Đáp án đề thi Lê Hồng Phong Nam Định 2023
Mua tài khoản Hoatieu Pro để trải nghiệm website Hoatieu.vn KHÔNG quảng cáo & Tải nhanh File chỉ từ 99.000đ. Tìm hiểu thêm »
Đề thi tuyển sinh lớp 10 Lê Hồng Phong Nam Định 2023 - 2024
Kì thi tuyển sinh vào lớp 10 năm học 2023-2024 tỉnh Nam Định đã chính thức bắt đầu với kì thi tuyển sinh vào lớp 10 của trường chuyên Lê Hồng Phong. Theo đó, sáng ngày 25/6 các thí sinh sẽ làm bài thi môn Ngữ văn (chung), chiều thi môn ngoại ngữ (chung). Trong bài viết này Hoatieu xin cập nhật các thông tin mới nhất về đề thi vào lớp 10 chuyên Lê Hồng Phong Nam Định 2023, mời các bạn đọc chú ý đón xem.
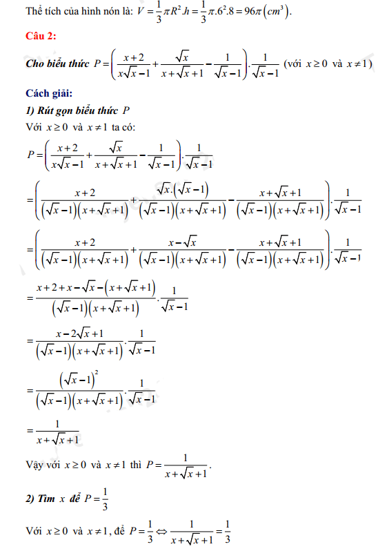
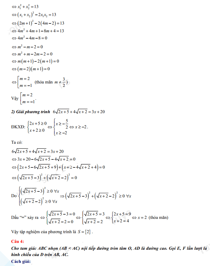
1. Đáp án đề Toán chung Lê Hồng Phong Nam Định 2023 - đề 1







2. Đề thi Toán chung Lê Hồng Phong Nam Định 2023

3. Đề Văn Lê Hồng Phong Nam Định 2023


PHẦN I. TIẾNG VIỆT (2,0 điểm)
Câu 1. Trong các ngữ liệu sau, từ mũi nào được dùng với nghĩa gốc, từ mũi nào được dùng với nghĩa chuyển?
a) Du lịch đã trở thành ngành mũi nhọn của địa phương.
b) Tổ Quốc tôi như một con tàu
Mũi thuyền ta đó – Mũi Cà Mau. (Xuân Diệu)
c) Anh cán bộ nhìn hai bộ mặt bầu bầu cùng một khuôn có hai cái chót mũi hơi hớt lên của chị em Việt. (Nguyễn Thị)
d) Lão thúc con Rô-xi-nan tê phi thẳng tới chiếc cối xay gió gần nhất ở trước mặt, và đâm mũi giáo vào cánh quạt. (Xéc-van-tét)
Câu 2: Phân tích tác dụng của phép điệp được sử dụng trong đoạn thơ sau:
Tháng bảy mùa ngâu
Bố mẹ đội mưa bì bõm
Băng qua những bọt bong bóng nước rơi
vỡ trên đường
Băng qua những tiếng còi xe inh ỏi
Băng qua giông
Băng qua gió.
(Theo Thương nhớ mưa ngâu, Đỗ Nhật Nam)
PHẦN II. ĐỌC HIỂU (2,5 điểm)
Đọc đoạn trích:
Một tác phẩm tốt trước tiên phải được hình thành cẩn thận, một chiếc váy đẹp trước tiên phải được thiết kế cẩn thận, một tòa nhà đẹp trước tiên phải có một bản thiết kế chi tiết. Và con người cũng vậy, để thực hiện được ước mơ lớn lao của mình thì trước hết cần phải lên kế hoạch chu đáo.
Bạn muốn trở thành một người như thế nào trong tương lai? Phi hành gia, nhà khoa học, nhà giáo nhân dân hay thầy thuốc giỏi? Trong lòng ai chẳng có một ước mơ xa vời và vĩ đại như thế. Có người nói ước mơ quá lớn lao, sợ rằng cả đời này cũng chẳng thực hiện được. Thực tế, chỉ cần chúng ta giỏi lập kế hoạch thì ước mơ sẽ chẳng xa vời. Chỉ những ai có tầm nhìn xa rộng mới có thể đạt được thắng lợi sau cùng.
Đá cứng có thể bị giọt nước đâm thủng, gậy sắt có thể bị mài thành kim nhỏ, núi lớn có thể bị Ngu Công dời đi... Vì vậy, một trong những cách để lập kế hoạch cho những ước mơ là biến ước mơ cao cả của chúng ta thành từng mục tiêu nhỏ và khả thi, sau đó nỗ lực không ngừng để hiện thực hóa chúng từng chút một bằng hành động. Đưa ra kế hoạch cho tương lai, cho ước mơ của bạn, cơ hội sẽ thành hiện thực, thực hiện tốt mọi bước cho hiện tại thì một tương lai tốt đẹp cũng đang mở rộng ngay trước mắt bạn thôi.
(Theo Kĩ năng sống dành cho học sinh, Nguyễn Thu Phương, NXB Văn học, 2022, tr. 124)
Thực hiện các yêu cầu sau:
Câu 1: Theo đoạn trích, để thực hiện được ước mơ của mình, việc đầu tiên con người phải làm là gì?
Câu 2: Người viết đưa ra những hình ảnh: đá cứng có thể bị giọt nước đâm thủng; gậy sắt có thể bị mài thành kim nhỏ; núi lớn có thể bị Ngu Công dời đi... trong đoạn trích nhằm mục đích gì?
Câu 3: Em có đồng tình với quan điểm của tác giả trong câu văn: “Chỉ những ai có tầm nhìn xa rộng mới có thể đạt được thắng lợi sau cùng” không? Vì sao?
PHẦN III. LÀM VĂN (5,5 điểm)
Câu 1: (1,5 điểm)
Từ nội dung đoạn trích phần Đọc hiểu và những trải nghiệm của bản thân, hãy viết một đoạn văn (khoảng 20 dòng giấy thi) trình bày suy nghĩ của em về sự cần thiết phải lập kế hoạch trong cuộc sống đối với mỗi người.
Câu 2: (4,0 điểm)
Bàn về thơ, nhà phê bình Chu Văn Sơn có ý kiến:
Câu thơ hay là câu thơ có khả năng đánh thức bao ấn tượng vốn ngủ quên trong kí ức con người.
(Theo Thơ, điệu hồn và cấu trúc, NXB Hội nhà văn, 2007)
Em hiểu ý kiến trên như thế nào? Hãy phân tích đoạn trích sau để làm rõ khả năng đánh thức bao ấn tượng vốn ngủ quên trong kí ức con người của đoạn thơ.
Rồi sớm rồi chiều lại bếp lửa bà nhen
Một ngọn lửa, lòng bà luôn ủ sẵn
Một ngọn lửa chứa niềm tin dai dẳng..
Lận đận đời bà biết mấy nắng mưa
Mấy chục năm rồi, đến tận bây giờ
Bà vẫn giữ thói quen dậy sớm
Nhóm bếp lửa ấp iu nồng đượm
Nhóm niềm yêu thương, khoai sắn ngọt bùi
Nhóm nồi xôi gạo mới sẻ chung vui
Nhóm dậy cả những tâm tình tuổi nhỏ
Ôi kỳ lạ và thiêng liêng - bếp lửa !
(Theo Bếp lửa, Bằng Việt, Ngữ văn 9, Tập một, NXB GD, 2020, tr. 144)
4. Đáp án đề Văn chung Lê Hồng Phong Nam Định 2023
I. TIẾNG VIỆT
Câu 1.
a. Nghĩa chuyển.
b. Nghĩa chuyển.
c. Nghĩa gốc.
d. Nghĩa chuyển.
Câu 2.
- Phép điệp: Băng qua....
- Tác dụng:
+ Tạo nhịp điệu cho câu văn, nhấn mạnh nhịp nhanh, gấp gáp.
+ Sử dụng phép điệp “băng qua” giúp người đọc thấy rõ được sự gấp gáp cũng như sự vất vả, khó khăn của cha mẹ khi đi làm vào mùa mưa.
+ Qua đó thấy được tình yêu thương, biết ơn của tác giả đối với cha mẹ mình.
II. ĐỌC HIỂU
Câu 1:
Theo đoạn trích, để thực hiện ước mơ của mình, điều đầu tiên con người phải làm là lập kế hoạch.
Câu 2:
Người viết đưa ra những hình ảnh trên nhằm mục đích tăng tính thuyết phục cho nhận định về tác dụng của việc lập kế hoạch, khẳng định không gì là không thực hiện được nếu chúng ta có kế hoạch rõ ràng, kiên trì, nỗ lực hiện thực hóa ước mơ.
Câu 3:
- Học sinh trình bày theo quan điểm riêng của mình. Chú ý có lý giải phù hợp.
- Gợi ý:
Đồng tình. Vì:
+ Người có tầm nhìn xa có thể lường trước những vấn đề sẽ gặp phải, từ đó họ sẽ đưa ra hướng giải quyết tốt nhất.
+ Người có tầm nhìn xa luôn chủ động trong việc học hỏi góp phần khiến công việc trở nên thuận lợi hanh thông,...
II. LÀM VĂN
Câu 1:
a. Nêu vấn đề nghị luận: Sự cần thiết của việc lập kế hoạch
b. Bàn luận:
Giải thích: Lập kế hoạch là việc thiết lập các bước để hoàn thành một mục tiêu mà bản thân đã đặt ra. Sự cần thiết của việc lập kế hoạch:
- Lập kế hoạch giúp bạn đưa ra được hướng đi cụ thể cho mình để đạt được mục tiêu.
- Lập kế hoạch giúp chúng ta chủ động, tự chủ được về mặt thời gian.
- Lập kế hoạch giúp ta dễ dàng đối diện với những rủi ro gặp phải.
- Lập kế hoạch cho ta cái nhìn tổng quát về tương lai.
* Bàn luận mở rộng:
- Người không biết lập kế hoạch sẽ rất dễ rơi vào trạng thái bị động, dễ cuống khi gặp phải khó khăn.
- Người không có kế hoạch cụ thể sẽ không thể kiểm soát và có cái nhìn bao quát về việc mình làm.
* Liên hệ bản thân.
Câu 2:
1. Mở bài.
- Giới thiệu ý kiến.
- Giới thiệu tác giả, tác phẩm và vấn đề nghị luận.
2. Thân bài
2.1. Giải thích ý kiến:
- Thơ: là một thể loại văn học được sáng tác bằng phương thức trữ tình, thường có vần có nhịp, dùng để thể hiện tình cảm, cảm xúc của người viết
- Câu thơ hay: Là câu thơ có giá trị, mang đến rung cảm mãnh liệt cho người đọc
- Đánh thức: làm sống dậy, thức tỉnh
- Bao ấn tượng vốn ngủ quên trong kí ức của con người: những nhận thức, những cảm xúc, những rung động...về đời sống, về con người mà mỗi người đã từng được chứng kiến, được trải nghiệm nhưng bị chai sạn, bị vùi lấp, bị lãng quên...
= Ý kiến của nhà phê bình Chu Văn Sơn đưa ra một quan điểm về thơ ca và văn học nói chung trong đó khẳng định với một câu thơ hay, một câu thơ thực giá trị thì điều quan trọng nhất là có thể thức tỉnh, làm sống dậy những ấn tượng, cảm xúc, rung động, những nhận thức ...về cuộc sống, con người (mà chủ yếu là những điều đẹp đẽ, cao cả, nhân văn...) vốn có trong mỗi người đọc nhưng bị thời gian, bị cuộc sống xô bồ làm cho lãng quên, chai sạn, vùi lấp..
=> Đây là một quan điểm đúng đắn, có giá trị.
Lí giải:
+ Câu thơ hay cần đánh thức bao ấn tượng vốn ngủ quên trong kí ức của con người” vì để đánh thức được những ấn tượng đó chứng tỏ nhà thơ phải thực sự thấu hiểu về cuộc đời và con người. Những gì nhà thơ viết ra thân thuộc với mọi người nhưng cách viết lại ấn tượng để đọc xong người đọc có thể bừng sáng và nhận ra một ấn tượng nào đó về cuộc đời. Đó là phẩm chất cần có, thể hiện cả tài năng và tâm huyết của nhà thơ
+ Câu thơ hay cần đánh thức bao ấn tượng vốn ngủ quên trong kí ức của con người” còn bởi sứ mệnh của thơ ca nói chung và văn học nói riêng không đơn thuần là để thỏa mãn nhu cầu giải trí mà còn là thức tỉnh con người khỏi những lầm lạc, u mê, hướng người đọc về cái đích của chân, thiện, mỹ. Khi đánh thức được bao ấn tượng vốn ngủ quên trong kí ức của con người đồng nghĩa với việc thơ ca sẽ giúp con người tìm lại được sự tinh tế, sự nhạy cảm, sự rung động trước cái đẹp, cái nhân văn cao cả mà cuộc sống thường ngày làm cho chai sạn, hay nói cách khác thơ ca sẽ giúp con người tìm lại được chính mình
+ Quá trình sáng tạo nghệ thuật không kết thúc ở việc tác phẩm được khai sinh, mà còn ở quá trình tác phẩm sống trong lòng người đọc. Khi đánh thức bao ấn tượng vốn ngủ quên trong kí ức của con người” thơ ca sẽ giúp người đọc tiếp cận tác phẩm không hời hợt mà còn bằng tất cả rung động, trải nghiệm của mình, từ đó khơi gợi quá trình đồng sáng tạo với tác giả trong mỗi người đọc
2.2 Chứng minh qua văn bản Bếp lửa
- Giới thiệu khái quát về tác giả Bằng Việt, tác phẩm Bếp lửa.
- Giới thiệu về vị trí (khổ 5,6) và nội dung 2 khổ thơ: suy nghĩ về cuộc đời bà và bếp lửa.
– Giữa tro tàn, giữa đau thương bà lại nhóm lửa, bà vẫn nhóm lửa. Bếp lửa ân cần, ấm cúng:
“Rồi sớm rồi chiều lại bếp lửa bà nhen
Một ngọn lửa lòng bà luôn ủ sẵn
Một ngọn lửa chứa niềm tin dai dẳng”
Từ hình ảnh tả thực “Bếp lửa bà nhen” mỗi sớm, tác giả đã khéo léo chuyển thành hình ảnh “ngọn lửa” một ngọn lửa tỏa sáng câu thơ có sức truyền cảm mạnh mẽ. Đến đây, bếp lửa bà nhen không còn là bếp lửa thông thường trong mỗi gian bếp bởi nó chứa ngọn lửa của lòng bà, ngọn lửa của tình yêu thương và đức tin trong sáng, mãnh liệt. Từ ngọn lửa của lòng bà đã nhóm lên trong cháu tình yêu thương, niềm tin vào một ngày mai chiến thắng.
=> Bà chính là người nhóm lửa và giữ lửa – ngọn lửa niềm tin và hy vọng.
– Suốt một đời lận đận, vất vả, bà đã và vẫn đang làm công việc nhóm lửa:
“Lận đận đời bà biết mấy nắng mưa
Mấy chục năm rồi đến tận bây giờ
Bà vẫn giữ thói quen dậy sớm”
+ Từ láy “lận đận” với điệp từ “nắng mưa” nhấn mạnh cháu chưa từng và chẳng thể nào quên cuộc một cuộc đời đầy lo toan, vất vả.
+ Khôn lớn trưởng thành, cháu càng thấu hiểu những ý nghĩa cao cả, thiêng liêng từ bà, công việc rất đỗi dị của bà: nhóm lửa. Điệp từ nhóm điệp lại 4 lần với hai lớp nghĩa. Bà đã + công việc khởi đầu của một ngày: nhóm bếp lửa mỗi sớm mai và làm công việc khởi đầu của một đời, đó là bồi đắp tâm hồn, thắp lên những tình cảm cao quý. Từ “nhóm” thứ nhất hiểu theo nghĩa thực: thắp lên ngọn lửa trong gian bếp để sưởi ấm, để nấu chín thức ăn.... Ba từ “nhóm” sau được hiểu theo nghĩa ẩn dụ: bà truyền cho cháu tình yêu thương ruột thịt, tình đoàn kết chia sẻ xóm làng và đặc biệt hơn bà đã khơi dậy những tâm tình tuổi nhỏ, thức tỉnh trong tâm hồn cháu biết bao ước mơ và tình cảm tốt đẹp.
→ Như vậy đến đây ta thấy bà không chỉ là người nhóm lửa, giữ lửa mà còn là người truyền lửa. Ngọn lửa của tình yêu, của niềm tin, đức hi sinh không chỉ bà truyền cho cháu mà còn là của những thế hệ đi trước tiếp lửa cho thế hệ sau.
– Khám phá ra những ý nghĩa kì diệu, cao cả, thiêng liêng từ bếp lửa của bà, cháu sung sướng thốt lên.
“Ôi kì lạ và thiêng liêng bếp lửa”
Phép đảo ngữ, câu cảm thán với từ “ôi” đặt ở đầu câu bộc lộ sự ngạc nhiên, ngỡ ng, và vui sướng của cháu. Bếp lửa ấy luôn hiện diện cùng bà, tỏa sáng vẻ đẹp của bà. Đứa cháu nhỏ cảm thấy thật bất ngờ khi phát hiện được những điều kì diệu thiêng liêng từ những thứ bình thường, giản dị. Cháu nhớ về bà, nhớ về Bếp lửa cũng chính là nhớ về quê hương, cội nguồn với tấm lòng tri ân sâu nặng.
=> Bếp lửa đã giúp cháu khơi gợi, đánh thức biết bao kí ức ngủ quên về bà, từ đó nhấn mạnh, làm sâu sắc thêm tình cảm yêu quý, tự hào kính trọng mà cháu dành cho bà.
3. Kết bài: Tổng kết vấn đề.
Các môn thi khác sẽ được Hoatieu tiếp tục cập nhật....
Mời các bạn tham khảo thêm các thông tin hữu ích khác trên chuyên mục Học tập - Lớp 9 của HoaTieu.vn.
-
Chia sẻ:
Trần Thu Trang
- Ngày:
Tham khảo thêm
-
Top 3 bài cảm nhận về diễn biến tâm trạng của Thúy Kiều qua đoạn trích Kiều ở lầu Ngưng Bích
-
Tổng hợp các tác phẩm văn học lớp 9 kì 1
-
Đề thi chuyên Hóa vào lớp 10 2023
-
(4 mẫu) Viết đoạn văn về tình cảm của bé Thu dành cho ông Sáu
-
Top 9 bài phân tích Chị em Thúy Kiều siêu hay
-
Đáp án đề thi thử Toán vào 10 Lương Thế Vinh 2023-2024
Theo Nghị định 147/2024/ND-CP, bạn cần xác thực tài khoản trước khi sử dụng tính năng này. Chúng tôi sẽ gửi mã xác thực qua SMS hoặc Zalo tới số điện thoại mà bạn nhập dưới đây:
Hướng dẫn & Hỗ trợ
Chọn một tùy chọn bên dưới để được giúp đỡ
Đề thi lớp 9 tải nhiều
Học tập tải nhiều
-
Bộ đề thi học kì 1 Giáo dục Kinh tế và Pháp luật 11 Chân trời sáng tạo
-
Bộ đề thi học kì 1 Giáo dục Kinh tế và Pháp luật 11 Kết nối tri thức
-
Bộ đề thi học kì 1 Giáo dục Kinh tế và Pháp luật 10 năm 2025 - 2026 (Sách mới)
-
Bộ đề thi học kì 1 Giáo dục Kinh tế và Pháp luật 10 Cánh diều
-
Bộ đề thi học kì 1 Giáo dục Kinh tế và Pháp luật 10 Chân trời sáng tạo
-
Bộ đề thi học kì 1 Giáo dục Kinh tế và Pháp luật 10 Kết nối tri thức
-
Rung chuông vàng về chủ đề 22-12
-
Kế hoạch dạy học tích hợp Lịch sử Địa lí THCS Kết nối tri thức
-
Kế hoạch tích hợp năng lực số Hoạt động trải nghiệm THCS Chân trời sáng tạo
-
Đề thi học kì 1 môn Toán lớp 2 sách Chân trời sáng tạo năm 2025
Bài viết hay Đề thi lớp 9
-
Đề thi cuối kì 2 Hoạt động trải nghiệm 9 Chân trời sáng tạo
-
(2 đề) Đề thi cuối kì 1 Địa lí 9 Kết nối tri thức có đáp án
-
Đề cương ôn thi cuối kì 2 Tiếng Anh 9 Friends plus
-
Top 5 Đề thi học kì 2 Toán 9 có đáp án 2024
-
Đề thi cuối kì 1 Công nghệ 9 Định hướng nghề nghiệp Cánh Diều
-
Đề kiểm tra giữa kì 1 Tin học 9