Đóng
Chỉ thành viên Hoatieu Pro tải được nội dung này!
Hoatieu Pro - Tải nhanh, website không quảng cáo!
Tìm hiểu thêm
Mua Hoatieu Pro 99.000đ
Bạn đã mua gói? Đăng nhập ngay!
Bài viết hay Lớp 7
-
Theo em nhân vật Cò là một cậu bé sinh ra và lớn lên ở đâu? Điều gì khiến em khẳng định như vậy?
-
Chi tiết thể hiện tình cảm của con voi đối với Đề đốc Lê Trực và người quản tượng hay
-
Khi viết bài văn phân tích đặc điểm nhân vật trong tác phẩm văn học em cần lưu ý điều gì?
-
Nghị luận vệ sinh trường học là trách nhiệm của những người lao công đã được nhà trường trả lương
-
Soạn bài Người ngồi đợi trước hiên nhà Văn 7
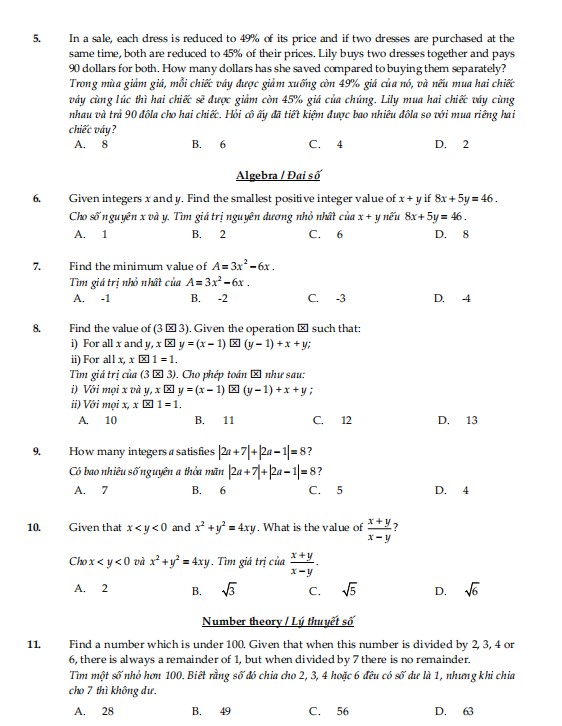
-
Soạn văn 7 bài Tìm hiểu chung về phép lập luận chứng minh






