng tạo - Tuần 17 (Cơ bản + Nâng cao)
Bài viết hay Lớp 5
-
Phiếu bài tập cuối tuần lớp 5 môn Tiếng Việt Chân trời sáng tạo - Tuần 2 (Cơ bản + Nâng cao)
-
Luyện nghe tiếng Anh 5 Global Success học kì 1
-
Giới thiệu một tác phẩm về việc phân xử, giải quyết các tình huống bất đồng trong cuộc sống
-
Bài tập cuối tuần Tiếng Việt lớp 5 năm học 2024-2025
-
Viết báo cáo về một công việc mà nhóm, tổ hoặc lớp em đã thực hiện và kết quả của công việc đó
-
Đoạn văn tả hoạt động của một cô (chú) công an mà em quý mến