Đề thi vào lớp 6 môn Toán trường Marie Curie 2024
Mua tài khoản Hoatieu Pro để trải nghiệm website Hoatieu.vn KHÔNG quảng cáo & Tải nhanh File chỉ từ 99.000đ. Tìm hiểu thêm »
Đề thi vào lớp 6 môn Toán trường Marie Curie 2024-2025 - Các em học sinh lớp 6 trên địa bàn thành phố Hà Nội đang bước vào kì thi vào lớp 6 năm 2025. Trong đó, Đề thi đánh giá năng lực vào lớp 6 môn Toán trường Marie Curie 2024 bao gồm 40 câu hỏi trong 60 phút là tâm điểm chú ý bởi độ khó và tính cạnh tranh cao.
Bài viết dưới đây, HoaTieu.vn xin chia sẻ các thông tin mới nhất về Đề thi đánh giá năng lực vào lớp 6 môn Toán trường Marie Curie 2024 và gợi ý đáp án đề thi tuyển sinh lớp 6 môn Toán trường trường Marie Curie 2024-2025 để các em có thêm tài liệu tham khảo đối chiếu với bài làm của mình sau khi thi.
Đáp án đề thi Toán vào lớp 6 trường Marie Curie, Hà Nội 2025 - 2026
1. Đáp án đề thi tuyển sinh lớp 6 môn Toán trường Marie Curie 2025
Đang cập nhật...
2. Đề thi Toán vào lớp 6 trường Marie Curie 2025-2026
Đang cập nhật...
3. Đề thi vào lớp 6 môn Toán 2023 trường Marie Curie Hà Nội





Đáp án đề thi tuyển sinh lớp 6 môn Toán trường Marie Curie 2023 mã đề 122











4. Đề thi vào lớp 6 môn Toán trường Marie Curie 2022
Câu 1: Tích sau có tận cùng bao nhiêu chữ số 0?
23 x 24 x 25 x 26 x 27 x 28 x 29 x 30 x 31 x 32
A. 4 chữ số 0
B. 1 chữ số 0
C. 3 chữ số 0
D. 2 chữ số 0
Câu 2: Quãng đường AB dài 180km. Một ô tô đi
\(\frac{1}{6}\) quãng đường AB hết 35 phút, trên quãng đường còn lại ô tô đi với vận tốc 40km/giờ. Hỏi ô tô đi hết quãng đường AB trong bao lâu?
A. 4 giờ 20 phút
B. 3 giờ 45 phút
C. 1 giờ 10 phút
D. 45 phút
Câu 3: Một hình bình hành có độ dài đáy bằng 24cm, chiều cao bằng
\(\frac{3}{8}\)độ dài đáy. Diện tích của hình bình hành đó là:
A. 216cm2
B. 108cm2
C. 9cm2
D. 216cm
Câu 4: Số đo thể tích nào lớn nhất trong các số đo dưới đây?
A. 6,407m3
B. 6047 lít
C.
\(6\frac{4}{7}\)m3
D. 6 470 000cm3
Câu 5: Hiệu số tuổi của bố và con là 30 tuổi. Tuổi con bằng
\(\frac{1}{4}\) tuổi bố. Tuổi bố là:
A. 6 tuổi
B. 10 tuổi
C. 24 tuổi
D. 40 tuổi
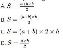
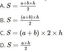
Câu 6: Một hình thang có đáy lớn a, đáy bé là b, chiều cao là h (a, b, h cùng đơn vị đo) thì công thức tính diện tích S của hình thang đó là:

Câu 7: Hình hộp chữ nhật có ...... mặt, ...... cạnh, ... đỉnh.
Số thích hợp lần lượt điền vào chỗ chấm là:
A. 6 ; 12 ; 8
B. 8; 12; 6
C. 6; 8; 12
D. 12; 6; 8
Câu 8: Biết 1m3 nước bằng 1000 ℓ nước có thể đóng vào bao nhiêu chai nước nói trên? Hỏi một bể chứa 2250ℓ nước có thể đóng vào bao nhiêu chai nước nói trên?
A. 300 chai
B. 3000 ℓ
C. 30 000 chai
D. 3000 chai
Câu 9: Cho ba chữ số 2; 3; 5. Có bao nhiêu số tự nhiên có ba chữ số chia hết cho 5 được tạo thành từ ba chữ số trên?
A. 9 số
B. 7 số
C. 2 số
D. 6 số
Câu 10: Diện tích hình tam giác có độ dài đáy 4,7dm và chiều cao 35cm là:
A. 16,45cm2
B. 8,225dm2
C. 82,25dm2
D. 82,25cm2
Câu 11: Tỉ số phần trăm của 9 và 20 là:
A. 0,45%
B. 45%
C. 4,5%
D. 45
Câu 12: Số lớn nhất có bốn chữ số khác nhau và chia hết cho 9 là:
A. 9870
B. 9876
C. 9873
D. 9999
Câu 13: Trường hợp nào dưới đây làm diện tích hình chữ nhật giảm đi 40%?
A. Giảm chiều rộng đi 15%, giảm chiều dài đi 25%
B. Giảm chiều rộng đi 25%, giảm chiều dài đi 15%
C. Giảm chiều rộng đi 40%, giữ nguyên chiều dài
D. Cùng giảm chiều dài và chiều rộng đi 20%
Câu 14: Số thích hợp viết vào chỗ chấm để 56g = ......kg là:
A. 5,6
B. 56 000
C. 0,056
D. 0,56
Câu 15: Phân số
\(\frac{25}{8}\) viết dưới dạng phân số thập phân là:
A. 3,125
B.
\(\frac{31250}{10000}\)
C. 312,5%
D.
\(\frac{100}{32}\)
Câu 16: Nếu gấp bán kính của hình tròn lên 3,5 lần thì chu vi hình tròn đó gấp lên số lần là:
A. 3,5 lần
B. 12,25 lần
C. 14 lần
D. 7 lần
Câu 17: Chữ số thích hợp điền vào chỗ chấm để 32,...8 < 32,18 là:
A. 8
B. 4
C. 9
D. 0
Câu 18: Cho một số tự nhiên gồm các số tự nhiên liên tiếp từ 1 đến 2021 được viết theo thứ tự liền nhau như sau: 1 2 3 4 5 6 7 8 9 10 11 12 13 ... 2019 2020 2021
Tính tổng của tất cả các chữ số đó.
A. 27 851
B. 27 850
C. 28 149
D. 28 150
Câu 19: Tuổi trung bình của cô giáo và 29 học sinh là 12 tuổi. Biết tuổi của cô giáo nhiều hơn tuổi trung bình của 29 học sinh là 30 tuổi. Tính tuổi của cô giáo.
A. 41 tuổi
B. 33 tuổi
C. 36 tuổi
D. 30 tuổi
Câu 20: Thể tích của hình lập phương có độ dài cạnh bằng 2,6dm là:
A. 6,76dm3
B. 40,56dm3
C. 17 576dm3
D. 17,576dm3
Câu 21: Một mảnh đất hình chữ nhật có chiều dài bằng 560m, chiều rộng bằng 250m. Tính chu vi của mảnh đất đó trên bản đồ tỉ lệ 1 : 1000.
A. 0,81m
B. 0,162m
C. 162cm
D. 81cm
Câu 22: Khi dịch chuyển dấu phẩy của số thập phân sang bên trái một chữ số, số đó thay đổi thế nào?
A. Gấp 100 lần
B. Gấp 10 lần
C. Giảm 100 lần
D. Giảm 10 lần
Câu 23: Số thập phân gồm 3 đơn vị, 4 phần mười, 6 phần nghìn là:
A. 3,046
B. 0,346
C. 3,406
D. 3,46
![]()
A. x = 155 phút
B. x = 29 giờ 40 phút
C. x = 1 giờ 55 phút
D. x = 1 giờ 15 phút
Câu 25: Một người thợ may 5 cái quần hết 4 giờ và may 5 cái áo hết 3 giờ 20 phút. Thời gian trung bình để may mỗi bộ quần áo như vậy là:
A. 44 phút
B. 7 giờ 20 phút
C. 1 giờ 28 phút
D. 1 giờ 4 phút
Câu 26: Đổi 50 326m2 = ….... ha ……. m2, ta được kết quả là:
A. 503ha 26m2
B. 5ha 326m2
C. 5ha 3260m2
D. 50ha 326m2
Câu 27: Sổ thích hợp viết vào chỗ chấm để 276 phút = ……. giờ là:
A. 4,06
B. 16 560
C. 2,36
D. 4,6
Câu 28: Dãy số thập phân nào dưới đây được sắp xếp theo thứ tự tăng dần?
A. 9,697; 9,769; 9,796; 9,976
B. 8,697; 8,769; 8,976; 8,967
C. 13,097; 13,079; 13,907; 13,709
D. 45,326; 45,336; 43,999; 46,73
Câu 29: Một hình hộp chữ nhật có chiều dài, chiều rộng, chiều cao lần lượt là 4,5cm; 3,5cm; 2,8cm. Diện tích xung quanh của hình hộp chữ nhật đó là:
A. 76,3cm2
B. 44,8cm2
C. 31,5cm2
D. 22,4cm2
Câu 30. Phân số
\(\frac{18}{7}\)bằng hỗn số nào dưới đây?
A.
\(2\frac{4}{7}\)
B.
\(2\frac{1}{7}\)
C.
\(2\frac{3}{7}\)
D.
\(2\frac{2}{7}\)
Câu 31: Số thích hợp viết vào chỗ chấm để
\(\frac{2}{5}\)km = ......m là:
A. 40
B. 400
C. 0,4
D. 25
Câu 34: Biết 12 người làm xong một công việc trong 8 ngày. Hỏi muốn làm xong công việc đó trong 4 ngày cần bao nhiêu người? (mức làm của mỗi người như nhau)
A. 24 ngày
B. 6 ngày
C. 6 người
D. 24 người
Câu 35: Phát biểu nào dưới đây sai?
A. Mọi phân số có tử số bằng mẫu sổ đều viết được dưới dạng số tự nhiên.
B. Mọi phân số có mẫu số bằng 1 đều viết được dưới dạng số tự nhiên.
C. Mọi phân số có tử số bằng 1 đều viết được dưới dạng số tự nhiên.
D. Phân số có tử số bằng 0 có giá trị bằng 0.
Câu 36: Một vận động viên chạy được 576m trong 1 phút 36 giây. Vận tốc chạy của vận động viên đó là:
A. 6m
B. 6m/phút
C. 6m/giây
D. 6km/giờ
Câu 37: Mua 12 chiếc bút chì phải trả 54 000 đồng. Mua 5 chiếc bút chì như vậy phải trả số tiền là:
A. 22 500 đồng
B. 20 500 đồng
C. 27 000 đồng
D. 45 000 đồng
Câu 38: Một bể nước dạng hình hộp chữ nhật có chiều dài bằng 2,4m, chiều rộng bằng 1,5m, chiều cao bằng 1,2m. Khi bể chứa đầy nước, người ta tháo ra 1,5m3 nước. Hỏi sau khi tháo, trong bể còn lại bao nhiêu mét khối nước?
A. 2,82dm3
B. 2,82m3
C. 4,32 m3
D. 5,82 m3
Câu 39: Năm nay mẹ hơn con 28 tuổi. Hỏi 10 năm nữa mẹ hơn con bao nhiêu tuổi?
A. 48 tuổi
B. 28 tuổi
C. 18 tuổi
D. 38 tuổi

Đáp án đề thi vào lớp 6 môn Toán trường Marie Curie 2022
Câu 1: Tích sau có tận cùng bao nhiêu chữ số 0?
23 x 24 x 25 x 26 x 27 x 28 x 29 x 30 x 31 x 32
A. 4 chữ số 0
B. 1 chữ số 0
C. 3 chữ số 0
D. 2 chữ số 0
Cách giải
Ta có trong tích có thừa số 30 cho 1 chữ số 0 ở tận cùng.
Lại có 25 = 5 x 5
Mỗi số chẵn nhân với số có tận cùng là 5 cho 1 chữ số 0 ở tận cùng.
Vậy tích trên có tận cùng là 3 chữ số 0.
Chọn C
Câu 2: Quãng đường AB dài 180km. Một ô tô đi
\(\frac{1}{6}\) quãng đường AB hết 35 phút, trên quãng đường còn lại ô tô đi với vận tốc 40km/giờ. Hỏi ô tô đi hết quãng đường AB trong bao lâu?
A. 4 giờ 20 phút
B. 3 giờ 45 phút
C. 1 giờ 10 phút
D. 45 phút
Cách giải
Quãng đường ô tô đi với vận tốc 40km/giờ là 180×(1−
\(\frac{1}{6}\))=150 (km)
Thời gian ô tô đi trên quãng đường còn lại là 150 : 40 = 3, 75 giờ = 3 giờ 45 phút
Thời gian ô tô đi hết quãng đường AB là
35 phút + 3 giờ 45 phút = 4 giờ 20 phút
Chọn A
Câu 3: Một hình bình hành có độ dài đáy bằng 24cm, chiều cao bằng
\(\frac{3}{8}\)độ dài đáy. Diện tích của hình bình hành đó là:
A. 216cm2
B. 108cm2
C. 9cm2
D. 216cm
Cách giải
Chiều cao của hình bình hành là 24 ×
\(\frac{3}{8}\) = 9 24×38=9 (cm)
Diện tích hình bình hành là 24 x 9 = 216cm2
Chọn A.
Câu 4: Số đo thể tích nào lớn nhất trong các số đo dưới đây?
A. 6,407m3
B. 6047 ℓ
C.
\(6\frac{4}{7}\)m3
D. 6 470 000cm3
Cách giải
Đổi 6047ℓ = 6047 dm3 = 6,047m3
6 470 000cm3 = 6,470 m3
Chọn D
Câu 5: Hiệu số tuổi của bố và con là 30 tuổi. Tuổi con bằng
\(\frac{1}{4}\) tuổi bố. Tuổi bố là:
A. 6 tuổi
B. 10 tuổi
C. 24 tuổi
D. 40 tuổi
Cách giải
Tuổi bố là 30 : (4 – 1) x 4 = 40 (tuổi)
Chọn D
Câu 6: Một hình thang có đáy lớn a, đáy bé là b, chiều cao là h (a, b, h cùng đơn vị đo) thì công thức tính diện tích S của hình thang đó là:
Cách giải
![]()
Chọn B
Câu 7: Hình hộp chữ nhật có ...... mặt, ...... cạnh, ... đỉnh.
Số thích hợp lần lượt điền vào chỗ chấm là:
A. 6 ; 12 ; 8
B. 8; 12; 6
C. 6; 8; 12
D. 12; 6; 8
Cách giải
Hình hộp chữ nhật có 6 mặt, 12 cạnh, 8 đỉnh.
Chọn A
Câu 9: Cho ba chữ số 2; 3; 5. Có bao nhiêu số tự nhiên có ba chữ số chia hết cho 5 được tạo thành từ ba chữ số trên?
A. 9 số
B. 7 số
C. 2 số
D. 6 số
Cách giải
Các số có ba chữ số chia hết cho 5 được tạo thành từ ba chữ số 2 ; 3 ; 5 là 235, 325, 525, 225, 335, 535, 255, 355, 555.
Chọn A
Câu 10: Diện tích hình tam giác có độ dài đáy 4,7dm và chiều cao 35cm là:
A. 16,45cm2
B. 8,225dm2
C. 82,25dm2
D. 82,25cm2
Cách giải
Đổi 35 cm = 3,5 dm
Diện tích hình tam giác là 4,7 x 3,5 : 2 = 8,225 (dm2)
Chọn B
Câu 11: Tỉ số phần trăm của 9 và 20 là:
A. 0,45%
B. 45%
C. 4,5%
D. 45
Cách giải
Tỉ số phần trăm của 9 và 20 là 9 : 20 = 0,45 = 45%
Chọn B
Câu 12: Số lớn nhất có bốn chữ số khác nhau và chia hết cho 9 là:
A. 9870
B. 9876
C. 9873
D. 9999
Cách giải
Số lớn nhất có bốn chữ số khác nhau và chia hết cho 9 là 9873
Chọn C.
Câu 13: Trường hợp nào dưới đây làm diện tích hình chữ nhật giảm đi 40%?
A. Giảm chiều rộng đi 15%, giảm chiều dài đi 25%
B. Giảm chiều rộng đi 25%, giảm chiều dài đi 15%
C. Giảm chiều rộng đi 40%, giữ nguyên chiều dài
D. Cùng giảm chiều dài và chiều rộng đi 20%
Cách giải
Trường hợp làm diện tích hình chữ nhật giảm đi 40% là giảm chiều rộng đi 40%, giữ nguyên chiều dài.
Chọn C.
Câu 14: Số thích hợp viết vào chỗ chấm để 56g = ......kg là:
A. 5,6
B. 56 000
C. 0,056
D. 0,56
Cách giải
![]()
Chọn C

Câu 16: Nếu gấp bán kính của hình tròn lên 3,5 lần thì chu vi hình tròn đó gấp lên số lần là:
A. 3,5 lần
B. 12,25 lần
C. 14 lần
D. 7 lần
Cách giải
Chu vi hình tròn là r x 2 x 3,14
Nếu gấp bán kính của hình tròn lên 3,5 lần thì chu vi hình tròn là 3,5 x r x 2 x 3,14
⇒ ⇒ Gấp 3,5 lần
Chọn A
Câu 17: Chữ số thích hợp điền vào chỗ chấm để 32,...8 < 32,18 là:
A. 8
B. 4
C. 9
D. 0
Cách giải
Ta có 32,08 < 32,18
Chọn D
Câu 18: Cho một số tự nhiên gồm các số tự nhiên liên tiếp từ 1 đến 2021 được viết theo thứ tự liền nhau như sau:
1 2 3 4 5 6 7 8 9 10 11 12 13 ... 2019 2020 2021
Tính tổng của tất cả các chữ số đó.
A. 27 851
B. 27 850
C. 28 149
D. 28 150
Cách giải
(0 + 1 + 9 + 9 + 9) + (1 + 1+ 9 + 9 + 8) + (2 + 1 + 9 + 9 + 7) + ……
1000 nhóm
+ 2 + 0 + 0 + 0 + 2 + 0 + 0 + 1 + 2 + 0 + 0 + 2 + … + 2 + 0 + 0 + 9
+ 2 + 0 + 1 + 0 + 2 + 0 + 1 + 1 + 2 + 0 + 1 + 2 + …. +
2 + 0 + 1 + 9 + 2+ 0 + 2 + 0 + 2 + 0 + 2 + 1
= 28 x 1000 + 2 + 3 + 4 + …. + 11 + 3 + 4 + 5 + ….. + 12 + 4 + 5
= 28149
Chọn C
Câu 19: Tuổi trung bình của cô giáo và 29 học sinh là 12 tuổi. Biết tuổi của cô giáo nhiều hơn tuổi trung bình của 29 học sinh là 30 tuổi. Tính tuổi của cô giáo.
A. 41 tuổi
B. 33 tuổi
C. 36 tuổi
D. 30 tuổi
Cách giải
Tuổi của cô giáo và 29 học sinh là 12 x 30 = 360 (tuổi)
Tuổi trung bình của học sinh là (360 – 30) : 30 = 11 (tuổi)
Tuổi của cô giáo là 11 + 30 = 41 (tuổi)
Chọn A
Câu 20: Thể tích của hình lập phương có độ dài cạnh bằng 2,6dm là:
A. 6,76dm3
B. 40,56dm3
C. 17 576dm3
D. 17,576dm3
Cách giải
Thể tích của hình lập phương là 2,6 x 2,6 x 2,6 = 17 576 (dm3)
Chọn C
Câu 21: Một mảnh đất hình chữ nhật có chiều dài bằng 560m, chiều rộng bằng 250m. Tính chu vi của mảnh đất đó trên bản đồ tỉ lệ 1 : 1000.
A. 0,81m
B. 0,162m
C. 162cm
D. 81cm
Cách giải
Đổi 560 m = 56000 cm ; 250m = 25000 cm
Chiều dài mảnh đất trên bản đồ là 56000 : 1000 = 56 (cm)
Chiều rộng mảnh đất trên bản đồ là 25000: 1000 = 25 (cm)
Chu vi mảnh đất trên bản đồ là (56 + 25) x 2 = 162 (cm)
Chọn C
Câu 22: Khi dịch chuyển dấu phẩy của số thập phân sang bên trái một chữ số, số đó thay đổi thế nào?
A. Gấp 100 lần
B. Gấp 10 lần
C. Giảm 100 lần
D. Giảm 10 lần
Cách giải
Khi dịch chuyển dấu phẩy của số thập phân sang bên trái một chữ số thì số đó giảm 10 lần.
Chọn D
Câu 23: Số thập phân gồm 3 đơn vị, 4 phần mười, 6 phần nghìn là:
A. 3,046
B. 0,346
C. 3,406
D. 3,46
Cách giải
Số thập phân gồm 3 đơn vị, 4 phần mười, 6 phần nghìn là 3,406
Chọn C
Câu 25: Một người thợ may 5 cái quần hết 4 giờ và may 5 cái áo hết 3 giờ 20 phút. Thời gian trung bình để may mỗi bộ quần áo như vậy là:
A. 44 phút
B. 7 giờ 20 phút
C. 1 giờ 28 phút
D. 1 giờ 4 phút
Cách giải
Thời gian để may 1 cái quần là
4 giờ : 5 = 0,8 giờ = 48 phút
Thời gian để may 1 cái áo là
3 giờ 20 phút : 5 = 40 phút
Thời gian trung bình để may mỗi bộ quần áo như vậy là:
48 phút + 40 phút = 88 phút = 1 giờ 28 phút
Chọn C
Câu 26: Đổi 50 326m2 = ….... ha ……. m2, ta được kết quả là:
A. 503ha 26m2
B. 5ha 326m2
C. 5ha 3260m2
D. 50ha 326m2
Cách giải
50 326m2 = 5 ha 326 m2
Chọn B

Chọn D
Câu 28: Dãy số thập phân nào dưới đây được sắp xếp theo thứ tự tăng dần?
A. 9,697; 9,769; 9,796; 9,976
B. 8,697; 8,769; 8,976; 8,967
C. 13,097; 13,079; 13,907; 13,709
D. 45,326; 45,336; 43,999; 46,73
Cách giải
Dãy số thập phân được sắp xếp theo thứ tự tăng dần là 9,697; 9,769; 9,796; 9,976
Chọn A
Câu 29: Một hình hộp chữ nhật có chiều dài, chiều rộng, chiều cao lần lượt là 4,5cm; 3,5cm; 2,8cm. Diện tích xung quanh của hình hộp chữ nhật đó là:
A. 76,3cm2
B. 44,8cm2
C. 31,5cm2
D. 22,4cm2
Cách giải
Diện tích xung quanh của hình hộp chữ nhật đó là:
(4,5 + 3,5) x 2 x 2,8 = 44,8 (cm2)
Chọn B



Câu 34: Biết 12 người làm xong một công việc trong 8 ngày. Hỏi muốn làm xong công việc đó trong 4 ngày cần bao nhiêu người? (mức làm của mỗi người như nhau)
A. 24 ngày
B. 6 ngày
C. 6 người
D. 24 người
Cách giải
8 ngày gấp 4 ngày số lần là 8 : 4 = 2 (lần)
Để làm xong công việc trong 4 ngày cần số người là 12 x 2 = 24 (người)
Chọn D
Câu 35: Phát biểu nào dưới đây sai?
A. Mọi phân số có tử số bằng mẫu số đều viết được dưới dạng số tự nhiên.
B. Mọi phân số có mẫu số bằng 1 đều viết được dưới dạng số tự nhiên.
C. Mọi phân số có tử số bằng 1 đều viết được dưới dạng số tự nhiên.
D. Phân số có tử số bằng 0 có giá trị bằng 0.
Cách giải
Phát biểu sai là: Mọi phân số có tử số bằng 1 đều viết được dưới dạng số tự nhiên.
Chọn C
Câu 36: Một vận động viên chạy được 576m trong 1 phút 36 giây. Vận tốc chạy của vận động viên đó là:
A. 6m
B. 6m/phút
C. 6m/giây
D. 6km/giờ
Cách giải
Đổi: 1 phút 36 giây = 96 giây
Vận tốc chạy của vận động viên đó là 576 : 96 = 6 (m/giây)
Chọn C
Câu 37: Mua 12 chiếc bút chì phải trả 54 000 đồng. Mua 5 chiếc bút chì như vậy phải trả số tiền là:
A. 22 500 đồng
B. 20 500 đồng
C. 27 000 đồng
D. 45 000 đồng
Cách giải
Giá tiền mua 1 chiếc bút chì là 54000 : 12 = 4500 (đồng)
5 chiếc bút chì như vậy phải trả số tiền là 4500 x 5 = 22500 (đồng)
Chọn A
Câu 38: Một bể nước dạng hình hộp chữ nhật có chiều dài bằng 2,4m, chiều rộng bằng 1,5m, chiều cao bằng 1,2m. Khi bể chứa đầy nước, người ta tháo ra 1,5m3 nước. Hỏi sau khi tháo, trong bể còn lại bao nhiêu mét khối nước?
A. 2,82dm3
B. 2,82m3
C. 4,32 m3
D. 5,82 m3
Cách giải
Thể tích của bể là 2,4 x 1,5 x 1,2 = 4,32 (m3)
Sau khi tháo, trong bể còn lại số mét khối nước là 4,32 - 1,5 = 2,82 (m3)
Chọn B
Câu 39: Năm nay mẹ hơn con 28 tuổi. Hỏi 10 năm nữa mẹ hơn con bao nhiêu tuổi?
A. 48 tuổi
B. 28 tuổi
C. 18 tuổi
D. 38 tuổi
Cách giải
Vì hiệu số tuổi của hai mẹ con không thay đổi theo thời gian nên 10 năm nữa mẹ vẫn hơn con 28 tuổi.
Chọn B

Cách giải:
\(0,36\ =\frac{3}{100}=\frac{9}{25}\)
Còn rất nhiều Bộ đề thi vào lớp 6 môn Toán trường Marie Curie các năm trước kèm theo gợi ý đáp án được HoaTieu.vn sưu tầm và tổng hợp tại file tải về để các em học sinh có thể luyện tập, làm quen với cấu trúc đề thi thực tế, đồng thời rèn luyện kỹ năng tư duy, phân tích và quản lý thời gian làm bài – những yếu tố then chốt để đạt điểm cao trong kỳ thi tuyển sinh.
Kho đề thi được chọn lọc và tổng hợp từ các năm học trước không chỉ giúp học sinh nắm vững dạng bài thường gặp, mà còn rèn luyện phản xạ giải quyết nhanh các câu hỏi đánh giá năng lực – đặc trưng trong đề thi của trường Marie Curie. Đây cũng là nguồn tài liệu bổ ích dành cho phụ huynh và giáo viên trong quá trình hướng dẫn con em ôn luyện có hệ thống, bài bản.

Bài viết này được HoaTieu cập nhật liên tục. Hãy theo dõi để đón xem những thông tin mới nhất về Đề thi đánh giá năng lực vào lớp 6 môn Toán trường Marie Curie 2025.
Mời các bạn tham khảo thêm các thông tin hữu ích khác trên chuyên mục Lớp 6: Học tập của HoaTieu.vn.
-
Chia sẻ:
Nguyễn Thị Hải Yến
- Ngày:
Đề thi vào lớp 6 môn Toán trường Marie Curie 2024
25,2 MB 21/05/2025 11:39:00 SANhiều người quan tâm
Tham khảo thêm
-
Viết bài văn trình bày ý kiến về một hiện tượng (vấn đề) mà em quan tâm lớp 6
-
Viết bài văn trình bày ý kiến về một hiện tượng đời sống được gợi ra từ cuốn sách đã đọc
-
Viết về ngôi nhà trong tương lai bằng tiếng Anh ngắn gọn
-
Viết bài văn trình bày ý kiến về một hiện tượng đời sống được gợi ra từ cuốn sách Cô bé bán diêm
-
Bộ đề thi học kì 2 môn Lịch sử - Địa lí 6 sách Chân trời sáng tạo năm 2025 - 2026
-
Bộ đề thi học kì 2 môn Hoạt động trải nghiệm 6 sách Kết nối tri thức năm 2025 - 2026
-
Bộ đề kiểm tra đánh giá năng lực vào lớp 6 năm học 2025-2026
-
Thuyết minh về lễ chào cờ lớp 6 ngắn gọn (10 mẫu)
Theo Nghị định 147/2024/ND-CP, bạn cần xác thực tài khoản trước khi sử dụng tính năng này. Chúng tôi sẽ gửi mã xác thực qua SMS hoặc Zalo tới số điện thoại mà bạn nhập dưới đây:
- Chuyên đề ôn tập
-
Bộ đề thi vào lớp 6
- Bộ đề kiểm tra đánh giá năng lực vào lớp 6 (tổng hợp)
- Đề thi vào lớp 6 trường chuyên có đáp án
- Đề thi vào lớp 6 trường THCS Lê Quý Đôn
- Đề thi vào lớp 6 trường THCS Cầu Giấy
- Đề thi vào lớp 6 trường THCS Lê Văn Thiêm
- Đề thi vào lớp 6 trường Chuyên Trần Đại Nghĩa
- Đề thi vào lớp 6 trường Nguyễn Tất Thành
- Đề thi vào lớp 6 trường THCS Thanh Xuân
- Đề thi vào lớp 6 trường THCS Đào Sư Tích
- Đề thi vào lớp 6 Trường THCS Nguyễn Tri Phương
- Đề thi vào lớp 6 trường Chu Văn An
- Đề minh họa đánh giá năng lực vào lớp 6 trường Lômônôxốp
- Đề thi thử vào lớp 6 trường Archimedes
- Đề thi vào lớp 6 CLC Hiệp Hòa, Bắc Giang
- Đề thi vào lớp 6 CLC Việt Yên, Bắc Giang
- Đề thi vào lớp 6 THCS Vũ Duệ, Phú Thọ
- Đề thi vào lớp 6 TP. Thủ Đức
- Đề thi vào lớp 6 CLC Thành phố Hưng Yên
- Đề thi vào lớp 6 trường THCS Trọng điểm Hải Dương
- Đề thi vào lớp 6 trường THCS Nguyễn Huệ
- Đề thi vào lớp 6 trường THCS Tiên Du
- Đề thi vào lớp 6 trường THCS Trọng điểm Bắc Ninh
- Đề thi vào lớp 6 trường THCS Vĩnh Tường, Vĩnh Phúc
- Đề thi vào lớp 6 trường Lương Thế Vinh
-
Môn Tiếng Việt
- Bộ đề ôn thi chất lượng cao lớp 5 môn Tiếng Việt
- Đề thi vào lớp 6 môn Tiếng Việt trường THCS Cầu Giấy
- Đề thi vào lớp 6 môn Tiếng Việt trường THCS Nam Từ Liêm
- Đề thi Tiếng Việt vào lớp 6 trường Thanh Xuân
- Đề thi vào lớp 6 môn Tiếng Việt trường Nguyễn Tất Thành
- Đề thi Tiếng Việt vào lớp 6 trường THCS Chu Văn An
- Đề thi Tiếng Việt vào lớp 6 Trường Nguyễn Tri Phương
- Đề thi Tiếng Việt vào lớp 6 THCS Vũ Duệ
- Đề thi thử tiếng Việt vào lớp 6 trường Archimedes
- Đề thi tuyển sinh vào lớp 6 môn Tiếng Việt khối mũi nhọn
- Đề thi Tiếng Việt vào lớp 6 trường THCS Trọng điểm Hải Dương
- Đề thi Tiếng Việt vào lớp 6 trường THCS Tiên Du
- Đề thi Tiếng Việt vào lớp 6 trường THCS Trọng điểm Bắc Ninh
- Đề thi Tiếng Việt vào lớp 6 trường THCS Lương Thế Vinh
-
Môn Toán
- Bộ đề thi vào lớp 6 môn Toán
- Đề thi vào lớp 6 môn Toán Lương Thế Vinh
- Đề thi Toán vào lớp 6 trường Nguyễn Tất Thành
- Đề thi vào lớp 6 môn Toán trường Marie Curie
- Đề thi vào lớp 6 môn Toán trường Nobel School, Thanh Hóa
- Đề thi Toán vào lớp 6 trường THCS Thanh Xuân
- Đề thi vào lớp 6 môn Toán trường THCS Nam Từ Liêm
- Đề thi vào lớp 6 môn Toán trường THCS Cầu Giấy
- Đề thi Toán vào lớp 6 trường THCS Chu Văn An
- Đề thi Toán vào lớp 6 Trường THCS Nguyễn Tri Phương
- Đề thi Toán vào lớp 6 THCS Vũ Duệ
- Đề thi vào lớp 6 THCS Năng khiếu Hà Nội
- Đề thi thử Toán vào lớp 6 trường Archimedes
- Đề thi Toán vào lớp 6 trường THCS Trọng điểm Hải Dương
- Đề thi Toán vào lớp 6 trường THCS Tiên Du, Bắc Ninh
- Đề thi Toán vào lớp 6 trường THCS Trọng điểm Bắc Ninh
-
Môn Tiếng Anh
- Đề thi Tiếng Anh vào lớp 6 trường Cầu Giấy
- Đề thi vào lớp 6 môn Tiếng Anh trường Nguyễn Tất Thành
- Đề thi thử tiếng Anh vào lớp 6 trường Archimedes Academy
- Đề thi vào lớp 6 môn Tiếng Anh trường Nguyễn Tất Thành
- Đề thi vào lớp 6 môn Tiếng Anh trường Marie Curie
- Đề thi Tiếng Anh vào lớp 6 trường THCS Chu Văn An
- Đề thi Tiếng Anh vào lớp 6 Trường THCS Nguyễn Tri Phương
- Đề luyện thi vào lớp 6 chất lượng cao môn Tiếng Anh
- Đề thi Tiếng Anh vào lớp 6 trường THCS Trọng điểm Hải Dương
- Đề thi Tiếng Anh vào lớp 6 trường THCS Tiên Du
- Đề thi Tiếng Anh vào lớp 6 trường THCS Trọng điểm Bắc Ninh
- Bộ đề tuyển sinh tiếng Anh vào lớp 6 Hà Nội
- Đề thi vào lớp 6 môn Tiếng Anh có đáp án
- Đề thi Tiếng Anh vào lớp 6 trường chất lượng cao
Đề thi vào lớp 6 tải nhiều
-
Đề thi Tiếng Anh vào lớp 6 trường chất lượng cao
-
Đề thi vào lớp 6 môn Tiếng Anh có đáp án
-
Bộ đề tuyển sinh tiếng Anh vào lớp 6 Hà Nội (Có đáp án)
-
Đáp án Đề thi vào lớp 6 trường Chuyên Trần Đại Nghĩa năm 2025
-
Đề thi vào lớp 6 trường Chu Văn An năm 2025
-
Đáp án đề thi vào lớp 6 Trường THCS Nguyễn Tri Phương năm 2025
-
Đề thi vào lớp 6 trường Lê Quý Đôn năm 2025
-
Đề thi vào lớp 6 trường THCS Thanh Xuân năm 2025
-
Đề thi vào lớp 6 trường THCS Lê Văn Thiêm năm 2025-2026
-
Đề thi vào lớp 6 trường Nguyễn Tất Thành năm 2025-2026
Bài viết hay Đề thi vào lớp 6
-
Đáp án đề thi vào lớp 6 trường THCS Trọng điểm Bắc Ninh năm 2025-2026
-
Đề thi Tiếng Anh vào lớp 6 trường THCS Chu Văn An từ năm 2022 đến 2025
-
Đáp án đề thi Toán vào lớp 6 trường Nguyễn Tất Thành 2025
-
Đề thi tuyển sinh vào lớp 6 môn Tiếng Việt khối mũi nhọn năm học 2025-2026
-
Chuyên đề Tiếng Việt ôn thi vào 6: Liên kết câu (Có đáp án)
-
Chuyên đề Tiếng Việt ôn thi vào 6: Câu đơn, câu ghép. Cách nối các vế câu ghép (Có đáp án)